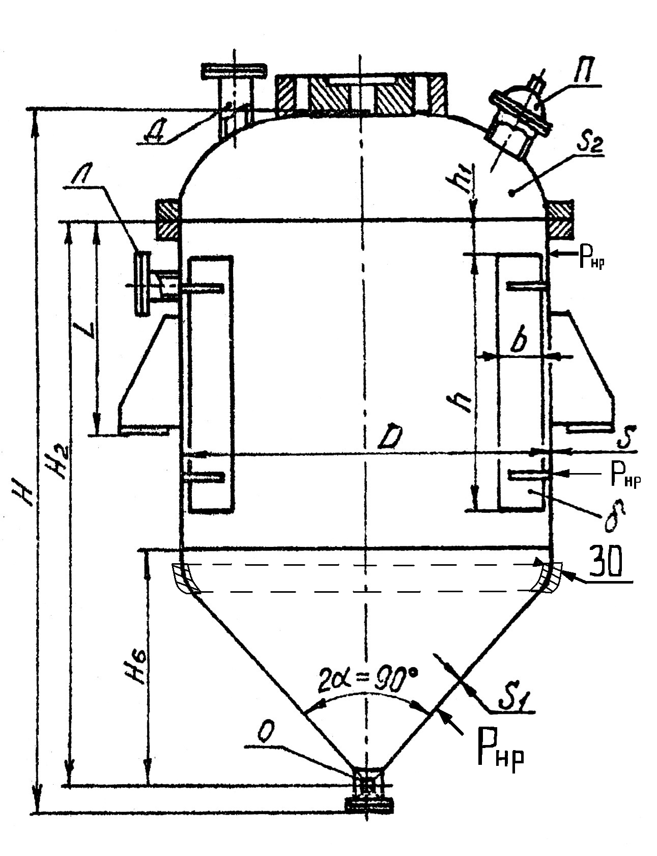
Рис. 7.1.
Конструкция привода
7.3.3. Расчет оболочек, нагруженных внутренним давлением
Расчет толщины стенки цилиндрической обечайки
,
где
– внутренний диаметр корпуса;
-
расчетное давление;
-
допускаемое напряжение;
-
коэффициент прочности продольного
сварного шва обечайки, для стыковых и
тавровых швов с двусторонним проваром
и выполненных автоматической сваркой:
![]()
–
поправка
на коррозию;
– прибавка
для округления до стандартного значения.

По сортаменту выбираем толщину стенки S=10-0,8мм;
Smin=9,2-2=7,2 мм;
Расчет эллиптической крышки и конического днища.

![]()
По сортаменту S=10-0,8 мм, Smin = 9,2, Smin= 9,2 - 2= 7,2 мм

Расчетный диаметр конического днища:
![]()

По сортаменту S=10мм.
7.3.4. Расчет обечайки, нагруженной наружным давлением
Определяем предварительно толщину стенки цилиндрической обечайки.
Внутренний диаметр D=2000 мм. Длина обечайки hu=1800 мм. От крышки аппарата обечайка отделена фланцем толщиной > 80 мм. Для уменьшения краевых напряжений между днищем аппарата и обечайкой вварено тороидальное кольцо толщиной 30 мм (рис. 7.1), длиной 50 мм, радиусом 50мм.
Корпус аппарата выполнен из стали 0X23H28. Допускаемое напряжение [σ]=122 Мпа. Избыточное давление в рубашке Pн.р.=0,4 МПа. Модуль упругости Е=1,86∙105 МПа. Коэффициент запаса устойчивости в рабочем состоянии nу=2,4.
Обечайка благодаря фланцу и тороидальному кольцу работает независимо от конического днища [14, с. 43].
Определяем коэффициенты номограммы [14].
Расчетная длина обечайки (без отбортовки) Lp=1800.


Тогда из номограммы [14] (стр. 37) K2=0,65
Допускаемое давление из условия прочности:

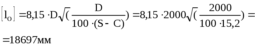
Допускаемое давление из устойчивости lp=2000 мм

lp < lo
Допускаемое наружное давление с учетом обоих условий в рабочем состоянии:

Далее расчет обечайки совместно с днищем и крышкой на устойчивость в системе APM WIN Machine при наружном давлении Pнр = 0,72 МПа показал соответствие коэффициента запаса устойчивости ny ≈2,4.
Толщина стенки обечайки, днища и крышки аппарата определилась из расчета на устойчивость при внешнем давлении
Pнр=0,4 МПа <[p]=0,718 МПа
Конструкция корпуса представлена на рис.7.2.

