Материал: Д6757 Балюбаш ВА Средства автоматизации Ч1

Внимание! Если размещение файла нарушает Ваши авторские права, то обязательно сообщите нам

Двигатель состоит из столбика пьезоэлектрических шайб 2 и двух зажимных устройств 1 и 3 на его концах. При работе в непрерывном режиме зажимное устройство 3 зафиксировано, а устройство 1 свободно. В зависимости от напряжения поданного на шайбы, осуществляются микроперемещения конца А. После использования возможного ресурса перемещений и при достижении напряжения предельного значения зажим 1 фиксирует конец А, напряжение с шайб снимается, а зажим 3 освобождает конец В. Столбик при этом сжимается до базового значения, после этого зажим 3 фиксирует конец В, а зажим 1 отпускает конец А.

12. Тахогенераторы

Тахогенератор представляет собой малогабаритную электрическую машину-генератор, ЭДС которой в первом приближении пропорциональна скорости вращения вала. Их используют в устройствах измерения скорости, а так же как элементы автоматических корректирующих устройств.

Тахогенератором может быть электрическая машина любого

типа.

Тахогенераторы постоянного тока выполняют как маломощные генераторы с независимым возбуждением или магнитоэлектрическим возбуждением от постоянных магнитов. При независимом возбуждении необходимо стабилизировать ток в цепи возбуждения, чтобы исключить влияние колебаний напряжения источника питания, а также колебания сопротивления цепи возбуждения, обусловленные изменениями температуры обмотки (рис. 38).

Рис. 38

51

Асинхронный тахогенератор представляет собой машину переменного тока с двумя обмотками на статоре, сдвинутыми в пространстве на угол 90о, и полым ротором, аналогичным ротору двухфазного двигателя (облегчѐнный с целью снижения момента инерции).

Одна из обмоток (обмоток возбуждения) подключена к источнику переменного тока, другая (генераторная) является выходной, с которой снимается напряжение, пропорциональное скорости.

В неподвижном роторе индуцируется ЭДС етр, как во вторичной обмотке трансформатора. Так как ось генераторной обмотки перпендикулярна к оси обмотки возбуждения, то при неподвижном роторе ЭДС в генераторной обмотке практически не индуцируется. При вращающемся роторе в нѐм помимо трансформатороной ЭДС возникает ЭДС вращения евр, пропорциональная скорости вращения. Токи, возникающие в роторе, вследствие большого активного сопротивления ротора практически совпадают по фазе с ЭДС вращения и создают пульсирующий поток, направленный по поперечной оси машины, который генерирует в неподвижной генераторной обмотке ЭДС етр, пропорциональную скорости вращения ротора. Реальная характеристика асинхронного тахогенератора отклоняется от линейной и это вызвано рядом погрешностей, обусловленных и характером нагрузки, и скоростью, и взаимной индуктивностью обмоток.

Асинхронный тахогенератор применяют не только для измерения скорости, но и для оценки ускорения. Обмотка возбуждения подключатся к источнику постоянного тока. При вращении с постоянной скоростью в роторе индуцируется постоянная ЭДС и соответственно в генераторной обмотке никакой ЭДС не возникает. При линейно нарастающей скорости вращения ток в роторе и поток вдоль оси генераторной обмотки увеличивается по линейному закону. Следовательно, в этой обмотке генерируется ЭДС, пропорциональная скорости нарастания магнитного потока.

13. Гидравлические и пневматические приводы

Гидравлические и пневматические приводы состоят из трѐх основных частей силовой, распределительной и рабочей. Силовой частью у гидравлических приводов является насос, а у пневматических

52

приводов – компрессор. В распределительную часть входят кон- трольно-регулирующая, распределительная и вспомогательная аппаратура. Рабочей частью являются двигатели ротационного типа и силовые цилиндры, рабочий орган которых совершает возвратно поступательное движение. В пневматических приводах применяются ещѐ и мембранные приводы.

