Материал: Анализ ценовых стратегий на рынке мобильной связи Российской Федерации

Внимание! Если размещение файла нарушает Ваши авторские права, то обязательно сообщите нам

Данные об объеме потребления услуг сотовой связи и распределении исходящих звонков по продолжительности и направлениям были взяты из отчета компании «ComNews Research»:

Таблица 1.

Данные об услугах, входящих в "среднюю корзину", рассчитанные согласно методологии ОЭСР


Вызовы на городские номера

Междугородные вызовы

Внутресетевые звонки

Звонки на мобильные сети других операторов

Звонки на голосовую почту

SMS

MMS

Интернет, Мбайт

Кол-во единиц

17

9

57

29

9

50

1

8

Кол-во минут

1,8

1,8

1,9

1,7

0,8

-

-

-


Таким образом, из таблицы видно, что в среднем каждый абонент, проживающий на территории Российской Федерации, в месяц совершает 17 вызовов на городские номера продолжительностью 1,8 минут; 9 междугородных вызовов, продолжительностью 1,8 минут; 57 внутресетевых звонков по 1,9 минут каждый; 29 звонков на мобильные сети других операторов по 1,7 минут; совершает 9 звонков на голосовую почту, продолжительностью 0,8 минут; и, кроме того, отправляет 50 текстовых сообщений, 1 MMS и тратит 8 Мбайт трафика сети Интернет.

В данной работе была рассчитана стоимость «средней» потребительской «корзины» в каждом регионе Российской Федерации. Так как в ходе анализа рынка стало известно, что у каждого мобильного оператора в разных регионах страны на один и тот же тарифный план устанавливаются разные цены, то это значит, что стоимость потребительской корзины в каждом регионе разная.

Для вычисления средней стоимости «корзины» производились расчеты стоимости услуг сотовой связи по каждому крупному оператору мобильной связи в каждом регионе. Для этого были выбраны следующие операторы: крупнейшие компании сотовой связи, входящие в «большую тройку», «МТС», «МегаФон» и «Билайн», а также операторы «Теле2», «Ростелеком», «МОТИВ», «СМАРТС».

Для вычисления стоимости «средней корзины» абонента в каждом регионе России у каждого оператора мобильной связи был выбран наиболее экономичный средний тариф. Для этого были изучены цены на звонки, SMS, MMS, Интернет у разных тарифов и выбран наиболее подходящий средний постоплатный или предоплатный тариф.

К таким тарифам относились либо предоплатные тарифы, имеющие среднюю стоимость ежемесячной абонентской платы и включающие пакет услуг, соответствующий потреблению, представленному в Таблице 1, либо постоплатные тарифы, имеющие одинаковую стоимость как на внутресетевые звонки, так и на мобильные номера других операторов.

Из выбранных тарифов брался наиболее экономичный у каждого оператора, и рассчитывалась стоимость «корзины» по каждому субъекту Федерации. Расчеты производились по одному и тому же тарифу у каждого оператора для того, чтобы полученные данные можно было сравнить между собой. После расчетов стоимости «средней корзины» по каждому оператору вычислялась средняя стоимость мобильной связи в регионе как среднее арифметическое от стоимостей «корзин» каждого мобильного оператора в регионе.

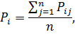
Таким образом, формула вычисления цены на мобильную связь у постоплатного тарифа в i-том регионе у j-го оператора получилась следующая:

,

где:

 - цена мобильной постоплатного тарифа «корзины» j-го оператора в i-том регионе,

 - стоимость первой минуты звонка на городской номер у j-го оператора в i-том регионе,

 - стоимость последующих минут звонка на городской номер у j-го оператора в i-том регионе,

 - стоимость междугороднего звонка у j-го оператора в i-том регионе,

 - стоимость первой минуты внутрисетевого звонка у j-го оператора в i-том регионе,

 - стоимость последующих минут внутрисетевого звонка у j-го оператора в i-том регионе,

 - стоимость первой минуты звонка на телефоны других операторов у j-го оператора в i-том регионе,

 - стоимость последующих минут звонка на телефоны других операторов у j-го оператора в i-том регионе,

 - стоимость звонка на голосовую почту у j-го оператора в i-том регионе,

 - стоимость SMS-сообщения у j-го оператора в i-том регионе,

 - стоимость MMS-сообщения у j-го оператора в i-том регионе,

 - стоимость 1 мегабайта трафика у j-го оператора в i-том регионе,

 - дополнительные платежи у j-го оператора в i-том регионе.