Рис.7.2
Конструкция корпуса
7.3.5. Подбор уплотнения
Подбираем торцовое уплотнение.
Торцовое уплотнение обладает рядом преимуществ: оно работает с незначительной утечкой газа; в период нормальной работы не требует обслуживания; правильно подобранное торцовое уплотнение отличается большой устойчивостью и долговечностью.
Самый ответственный элемент торцового уплотнения – пара трения. Обычно одно кольцо изготовляют из более твердого материала. Наиболее широко применяются следующие материалы в различных комбинациях: кислотостойкая сталь, бронза, керамика, графит, фторопласт и твердая резина. Также выбор уплотнения обусловлен относительно высоким внутренним давлением. Торцовое уплотнение подбираем по диаметру проходного вала, в нашем случае он составляет 60мм. Основные размеры торцового уплотнения представлены на эскизе. Все размеры на эскизе указаны в мм. Масса торцового уплотнения под диаметр вала составляет 75кг.
7.3.6. Расчет элементов механического перемешивающего устройства
Расчет вала перемешивающего устройства на виброустойчивость
Должно выполняться условие:
,
где ω1
– первая критическая угловая скорость
вала,
;
ω
–
угловая скорость вала,
![]()


-
расчетная длина вала, м;
Относительная масса вала:

Е = 2∙105 МПа– модуль упругости для материала вала;
I
–
момент инерции поперечного сечения
вала, м4;

α – корень частного уравнения, определяется по графикам.

![]()

.
Следовательно,
![]()
![]()

0,7∙18,57 = 13
5,2 < 13 – условие выполняется.
Расчет вала на прочность
Проведем расчет вала на кручение и изгиб.
Напряжение от крутящего и изгибающего моментов определяются соответственно по формулам.
;
.
Расчетный изгибающий момент М от действия приведенной центробежной силы Fц определяется в зависимости от расчетной схемы вала:
![]()
mпр – приведенная сосредоточенная масса вала, кг;
r – радиус вращения центра тяжести приведённой массы вала;
![]()
q – коэффициент приведения массы к сосредоточенной массе.

![]()
,
где
- эксцентриситет массы перемешивающего
устройства с учетом биения вала, м;
-
эксцентриситет центра массы перемешивающего
устройства, м;
σ
– допускаемое биение вала;
.
![]()

![]()
Найдем реакции в опорах:
:
![]()

:
![]()

Проверка:
-RA + RB – Fц = 0
-15,8+18-2,2 = 0
MA = 0
MB = l2∙RB = 0.400∙18 = 7,2 H∙м

;
.
![]()
![]()
11,6 МПа < 118,8 МПа – условие выполняется.
Расчет вала на жесткость
Рис.
7.5. Расчетная схема
реального
и приведенного валов
Расчет вала на жесткость заключается в определении допускаемой величины прогиба. Производится из следующего условия:
Jmax. [J] ,
где [J] – допускаемый прогиб вала, в том месте, где вал входит в аппарат (в уплотнение), мм; [J] = 0,1 мм;
,
где I – осевой момент инерции сечения вала, м 4;
![]()
![]()
l2 = 400 мм
l1 = 2855 мм

-
условие выполняется.
Определим угол поворота в сферическом подшипнике:

При этом необходимо, чтобы выполнялось условие В [], где наибольший допускаемый угол поворота для радиальных сферических шарикоподшипников [ ] = 0,05 рад.

- условие выполняется.
7.3.7. Подбор подшипников качения по динамической грузоподъемности

Рис. 7.6. Расположение подшипников на валу
Для вала вертикального перемешивающего устройства подбираются следующие подшипники:
1. В верхнюю опору устанавливаются подшипники шариковые упорные двойные и шариковые радиальные однорядные.
2. В нижнюю опору устанавливается двухрядный сферический радиальный шариковый подшипник качения для компенсации биений вала во время работы мешалки.
Подшипники подбирают по каталогу, исходя из расчетной схемы, по предельной грузоподъемности, а затем выполняют проверочный расчет на долговечность.
Из конструкции опор следует, что большую осевую нагрузку на вал воспринимает только упорный подшипник 38212Н в опоре А. Подшипники 212 (опора А) и 1212 воспринимают только радиальные усилия. Такая конструкция опор является надежнее конструкции, состоящей из одного радиального подшипника.
7.3.7. Подбор подшипников качения по динамической грузоподъемности
Опора А:
В верхнюю опору под диаметр вала 55 мм подбираем:
- радиальный однорядный шариковый подшипник 212;
=
52 кН – динамическая грузоподьемность;
=
34,2 кН – статическая грузоподьемность.
- упорный двойной 38212:
=65
кН – динамическая грузоподьемность;
=
150 кН – статическая грузоподьемность;
В нижнюю опору под диаметр вала 60 мм подбираем шариковый радиальный сферический подшипник 1212.
Опора В:
=30
кН ;
=
16кН.