6.Найти производную функции
в точке А (0, -1, 2, 4, - ).
7.Найти наибольшую скорость возрастания функции
в точке А (-2, -1, , 0, 4).
вопросыдлясамопроверки
1.Дать определение производной функции y = f (x).
2.Каковы геометрический и механический смыслы производной?
. Как найти производную сложной функции?
4.Дать определение дифференциала функции y = f (x).
5.Какой геометрический смысл имеет дифференциал?
6.Что называется производной второго порядка от функ-
ции y = f (x)?
7.В чем состоит достаточный признак экстремума?
8.Какие точки называются точками перегиба функции y = f (x)?
9.Что называется асимптотой функции y = f (x)?
10.Сформулировать правило Лопиталя и привести примеры его применения.
11.Что называется функцией двух независимых перемен-
ных?
12.Что называется графиком функции двух независимых переменных?
1 . Что называется пределом функции Z = f (x, y) при x → x0 и y → y0.
14.Дать определение частных производных функции двух независимых аргументов.
15.Дать определение градиента
16.Как можно выразить производную по направлению через градиент?
146
5.ЭлеМентыинтегральнОгОисчисления
Интегральное исчисление — это раздел математического анализа, в котором изучаются свойства и способы вычисления интегралов и их применение.
Интегрирование — это действие, обратное дифференцированию. Например, с его помощью находится скорость тела по заданному ускорению.
5.1.Первообразнаяинеопределенныйинтеграл
Первообразной от функции y = f (x) на некотором промежутке называется функция F (x), производная которой равна исходной функции, т. е. F (x) = f (x). Из этого определения следует, что любая функция по отношению к своей производной является первообразной [2, 16].
Рассмотрим пример y = x5. Данная функция служит произ-
воднойдляфункции |
,таккак |
и |
, |
или в общем виде |
, где С = const. |
|
|
Из данного примера видно, что любая функция будет первообразной для функцией y = x5.
Теперь приведем формулировку основной теоремы о первообразных.
Теорема 5.1. Любая непрерывная функция имеет бесконечное множество первообразных, причем любые две из них друг от друга отличаются постоянным слагаемым [2, 22].
Формула F(x) + C исчерпывает множество всех первообразных исходной функции. Геометрически выражение F(x)+C есть семейство кривых (рис. 5.1.), каждая из которых получается путем сдвига одной из кривых вдоль оси 0у.
Заметим, что первообразную можно находить не только по производной, но и по дифференциалу.
Теперь дадим определение неопределенного интеграла.
147
0
Рис. 5.1
Отыскание первообразных называется неопределенным интегрированием, а выражение, охватывающие совокупность всех первообразных от данной функции f(x) называется неопределенным интегралом и обозначается так:
где f(x) — подынтегральная функция;
f(x) dx — подынтегральное выражение; х — переменная интегрирования.
Заметим, что f (x) на участке интегрирования должна быть непрерывна;
— знак интеграла.
Таким образом, неопределенный интеграл есть семейство функций F(x) + C, т. е.
[2, 6].
Нахождение всех первообразных для данной функции f (x) и называется неопределенным интегрированием. Термин “неопределенное интегрирование” появился, потому что не указывается, какая первообразная имеется в виду.
148
Сразу скажем, что интегрирование значительно сложнее дифференцирования. Дифференцирование любых элементарныхфункцийпроизводитсяпоопределеннымправилам,аинтегрирование требует в каждом конкретном случае индивидуального подхода. Разумеется, есть общие методы интегрирования, некоторые мы рассмотрим далее. Заметим, что производная от любой элементарной функции есть функция элементарная, а про неопределенный интеграл от элементарной функции этого сказать нельзя. Первообразная от элементарной функции может оказаться и не представимой с помощью конечного числа элементарных функций. Про такие функции говорят, что они не интегрируемы в элементарных функциях. Примерами так называемых неберущихся интегралов являются:
и др.
Из определения неопределенного интеграла следует, что
(5.1)
Найдем неопределенные интегралы от основных элементарных функций, используя для этого таблицу производных от основных элементарных функций (см. главу 4 “Основы дифференциального исчисления”).
Например, (sin x) = cos x. Перепишем это равенство в виде
Проинтегрируем обе части последнего равенства и с учетом третьей формулы (5.1) получим
149
Это и есть табличный интеграл.
Точно так же получают и другие табличные интегралы от основных элементарных функций.
Приведем таблицу интегралов от основных элементарных функций. Справедливость приведенных формул легко проверить дифференцированием.
Таблицанеопределенныхинтегралов
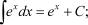
1)
n -1;
2)
)
4) 
5) 
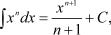
6) 
7) 
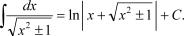
8) 
9) 
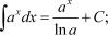
10) 
11) 
Добавим формулы интегрирования гиперболических и обратных гиперболических функций.
12) 
150