Таблица 2.9
Значения параметров уравнения (2.34)
|
|
|
|
|
|
Вещества |
|
|
|
Вещества в жидком состоянии при плотности, |
: |
|
|
||||||
|
|
|
|
|
|
|
|
– |
1 |
|
|
|
|
|
|
|
|
– |
0 |
Неразветвленные углеводороды: |
|
|
|
||||||
насыщенные |
|
0 |
– |
||||||
циклические |
|
0 |
– |
||||||
Заместители: |
|
|
|
||||||
|
|
|
|
(один атом) |
|
1 |
– |
||
|
|
|
|
||||||
|
|
|
|
(два атома) |
|
2 |
– |
||
|
|
|
|
||||||
|
|
|
|
|
(один атом) |
|
1 |
– |
|
|
|
|
|
|
|||||
|
|
|
|
|
(два, три атома) |
|
2 |
– |
|
|
|
|
|
|
|||||
|
|
|
|
|
(четыре атома) |
|
3 |
– |
|
|
|
|
|
|
|||||
|
|
|
|
|
|
(один атом) |
|
4 |
– |
|
|
|
|
|
|
||||
|
|
|
|
|
|
(два атома) |
|
6 |
– |
|
|
|
|
|
|
||||
|
|
|
|
|
|
|
|
|
|
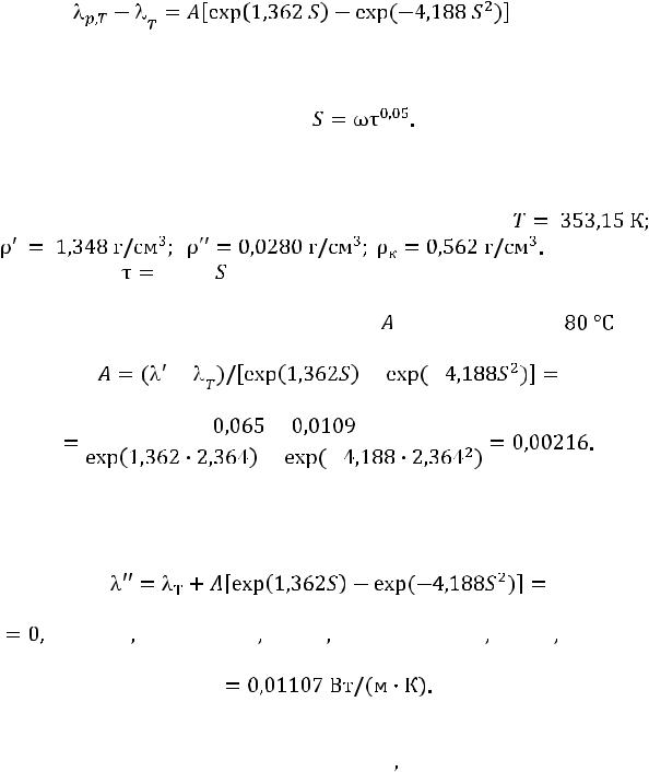
Справочное значение теплопроводности жидкого R11 на линии насыщения при 80 °С равно 0,0748 




Другой способ расчета теплопроводности предложен в ЛТИХП. В этом методе для определения температурной зависимости теплопроводности жидкости используется формула [8]
|
, |
|
|
(2.35) |
|||
где |
|
значение теплопроводности жидкости при |
. |
||||
|
|||||||
|
Для нахождения , коэффициентов и |
используются сле- |
|||||
дующие соотношения: |
|
||||||
|
|
|
|
|
|
|
(2.36) |
|
|
|
|
|
|
|
|
|
|
|
; |
(2.37) |
|||
|
|
||||||
|
, |
(2.38) |
|||||
36
где |
|
|
|
|
|
|
|
|
|
|
|
|
; |
|
|
|
(2.39) |
||||||
|
|
|
|
|
|
|
|
|
|
(2.40) |
|
|
|
|
|
|
|
|
|
|
|
||
здесь |
|
|
критическое давление, бар; |
|
молярная масса, |
||||||
|
|
|
|||||||||
кг/кмоль. |
|
|
|||||||||
|
Для R11 имеем |
|
|
||||||||
|
|
|
|
|
|
|
|
|
|
|
|
|
|
|
|
|
|
|
|
|
|
|
|
Тогда, |
поскольку |
|
, |
|
|
||||
|
, |
, имеем |
|
|
|
|
|
||










