Материал: Д6577 Алексеев ГВ Основы научных исследований

Внимание! Если размещение файла нарушает Ваши авторские права, то обязательно сообщите нам

Планирование эксперимента для построения модели зависимости качества измельчения от конструктивных параметров рабочих органов

№ пп

Значения нормированных факторов

Значения функции отклика Yi

X1

X2

X1X2

Y1

Y2

Y3

Y4

1

1

1

1

1

1

1560

1600

1580

1560

2

–1

1

–1

1

1

1465

1495

1480

1495

3

1

–1

–1

1

1

1470

1488

1452

1452

4

–1

–1

1

1

1

1390

1410

1400

1390

5

1,4142

0

0

2

0

1574

1620

1517

1517

6

–1,4142

0

0

2

0

1443

1479

1404

1400

7

0

1,4142

0

0

2

1580

1396

1574

1574

8

0

–1,4142

0

0

2

1480

1517

1447

1443

9

0

0

0

0

0

1470

1400

1620

1574

10

0

0

0

0

0

1400

1574

1600

1447

11

0

0

0

0

0

1517

1574

1610

1620

12

0

0

0

0

0

1404

1447

1630

1479

13

0

0

0

0

0

1574

1620

1620

1396

Зависимости Y1, Y2, Y3 и Y4 от варьируемых параметров в этом случае искали в виде

f = b0 + b1X1 + b2X2 + b12X1X2 + b11+ b22.

Учитывая проведенные по аналогичным формулам с помощью пакета Eхсеl вычисления, включавшие оценку значимости полученных коэффициентов, уравнения регрессии записали в виде

Y1 = 1486,7 + 21,5X1 + 69,5X2 – 4,9 – 7,9

Y2 = 1509,3 + 41,2X1 + 46,1X2 – 5,4 – 11,3

Y3 = 1533,4 + 31,7X1 + 30,9X2 – 4,8 – 4,6

Y4 = 1488,2 + 36,0X1 +50,6X2 – 7,2 – 10,1

Полученные уравнения лишь в том случае имеют практическую ценность, когда адекватно описывают исследуемую зависимость. В целях проверки адекватности полученных уравнений регрессии вычисляли дисперсию адекватности. Адекватным уравнение регрессии признается, как известно, в том случае, когда

/ Fтабл,

где Fтабл – табличное значение критерия Фишера.

Для данных табл. 1.5, уровня значимости 0,05 и соответствующих степеней свободы числителя и знаменателя расчетное значение критерия Фишера значительно меньше табличного.

Полученные таким образом уравнения регрессии отображают реальные зависимости эксплуатационных характеристик абразивных рабочих органов измельчительных машин от конструктивных параметров.

Записанные соотношения могут служить для прогнозирования качества измельчения при использовании аналогичных рабочих органов по величине абразивного зерна а и шага выполненной абразивной спирали t при известном диаметре d используемой стальной проволоки.

Таким образом, полученные экспериментально уравнения регрессии могут служить математическими моделями абразивных рабочих органов измельчителя, которые целесообразно использовать для измельчения конкретного сырья.

Вторые степени варьируемых переменных говорят об экстремальном характере полученных моделей и вызывают необходимость исследования характера монотонности функций отклика в выбранных диапазонах изменения независимых параметров. Наличие таких экстремумов для функций отклика подтверждают графические изображения полученных уравнений регрессии, которые представлены c помощью пакета прикладных программ Mатнсаd.

Точное определение области экстремума, т. е. значений изменяемых параметров, при которых достигается наилучшее качество фарша, определяется дифференцированием полученного уравнения и проверкой критерия Сильвестра.

Для Y1 из равенств Y1/X1 = Y1/X2 = 0 имеем (d/t) = 0,7455 и (a/d) = 0,0868.

Для Y2 из равенств Y2/X1 = Y2/X2 = 0 имеем (d/t) = 0,7262 и (a/d) = 0,0947.

Для Y3 из равенств Y1/X1 = Y1/X2 = 0 имеем (d/t) = 0,7303 и (a/d) = 0,0889.

Для Y4 из равенств Y1/X1 = Y1/X2 = 0 имеем (d/t) = 0,7400 и (a/d) = 0,0920.

При использовании проволоки d = 6 мм экстремум по качеству фарша должен достигаться при шаге пружины t = 88,3 мм и зернистости абразива a = 520568 мкм.

Характер монотонности, судя по знакам при квадратичных членах, для обеих функций отклика аналогичен.

Выполненный анализ, с учетом нормативно определенной зернистости абразива, позволяет рекомендовать для измельчительного устройства рабочие органы в виде пружины с сечением проволоки 6 мм и шагом 8–8,3 мм с закрепленным на ней методом гальваностегии зерном 24А50.

Другим важным выводом проведенных исследований является то, что наиболее близкими к требуемым свойствам обладает фарш из отходов, подвергнутых термообработке в течение 2–2,5 ч.

1.2. Особенности обработки данных при пассивном эксперименте

В производственных условиях, когда наблюдения входных и выходных параметров производятся случайным образом без изменения режима роботы технологического оборудования, проводится пассивный эксперимент.

