Материал: Д6577 Алексеев ГВ Основы научных исследований

Внимание! Если размещение файла нарушает Ваши авторские права, то обязательно сообщите нам

Интерпретация модели

Интерпретация модели – это описание влияния факторов на параметр оптимизации y на языке экспериментатора. Величина коэффициента регрессии – количественная мера этого влияния. Знак коэффициента характеризует направление изменения фактора при поиске экстремума критерия оптимизации. Если надо найти минимум функции отклика, то благоприятным является увеличение всех факторов, коэффициенты которых имеют знак минус.

Используя формулы для перехода к нормированным значениям zj, можно получить уравнение модели с натуральными переменными. Коэффициенты модели изменятся. При этом пропадает возможность интерпретации влияния факторов по величине и знакам коэффициентов b..., так как соответствующие вектор-столбцы в матрице планирования уже не будут ортогональными, а коэффициенты будут определяться в зависимости друг от друга.

Продолжение апроксимирующего эксперимента

В тех случаях, когда не удается построить адекватную линейную модель, как было сказано ранее, переходят к более сложным апроксимирующим зависимостям, расширяя по определенным правилам количество проводимых испытаний.

Пример 1.1. Предварительные исследования по выбору устройства для измельчения и режима термообработки высокоминерализованной добавки для рыбного фарша из пелагических рыб (трески, минтая и др.) проводили на макетном образце рабочего органа, представляющем собой пружину с нанесенным методом гальваностегии абразивным покрытием в виде металлической связки на основе Ni и электрокорунда белого. В качестве основных параметров, влияющих на эксплуатационные характеристики рабочего органа, выявили два – отношение диаметра сечения витка к шагу пружины d/t и относительный размер абразивных частиц a/d. При этом обнаружены интервалы, в которых это влияние сказывается наиболее ощутимо. Для первого из названных параметров

0,6 < < 0,8,

для второго

0,05 << 0,11.

В целях детального исследования влияния указанных параметров на качество получаемого фарша для разработки рекомендаций по проектированию рабочих органов измельчителя целесообразно провести факторный эксперимент, выбрав указанные выше интервалы в качестве интервалов варьирования изменяемых факторов d/t и a/d.

На первом этапе проведения эксперимента надо найти зависимость качества измельчения, характеризуемого максимальным касательным напряжением при определенных скоростях сдвига, принятого в качестве функции отклика, от варьируемых параметров для разного времени термообработки сырья в виде

Y = a0 + a1x1 + a2x2.

Для выбранных модели и интервалов варьирования нормированные переменные проводимого полного факторного эксперимента представляются следующим образом:

Х1 = ; Х2 = .

Достаточно высокая точность поддержания выбранных факторов на заданных уровнях, выявленная в ходе предварительных исследований, позволила ограничиться для дублирования тремя параллельными опытами.

Рандомизировав последовательность опытов при помощи таблицы случайных чисел для устранения влияния случайных погрешностей, записываем матрицы планирования эксперимента в виде табл 1.4.

После испытания образцов в порядке, соответствующем второму столбцу таблицы, результаты заносились в столбцы, отведенные для функций отклика: Y1 – касательное напряжение добавки после термообработки сырья в течение 1,5 ч; Y2 – касательное напряжение добавки после термообработки сырья в течение 2 ч; Y3 – касательное напряжение добавки после термообработки сырья в течение 2,5 ч; Y4 – касательное напряжение добавки после термообработки сырья в течение 3 ч.

Таблица 1.4

Полный факторный эксперимент для построения модели зависимости качества измельчения от конструктивных параметров рабочих органов

Номера опытов

Номер пункта опыта

Значения

нормированных факторов

Средние значения функций отклика Yi

X1

X2

X1X2

Y1

Y2

Y3

Y4

1, 5, 9

1

1

1

1

1560

1600

1580

1560

2, 6, 10

2

–1

1

–1

1465

1495

1480

1495

3, 7, 11

3

1

–1

–1

1470

1488

1452

1452

4, 8, 12

4

–1

–1

1

1390

1410

1400

1390

Для получения статистически достоверной математической модели при анализе экспериментальных данных проверялась однородность дисперсий выборок функций отклика Y1,Y2,Y3 и Y4. Для этой цели вычислялось значение критерия Фишера по формуле

(1.1)

Для данных табл. 1.4 это значение оказалось равным 4,0, что меньше табличного значения, равного 9,28, для доверительной вероятности 95 %.

