Материал: baldin_kv_red_matematika_dlia_gumanitariev

Внимание! Если размещение файла нарушает Ваши авторские права, то обязательно сообщите нам

Пример 5.16.

Применим подстановку и получаем:

[Воспользуемся формулой 16 из таблицы интегралов.]

С помощью указанной подстановки хорошо “берутся” ин-

тегралы вида

 

.

Интегрирование функций

с помощью под-

становки

всегда приводит к успеху, но в силу своей об-

щности она не всегда является оптимальной.

5.2.Определенныйинтеграл

К понятию определенного интеграла можно прийти рассматривая различные задачи, например нахождение площади плоской фигуры, вычисление работы переменной силы, определение пути по заданной переменной скорости.

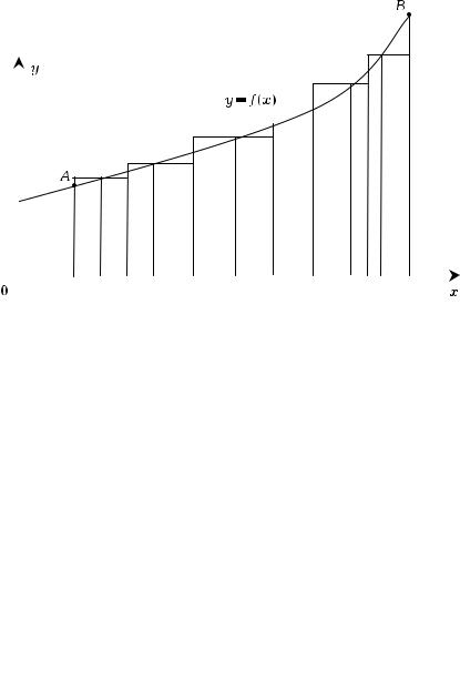
Найдем площадь криволинейной трапеции, т. е. фигуры, которая ограничена осью 0х, графиком непрерывной функции y = f(x) и двумя прямыми x = a и x = b (рис. 5.2). Пока будем считать, что криволинейная трапеция расположена над осью

0х, т. е. f (x) > 0.

Разделим отрезок [a, b] на n частичных интервалов: [x0, x1],

[x1, x2], …, [xn-1, xn].

В точках деления отрезка [a,b] проведем прямые, параллельные оси 0y, и разобьем криволинейную трапецию aABb

161

 

f (M1)

f (M2)

f (M )

f (Mn-1) f (Mn)

 

 

 

 

 

 

a = x0 x1

x2

x

xn - 2 xn-1 b = xn

 

M1

M2

M

Mn - 1 Mn

Рис. 5.2

на n частичных трапеций. В каждом из частичных интервалов возьмем по произвольной точке М1, М2,…, Мn (некоторые из этих точек могут совпадать с точками деления отрезка [a, b]).

Через точки М1, М2,…, Мn проведем прямые, параллельные оси 0y до пересечения с функцией y = f (x). Отрезки этих прямых f (M1), f (M2), …, f (Mn) есть ординаты графика функции y = f (x). Взяв частичные интервалы за основания, построим на них n прямоугольников с высотами, равными f (M1), f (M2), …, f (Mn). В результате мы получим ступенчатую фигуру, состоящую из n прямоугольников. Так как площадь любого из прямоугольников будет равна f (Mi)(xi xi - 1), , то площадь ступенчатой фигуры можно найти по формуле

(5.5)

162

При неограниченном увеличении количество частичных интервалов (n → `) и при стремлении длины наибольшего из них к нулю ступенчатая фигура будет неограниченно приближаться к криволинейной трапеции aABb, т. е. получим

(5.6)

Зная площадь криволинейной трапеции, мы можем находить площади любых плоских фигур (этот вопрос мы подробнее рассмотрим ниже). К выражению вида (5.6) приводят и другие задачи (нахождение работы переменной силы, вычисление пути по заданной переменной скорости).

Теперь приведем строгое определение определенного интеграла.

Впервые для непрерывной функции оно было дано в 182 г. французским математиком Коши, а позднее немецкий математик Риман показал, что определение Коши применимо к более широкому классу функций [2, 22]. Это позволило ему впервые дать в общей форме определение интеграла и определить условие его существования.

Рассмотрим непрерывную на отрезке [a, b] функцию y = = f (x) (f (x) не обязательно положительна на [a, b]). Отрезок [a, b] разбивается на n частичных интервалов точками a = x0, x1,

x2, …, xn = b причем x0 < x1 < x2 <…< xn.

Во всех частичных интервалах [x0, x1], [x1, x2], …, [xn-1, xn] берутся произвольно точки М1, М2, …, Мn, находятся значения

функций y = f (x) в этих точках f (M1), f (M2), …, f (Mn). Составляем сумму вида

(5.7)

где Dxi = xi xi-1.

Затем находим предел интегральной суммы (5.7) при стремлении к нулю длины наибольшего частичного интервала,

т. е. при max Dxi → 0.

(5.8)

16

В рассмотренной нами задаче о криволинейной трапеции предел (5.8) определяет ее площадь. В общем случае он называется определенным интегралом от функции f (x) в пределах от a до b и читается: интеграл от a до b f (x) по dx. Таким образом, согласно определению, получаем:

. (5.9)

Сумма в выражении (5.7) называется n-й интегральной суммой [2, 20, 22].

Как и в неопределенном интеграле f(x) — есть подынтегральное функция, f(x)dx — подынтегральное выражение, переменная х — переменная интегрирования, отрезок [a, b] называется интервалом интегрирования, а числа а и b нижним и верхним пределами соответственно.

Определенный интеграл есть некоторое число, а величина его зависит только от вида функции f(x) и от чисел а и b. Заметим, что площадь криволинейной трапеции — это геометрический смысл определенного интеграла. Вычисление определенного интеграла с помощью составления интегральных сумм вида (5.7) вызывает серьезные проблемы даже в самых простых случаях, поэтому для их нахождения используют другой способ, который мы рассмотрим ниже.

Теперь приведем без доказательства теорему существования определенного интеграла.

Теорема5.2.Если функция f(x) непрерывна в отрезке [a,b], то ее n-я интегральная сумма стремится к пределу при стремлении к нулю длины наибольшего частичного интервала. Этот предел, т. е. определенный интеграл

не зависит ни от способа разбиение [a, b] на частичные интервалы, ни от выбора в этих интервалах промежуточных точек [2].

164

Свойстваопределенногоинтеграла

1.Интеграл от алгебраической суммы конечного числа функций равен алгебраической сумме интегралов от этих функций, т. е.

2.Постоянныймножительподынтегральнойфункцииможно выносить за знак интеграла, т. е.

. Если переставить местами пределы интегрирования, то интеграл изменит только знак, т. е.

.

4. Если интервал интегрирования [a, b] разбит на две части

[a, c] и [c, b], то

.

5.Если функция f(x) в интервале интегрирования не меняет знака, то интеграл представляет собой число того же знака, что и функция.

6.Значение определенного интеграла заключено между произведениями наименьшего и наибольшего значений функции f(x) на длину интервала интегрирования, т. е.

где M и m — соответственно наибольшее и наименьшее значения функции f (x) на отрезке [a, b] (см. рис. 5. ) [22].

165