Если в качестве рабочей части в гидравлических и пневматических приводах применяют ротационные двигатели, то их называют приводами вращательного движения, а если силовые цилиндры или мембраны, то приводами поступательного движения.

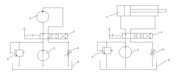
На рис. 39 представлены принципиальные схемы гидроприводов вращательного и поступательного движения. Силовой частью в обоих вариантах является насос 1, рабочей частью – двигатель вращательного движения или силовой цилиндр 3. Распределительный золотник 2, предохранительный клапан 5 и дроссель 4 относятся к распределительной части привода.

а

б

Рис. 39 (а–б)

Жидкость с помощью насоса 1 подаѐтся к распределительному золотнику 2, затем в двигатель или силовой цилиндр 3, откуда опять через золотник и дроссель 4 в приѐмный резервуар 6. При изменении положения плунжера золотника происходит реверс. Дроссель 4 предназначен для изменения количества жидкости, проходящей через двигатель. Клапан 5 предохраняет систему от перегрузок. В случае превышения давления в системе выше допустимого значения, жид-

53

кость, минуя двигатель или силовой цилиндр, сбрасывается в приѐмный резервуар.

13.1. Насосы и двигатели

Наиболее часто в гидроприводах и системах автоматики применяются поршневые ротационные насосы радиального и аксиального типов, пластинчатые ротационные насосы двойного действия, шестеренчатые насосы с внешним зацеплением и винтовые насосы.

На рис. 40 представлена принципиальная схема ротационного поршневого насоса радиального типа.

Рис. 40

Основными элементами такого насоса являются ротор 1, статор 2, поршеньки 3 (на рисунке показан один) и распределительная ось 4. Ротор, в радиальных отверстиях которого расположены поршеньки, вращается вокруг распределительной оси. Так как ротор относительно статора располагается с эксцентриситетом е, то при вращении ротора поршеньки совершают вращательное движения вместе с ротором и поступательное движение относительно ротора. При направлении вращения, указанном на рисунке, поршеньки, расположенные правее линии АВ, прижимаясь к внутренней поверхности статора, перемещаются к центру вращения. Поршеньки, расположенные левее линии АВ, перемещаются от центра вращения. Ось вокруг

54

которой вращается ротор имеет два паза, к которым подведены два канала, разделѐнные между собой перемычкой. Через правый канал жидкость, находящаяся под поршеньком, вытесняется, а через левый канал – всасывается. То есть можно сказать, что линия АВ разделяет полость всасывания от полости нагнетания. Однако местоположение полостей зависит не только от направления вращения, но и от знака эксцентриситета. Если центр ротора будет располагаться выше центра статора, то полости нагнетания и всасывания поменяются местами. За один оборот ротора каждый поршенѐк один раз всасывает и один раз нагнетает жидкость. Если пренебречь утечками, то количество жидкости, подаваемое насосом за один оборот ротора

а за n оборотов

где d – диаметр поршенька,

z – количество поршеньков.

Из этого выражения следует, что средняя теоретическая производительность поршневого ротационного насоса радиального типа зависит от величины эксцентриситета. Таким образом, если в конструкции насоса предусмотреть возможность изменения величины е, то можно изменять производительность насоса. Отношение = е/еmax называется параметром регулирования.

При вращении ротора между поршеньками и статором действует сила N, под действием которой поршенѐк, перемещаясь в роторе, вытесняет жидкость из цилиндрового отверстия (рис. 41).

Разложив силу N на силу F, направленную вдоль поршенька, и силу Т, перпендикулярную F, видим, что сила F, создаѐт давление под поршеньком, и сила Т – момент относительно оси вращения ротора. Если подать под поршеньки жидкость под давлением, то будет возникать сила Т, создающая момент, стремящийся вращать ротор. Отсюда следует, что рассматриваемая машина может работать как в режиме насоса, так и в режиме двигателя.

55