Такое моделирование, например, на продукцию машиностроения включает следующие основные этапы:

– выбор основного эксплуатационного показателя;

– сбор исходной статистической информации, ее систематизацию и оценку;

– отбор существенных факторов, которые необходимо учитывать при построении модели изменения выбранного эксплуатационного показателя;

– построение диаграмм рассеивания, подбор математических форм связи между величиной показателя и влияющими на него факторами;

– расчет параметров и построение математической модели изменения или прогнозирования показателя;

– оценку полученной модели математико-статистическими методами;

– проведение вычислений по модели;

– физическую интерпретацию модели и разработку рекомендаций по ее применению.

Факторы принято разделять на экзогенные, т. е. внешние по отношению к моделируемому объекту, и эндогенные – внутренние, присущие моделируемому процессу.

Поскольку на большинство эксплуатационных показателей влияет значительное количество факторов, задачу моделирования приходится упрощать путем выделения несущественных и существенных факторов, последние из которых и включаются в модель.

Для моделирования эксплуатационных показателей технологического оборудования пищевых производств применяются методы и модели корреляционно-регрессионного анализа. При этом математические модели строят в виде уравнений регрессии – одно- или многофакторных, в которых в качестве независимых переменных выступают формирующие эксплуатационный показатель факторы, а в качестве зависимой переменной – сам выбранный показатель. В общем виде такая модель может быть представлена в виде

S = f (x1, x2, x3, ..., xi, ..., xm, t)

Наиболее часто применяют модели описания формы связи эксплуатационного и физических показателей.

При однофакторном анализе решается задача построения математической модели, описывающей связь эксплуатационного показателя у и одного фактора х. Вначале для этой цели проводится сбор экспериментальных сведений путем многократного измерения величин у и хi, результаты которых оформляют в виде таблицы. По этим результатам строится диаграмма рассеивания в корреляционном поле. Если последовательность точек диаграммы рассеивания группируется в виде некоторой линии, то можно сделать предположение о наличии корреляционной связи. Затем выбирается форма связи путем сравнения внешнего вида диаграммы рассеивания с имеющимися математическими моделями. Линия, которая описывает диаграмму рассеивания, называется линией регрессии, а описывающее ее уравнение – уравнением регрессии.

Процесс нахождения теоретической линии регрессии называют выравниванием эмпирической линии регрессии. После выбора математической формы связи определяют значения коэффициентов математической модели, используя метод наименьших квадратов.

Понятие о методе наименьших квадратов

В том случае, когда вид эмпирической формулы выбран, ставится задача определения ее параметров так, чтобы эта формула наиболее соответствовала имеющимся данным.

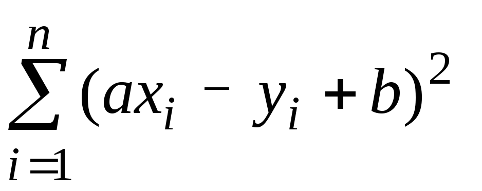
Чаще всего при подборе параметров эмпирических формул пользуются методом наименьших квадратов (принципом Лежандра): из формул вида у = f (х) наиболее соответствующей опытным данным считается та, для которой сумма квадратов отклонений эмпирических данных от вычисленных является наименьшей.

Рассмотрим, каким образом этот принцип применяется, например, для определения коэффициентов линейной модели.

Пусть пары значений (xi; yi) представлены точками плоскости и лежат примерно на одной прямой, т. е. существует некоторая приближенная линейная зависимость

у = ах + b или аху + b = 0.

Если в записанное уравнение подставить координаты эмпирических точек, то в общем случае мы не получим тождества, так как точки только приблизительно лежат на прямой, а получим равенства типа

ахiуi + b = i,

где числа i означают отклонения по ординатам каждой из точек от апроксимирующей их прямой.

Согласно методу наименьших квадратов, наилучшей функцией вида у = ах + b служит та, для которой сумма квадратов отклонений

S = (1)2 + (2)2 + (3)2 + ... + (n)2

является наименьшей. Если эта минимальная сумма квадратов окажется малой, то сами погрешности будут малыми по абсолютной величине.

Подставляя в последнее выражение значения i, получим

S = = f (a, b).

Таким образом, S можно рассматривать как функцию двух переменных а и b, дифференцируемую на всей числовой плоскости. Для искомой прямой (при минимальном отклонении модели от данных) эта сумма должна быть наименьшей. Тогда в силу необходимого признака экстремума дифференцируемой функции f (a, b) должны соблюдаться условия S/a = 0; S/b = 0. Находя частные производные и приравнивая их к нулю, получим

а + b=

a+ bn =

Данную систему называют нормальной системой уравнений для определения параметров а и b функции уах + b методом наименьших квадратов.

Для моделей параболического типа решают специальную систему нормальных уравнений (табл. 1.6).

Проще всего провести построение и оценку математической модели, имеющей линейную форму связи. Поэтому часто другие формы связи путем замены переменных приводят к линейной форме (см. табл. 1.5).

Таблица 1.6