Материал: baldin_kv_red_matematika_dlia_gumanitariev

Внимание! Если размещение файла нарушает Ваши авторские права, то обязательно сообщите нам

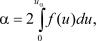
f(u)

Рис. 13.5

Вероятность попадания ПС в критическую область можно определить с использованием табличной функции Лапласа

P(|u| <ua) = 1 2 T(ua) = a

(13.18)

или табличной функции нормального закона распределения

P(|u| <ua) = 1 2 FT(ua) = 1 2 a/2.

Откуда находим

(13.19)

или

Из таблицы функции Лапласа или функции нормального закона распределения по аргументу (1 2 a) или (1 2 a/2) выбираем значение ua.

Таким образом, проверка гипотезы о равенстве математических ожиданий для рассматриваемого случая производится

вследующем порядке:

1.В соответствии с формулами (13.16) по результатам ис-

пытаний находят оценки математических ожиданий , .

456

априорная информация о том, что математическое ожидание случайной переменной X больше или меньше математического ожидания случайной переменной Y. Сущность проверки нулевой гипотезы аналогична вышеописанной, но в этих случаях строят правостороннюю и левостороннюю критические области соответственно.

Определение границы u покажем на примере определения границы правосторонней критической области

P(u $ u ) = .

(1 .20)

Перепишем выражение (1 .5) в виде

Поскольку FT(`) = 1 и mu = 0, su = 1, то

Следовательно, FT(u ) = 1 2 2

и

Граница критической области u определяется по таблице функции Лапласа, входом в которую является величина (1 22 ).

Аналогично определяется граница левосторонней критической области.

Описанный метод проверки гипотез можно применять, если случайные переменные X и Y распределены по нормальному закону и характеристики точности результатов измерений известны. При нарушении одного из этих предположений метод не применим.

Однако если объем выборок большой (n $ 0), то распределение оценок математических ожиданий и приближенно можно считать нормальным. Следовательно, и показатель согласованности, в качестве которого принимают случайную величину

458

будет иметь нормальное распределение. Проверку гипотезы можно проводить по описанной выше методике, но к полученным выводам следует относиться с осторожностью.

точностьрезультатовизмеренийнеизвестна

Решать задачу проверки гипотезы, в случае если число измерений будет менее 0 (n < 0), описанным выше методом нельзя, так как распределение ПС

будет отлично от нормального.

Задачу проверки гипотезы о равенстве математических ожиданий можно решить лишь при наличии дополнительной информации о соотношении дисперсий

В частном случае дисперсии случайных величин X и Y и могут быть равны ( = 1).

Если соотношение дисперсий известно, то в качестве ПС принимают случайную величину

(1 .21)

Данный показатель согласованности имеет распределение Стьюдента с числом степеней свободы

K = n1 + n2 2 2.

(1 .22)

459

Аналогично, как и при проверке гипотезы о равенстве математических ожиданий при известной точности результатов измерений, критическая область строится в зависимости от вида альтернативной гипотезы. Например,

при H0: mx = my, H1: mx my

строят двустороннюю критическую область. Поскольку кривая плотности распределения Стьюдента симметрична относительно нуля, то критическая область является симметричной. Границы критической области ±u могут быть определены либо с помощью таблицы распределения Стьюдента (табл. 8 приложения), в которой представлены значения вероятности

где f (u) — плотность распределения Стьюдента,

либо с помощью таблицы функции распределения Стьюдента (табл. 12 приложения).

Порядок проверки гипотезы такой же, как и при проверке гипотезы в случае, если точность результатов измерений известна.

13.3.2.Проверкагипотезоравенстведисперсий

Задачи проверки гипотез о равенстве дисперсий приходится решать при сравнении точности приборов, методов измерений, погрешности показаний измерительных устройств и т. д.

Подобные задачи формулируются следующим образом. Предположим, имеются две нормально распределенные случайные величины X и Y, математические ожидания и дисперсии которых неизвестны.

При наблюдении за этими переменными получены случайные выборки (X1, X2, …, Xn,) и (Y1, Y2, …, Yn) соответственно.

При обработке результатов наблюдений найдены оценки дисперсий

460