Такое соотношение между расчетным и табличным значениями критерия Фишера свидетельствует о воспроизводимости эксперимента, что позволяет вычислить коэффициенты модели по формулам

а0 = ; аj = , (1.2)

где Xj – столбцы элементов матрицы планирования; – среднеариф-метическое значение для каждой из функций отклика по трем параллельным опытам; М – число разных экспериментов (М = 4).

Вычисления по приведенным формулам для выполненного эксперимента с помощью пакета прикладных программ Eхсеl дали следующие оценки коэффициентов уравнений регрессии:

для y1: a0 = 1471,25; a1 = 41,25; a2 = 43,75;

для y2: a0 = 1498,25; a1 = –49,25; a2 = 45,75.

для y3: a0 = 1478; a1 = –52; a2 = 38;

для y4: a0 = 1474,25; a1 = –53,25; a2 = 31,75.

В соответствии с проведенными вычислениями оценки уравнения регрессии записываются в следующем виде:

y1 = 1471,25 – 41,25  1 + 43,75  2;

y2 = 1498,25 – 49,25  1 + 45,75  2;

y3 = 1478 – 52  1 + 38  2;

y4 = 1474,25 – 53,25  1 + 31,75  2.

Уравнения регрессии, построенные по этим формулам, только в том случае соответствуют реальному процессу, когда каждый их член вносит вклад, значимо отличающийся от случайных колебаний функций отклика. Это условие выполняется, если абсолютная величина коэффициента больше его доверительного интервала, определяемого при помощи критерия Стьюдента со степенью свободы

f = M (k – 1), ai  2 a,

так как

где k – число параллельных опытов.

Вычисления интервалов достоверности коэффициентов регрессии

свидетельствуют о том, что в уравнениях регрессии значимы лишь те члены, для которых выполняются условия:

для 0,3637;

для 26,3373;

для y3 16,3373;

для y4 30,3373.

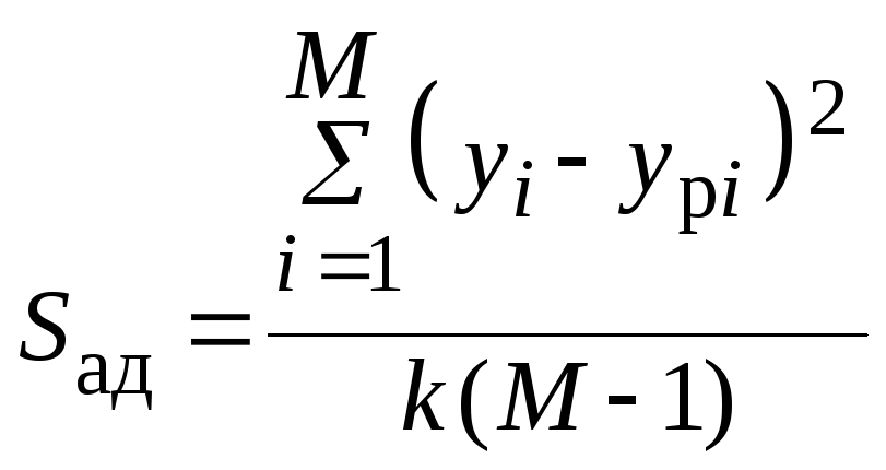
Последним шагом, предшествующим использованию полученных экспериментально соотношений, является проверка их адекватности. Эта проверка позволяет судить о том, не отброшены ли в процессе обработки результатов величины, существенные для достоверного воспроизведения полученной зависимостью реального процесса, и правильно ли выбрана искомая математическая модель. Она заключается в вычислении расчетного значения критерия Фишера и его сравнении с табличным. Расчетное значение определяется соотношением

при

где ур – рассчитанное по уравнениям значение функций отклика у1 и у2; – дисперсия среднего значения функции отклика; k – число коэффициентов в уравнении.

Пользуясь данными табл. 3.8–3.9 [2] и результатами произведенных ранее вычислений для расчетного критерия Фишера, находим Fp = 14,2222. Для доверительной вероятности 95 % и соответствующих степеней свободы числителя и знаменателя табличное значение критерия Фишера оказалось равным 12,6744.

Соотношение Fp > F свидетельствует о том, что выбранная на первом этапе линейная математическая модель неадекватна реальной зависимости эксплуатационных характеристик рабочих органов измельчительной машины от варьируемых в эксперименте факторов. Для нахождения зависимости, адекватной реальной, достроим план эксперимента до центрального композиционного ротатабельного, добавляя так называемые «звездные точки» для значений нормированных факторов Хi = 2 и проводя дополнительные эксперименты в центре плана. Соответствующая матрица планирования и некоторые вспомогательные величины приведены в табл. 1.5.

Таблица 1.5