Материал: baldin_kv_red_matematika_dlia_gumanitariev

Внимание! Если размещение файла нарушает Ваши авторские права, то обязательно сообщите нам

f(u)

f u/H0

f u/H1

u

u

Критическая

 

 

область

Рис. 13.2

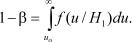
Для уменьшения вероятности ошибки при принятии гипотезы критическую границу необходимо выбирать таким образом, чтобы сумма вероятностей ошибок первого и второго рода была минимальной. В случае, если показатель согласованности распределен по нормальному закону, то минимум суммы вероятностей ошибок и b достигается при выборе критической границы в абсциссе точки пересечения кривых плотностей распределения f (u/H0) и f (u/H1) (на рис. 1 .2 точка ). Однако, не всегда такой подход к выбору критической границы u является целесообразным.

Часто при решении практических задач при выборе u исходят из анализа последствий от неверно принятого решения (“тяжести” последствий ошибок первого и второго рода для конкретной задачи). Например, если ошибка первого рода повлечет большие потери, а второго рода — малые, то целесообразно назначить возможно меньшее значение .

Критерий проверки гипотезы принято характеризовать мощностью показателя согласованности. Под мощностью по-

казателя согласованности понимают вероятность попадания ПС в критическую область, при условии что справедлива альтернативная гипотеза H1. В соответствии с данным определением можно записать

441

Из данного выражения видно, что мощность ПС это есть вероятность того, что не будет допущена ошибка второго рода.

Таким образом, для уменьшения ошибки второго рода критическую область надо выбирать так, чтобы мощность ПС при заданном уровне значимости была максимальной.

Следуетотметить,чтомощностьПСпозволяетобоснованно подойти к выбору односторонних критических областей. Если характер альтернативной гипотезы неясен, то целесообразно в качестве критической выбирать двустороннюю симметричную область.

Для того чтобы одновременно уменьшить ошибки первого и второго рода, необходимо увеличивать объем выборки, по результатам которой проверяют гипотезу.

13.2.Методыпроверкигипотезозаконахраспределения

13.2.1.Постановказадачи

При обосновании закона распределения случайной переменной по результатам испытаний обычно решают две задачи:

1.Задача выравнивания (сглаживания) полученного при испытании статистического ряда. При решении данной задачи подбирают теоретическую кривую распределения, которая выражает лишь существенные черты статистического распределения.

2.Задача проверки гипотезы о законе распределения. В результатерешенияустанавливаютпричинырасхождениямежду подобранной теоретической кривой распределения и статистическим распределением. Расхождение может быть обусловлено либо случайными отклонениями, либо тем, что подобранная кривая плохо описывает статистическое распределение.

Задача выравнивания заключается в том, чтобы подобрать теоретическую кривую распределения, которая с той или иной

442

точки зрения наилучшим образом описывает данное статистическое распределение. Выбранный в результате решения данной задачи теоретический закон распределения принимается в качестве нулевой гипотезы. Для ее решения используют метод моментов, систему кривых К. Пирсона, систему кривых Н. А. Бородачева и ряд других методов.

Для выбора нулевой гипотезы может быть использована следующая методика. По результатам испытаний находят оценки коэффициентов асимметрии и эксцесса

(1 .1)

где — оценка стандартного отклонения исследуемой случайной переменной X,

— оценка центрального момента третьего (четвертого) порядка случайной переменной X,

Доказано, что каждому закону распределения соответствует вполне определенное соотношение между коэффициентами асимметрии и эксцесса. На основе данного свойства строят диаграмму, на которой могут быть выделены точки, прямые и области, отвечающие соответствующему распределению. Такая диаграмма показана на рис. 1 . .

С помощью этой диаграммы можно приближенно определить гипотетический закон распределения, который следует выдвигать в качестве нулевой гипотезы. Для этого на диаграмму наносится точка с координатами , которые получены по формулам (1 .1). Если она окажется вблизи от точки, прямой или области, соответствующей одному из распределений, то его и следует выдвигать в качестве нулевой гипотезы.

44