Что касается предоплатных тарифных планов, то расчет стоимости «корзины» по ним производился по следующей выведенной формуле:

Таким

образом, стоимость мобильной связи в каждом регионе Российской Федерации была рассчитана по следующей выведенной формуле:


где:

 - стоимость мобильной связи в i-том регионе,

 - стоимость мобильной связи у j-го оператора в i-том регионе,

 - количество крупных операторов, действующих в i-том регионе.

Данным способом в каждом из 83 субъектов Российской Федерации была вычислена стоимость потребления мобильной связи у каждого оператора и средняя по каждому региону стоимость мобильной связи.

Стоит также отметить, что при расчете стоимости междугородних звонков бралась цена за звонок в любой регион России на мобильные номера абонентов того же оператора. То есть, к примеру, когда производился расчет стоимости междугородних звонков в месяц для абонента сети «МТС», то бралась цена междугородней связи за минуту соединения для этого абонента на мобильные телефоны «МТС». Таким образом, было сделано допущение, что абоненты чаще всего совершают внутресетевые междугородние звонки, так как такие звонки, как правило, дешевле.

Кроме того, если в описании тарифа дополнительно не была указана цена за сообщение на голосовую почту, то учитывалась цена за минуту исходящего вызова на мобильные номера других операторов.

Также стоит отметить, что в стоимости «корзины» учитывалась стоимость исходящих SMS-сообщений, посылаемых в пределах региона, в котором находится абонент.

В случаях, когда в каком-то субъекте федерации оператор мобильной связи не предоставлял выбранный для расчетов тарифный план, в этом регионе расчет производился по тарифу, наиболее приближенному по описанию к выбранному.

У мобильного оператора «МТС» был выбран постоплатный тарифный план «Red Energy», у мобильного оператора «МегаФон» - предоплатный тарифный план «МегаФон - Все включено S», у «Билайна» - предоплатный тарифный план «Все включено L».

У оператора «Теле2» основной выбранный тарифный план - «Все на связи», являющийся постоплатным. В тех регионах, где «Теле2» не имеет данного тарифа, производились расчеты по постоплатному тарифному плану «Так просто».

У оператора «Ростелеком» все расчеты производились по постоплатному тарифному плану «Общение на равных», у оператора «МОТИВ» - по постоплатному тарифу «Оп-па», у оператора «СМАРТС» в основу расчетов был взят предоплатный тарифный план «Хит сезона», в случаях его отсутствия - «Все просто».

.2 Эмпирическое исследование. Анализ ценовых стратегий

После вычисления стоимости «потребительской корзины» в каждом регионе Российской Федерации был произведен эмпирический анализ полученных цен: были выявлены регионы, в которых мобильная связь наиболее дорогая, а также регионы с самой дешевой мобильной связью. Кроме того, была выявлена средняя стоимость мобильной связи. Это помогло сравнить цену каждого мобильного оператора со средней ценой и выявить, кто из операторов завышает или занижает цену. Кроме того, благодаря анализу можно проследить, меняется ли цена в зависимости от региона или нет, а также сравнить динамику цен у нескольких операторов: похожи ли их стратегии, одинаково ли меняются у них цены. По результату данного исследования можно сделать выводы относительно ценовых стратегий мобильных операторов и выяснить, применяют ли операторы стратегию «дифференциации тарифов по сегментам географических рынков». Применение данной стратегии подтвердит наличие сегментации на рынке в зависимости от месторасположения потребителей и станет первым аргументом в пользу наличия ценовой дискриминации третьей степени на рынке мобильной связи Российской Федерации.

.2.1 Анализ цен на мобильную связь у разных операторов в разных регионах

Как показали наблюдения, каждый оператор в разных субъектах РФ на один и тот же тарифный план устанавливает разные цены. В основном цена на междугородние соединения является одинаковой во всех регионах. Также практически не изменяется стоимость 1 Мбайта передачи данных в сети Интернет. Чаще всего изменения наблюдаются в стоимости одной минуты исходящего вызова на любые телефоны, а также в цене за отправку одного SMS-сообщения. В предоплатных тарифах, у которых установлена фиксированная ежемесячная плата, изменяется количество услуг, входящих в пакет тарифного плана. В регионах, где стоимость мобильной связи выше, в рамках таких тарифов предусмотрено меньшее количество бесплатных минут и SMS.