.
Теплопроводность газообразного R11 при атмосферном давлении определим с помощью соотношения
|
|
|
|
|
|
|
, |
(2.41) |
|
где |
|
|
динамическая вязкость газа при атмосферном давлении, |
||||||
|
|
||||||||
; |
|
|
|
|
молярная теплоемкость идеального газа, |
|
|||
|
|
|
|
|
|||||
|
|
составляющая идеально-газовой теплоемкости, обусловленная |
|||||||
|
|
||||||||
вращательными степенями свободы; |
|
число столкновений для |
|||||||
|
|||||||||
вращательной релаксации, |
|
|
|
||||||
, |
(2.42) |
здесь
37
. |
(2.43) |
Оценку 
удобно производить следующим образом:
|
, |
(2.44) |
||||||
или |
|
|
|
|
|
|
|
|
|
|
|
|
|
|
|
|
(2.45) |
Значение |
определено по уравнению (2.16) и составило при |
|||||||
температуре |
|
|
|
|
|
|
. Для вязкости получено |
|
значение |
|
|
|
|
|
. Составляющая |
для линей- |
|
|
|
|
|
|||||
ных молекул и |
|
|
|
|
для сферических молекул. Далее опреде- |
|||
лим |
|
|
|
|
|
|
|
|
|
|
|
|
|
|
|
|
|
|
|
|
|
|
|
|
|
|
откуда















1,862.
Тогда значение теплопроводности газообразного хладаген-
та R11
Справочное значение теплопроводности газообразного R11 при атмосферном давлении равно 






38
Теплопроводность газообразных холодильных агентов под давлением, большим атмосферного, возможно прогнозировать с помощью аналитического выражения, полученного в ЛТИХП [4]:
, |
(2.47) |
где
(2.48)
Значение коэффициента
может быть определено из данных о теплопроводности жидкости. В рассматриваемом случае для тепло-
проводности R11 в состоянии насыщения имеем: |
|
|||||||||||||||
Тогда |
0,74; ' = 0,986 · 2,399 = 2,364; S″ = 0,986 · 0,0498 = |
|||||||||||||||
= 0,0491. |
|
|
|
|
|
|
|
|
|
|
|
|
|
|
|
|
Находим значение коэффициента для температуры |
: |
|||||||||||||||
|
|
|
|
|
|
|
|
|
|
|
|
|
|
|
|
|
|
|
|
|
|
|
|
|
|
|
|
|
|
|
|
|
|
|
|
|
|
|
|
|
|
|
|
|
|
|
|
|
|
|
|
|
|
|
|
|
|
|
|
|
|
|
|
|
|
|
|
Теперь можем рассчитать теплопроводность насыщенного пара R11 при той же температуре:



















=
Табличное значение теплопроводности сухого насыщенного пара R11 при данной температуре равно 




[4, 8].
39
ПРИЛОЖЕНИЕ
Вкачестве рабочих веществ холодильных машин, а в ряде случаев и паросиловых установок, широко используются фтор-, хлор-, бромпроизводные углеводороды (метана, этана, пропана и др.). Промышленное производство первого из веществ – дифтордихлорме-
тана (CF2Cl2) – было начато в 1931 г. Длительное время подобные соединения называли фреонами. Это название еще довольно часто можно встретить в советской и иностранной технической литературе, например фреон-12 (CF2Cl2), фреон-13 (CF3Cl) и т. д.
Всоответствии с международным стандартом «Органические хладагенты» (МС ИСО 817) Международной организации по стандартизации (ИСО) в 1986 г. установлена система обозначений галоидных производных углеводородов. Эта система состоит из наименования и числа. Буква R или слово Refrigerant (холодильный агент) составляет наименование. Цифры связаны со структурой молекул холодильного агента. Последняя цифра равна числу атомов фтора в молекуле, предпоследняя цифра на единицу больше числа атомов водорода, а третья от конца на единицу меньше числа атомов углерода в молекуле. Число атомов хлора равно разности от вычитания атомов фтора и водорода из общего числа атомов, присоединенных к атому углерода. Перед числовым обозначением циклических предельных соединений ставят букву «C». Если в молекуле холодильного агента присутствуют атомы брома, к числовому обозначению соответствующего соединения добавляют букву «B» и цифру, равную числу
атомов брома. Например, соединение CHF2Cl имеет по системе ИСО обозначение R22. Здесь последняя цифра 2 – число атомов фтора, первая цифра 2 – число атомов водорода в молекуле плюс единица, третьей цифры нет, так как она на единицу меньше числа атомов углерода в молекуле и поэтому равна нулю. Другой пример. Для хими-
ческой формулы C2F5Cl обозначение по ИСО R115. Цифра 5 характеризует число атомов фтора, цифра 1 означает отсутствие атомов водорода в молекуле и третья цифра от конца на единицу меньше числа атомов углерода.
Часто в литературе галоидные производные углеводородов обозначают торговыми марками, например Genetron, Isotron, Arctron, Algofrene, Frigen и др. В России в соответствии с ГОСТ 8502–73
и19212–73 галоидные производные метана называют хладонами. Та-
40