После произведенных расчетов было выяснено, что средняя стоимость услуг мобильной связи в России составляет 343,5 рубля в месяц. Также были выделены субъекты с наиболее низкой стоимостью услуг мобильной связи и субъекты с самой дорогой мобильной связью. Полученные данные представлены в таблицах, расположенных ниже.

Таблица 2.

Регионы с наиболее низкой ценой "средней корзины"

Регионы

Стоимость корзины, руб.

 1. Ивановская область

255,4

2. Владимирская область

259,8

3. Краснодарский край

260,4

4. Республика Адыгея

260,4

5. Калужская область

261,6

6. Рязанская область

261,6

7. Брянская область

263,5

8. Республика Калмыкия

264,5

9. Орловская область

265,0

10. Курская область

265,4

11. Астраханская область

267,9

12. Костромская область

270,7

13. Тверская область

272,6

14. Тульская область

275,8

В среднем по России

343,5


Таблица 3.

Регионы с наиболее высокой ценой "средней корзины"

Регионы

Стоимость корзины, руб.

1. Москва и МО

626,1

2. Чукотский АО

512,6

3. Республика Саха (Якутия)

506,1

4. Ханты-Мансийский АО - Югра

485,7

5. Сахалинская область

478,2

6. Ямало-Ненецкий АО

473,0

7. Ненецкий АО

463,3

8. Пермский край

448,8

9. Забайкальский край

417,3

10. Республика Дагестан

417,3

11. Чеченская Республика

417,3

12. Магаданская область

411,6

13. Тюменская область

411,5

14. Хабаровский край

406,9

В среднем по России

343,5


Стоит отметить следующую закономерность: в регионах с наиболее низкой стоимостью услуг сотовой связи действует, как правило, 4 оператора мобильной связи и больше. В регионах с самой дорогой мобильной связью, наоборот, количество предприятий сотовой связи ограничивается операторами «большой тройки».

Данные о средней цене на мобильную связь по операторам представлены на Рисунке 1.

Рисунок 1. Средняя цена на мобильную связь в России по операторам

Расчет цен по регионам показал, что наиболее дешевым оператором сотовой связи является компания «Теле2». Средняя стоимость «корзины» составляет 268 рублей. Это на 22% ниже средней стоимости мобильной связи в России.

Из крупнейших компаний сотовой связи - так называемой «большой тройки» - наиболее дешевыми являются тарифные планы оператора «Билайн», средняя стоимость «корзины» которого составляет 316 рублей, что на 8% ниже средней стоимости мобильной связи в России. Самым дорогим оператором среди компаний «большой тройки» является «МТС» - стоимость потребительской корзины составляет 373 рубля (это на 8,5% выше среднерыночной цены), следом идет оператор «МегаФон», средняя стоимость услуг которого равна 364 рубля (на 6% выше средней цены).

Среди всех изученных предприятий сотовой связи наиболее дорогими являются операторы «МОТИВ» и «Ростелеком» - 411 рублей (почти на 20% выше средней стоимости) и 384 (на 12% выше среднерыночной стоимости) рубля соответственно. Оператор «СМАРТС» имеет такую же низкую цену, как «Теле2», и его можно отнести к разряду наиболее дешевых операторов сотовой связи. Средняя цена «корзины» составляет 270 рублей, что на 21% ниже средней стоимости мобильной связи по России.

Также был составлен рейтинг мобильных операторов по количеству регионов, где оператор предоставляет наиболее дешевый тариф «средней корзины». Результат представлен на Рисунке 2.

Рисунок 2. Рейтинг операторов по количеству регионов, в которых оператор предоставляет наиболее дешевый тарифный план

Как видно, оператор «МегаФон» лидирует в данном рейтинге. Он предоставляет наиболее дешевый тарифный план в 27 регионах. Второе место занимает оператор «Билайн», а «Теле2» находится только на третьем месте, хотя по средней цене на мобильную связь является наиболее выгодным оператором.

В данном рейтинге компания «Теле2» находится на третьем месте потому, что здесь не учитывается количество регионов, в которых действуют операторы мобильной связи. «МегаФон» и «Билайн» действуют в 83 субъектах Российской Федерации и в 27 и 22 из них соответственно предоставляют самый дешевый тариф «средней корзины», а оператор «Теле2» действует всего лишь в 42 субъектах и в 20 из них предоставляет наиболее дешевый тарифный план. Если сравнить эти значения в долях, то получится, что «Теле2» предоставляет наиболее выгодный тарифный план чаще, чем «МегаФон» или «Билайн».