|
Внутреннее давление Рp, МПа |
Диаметр аппарата, мм |
|||||||
|
300 |
1000 |
1200 |
1400 |
1600 |
1800 |
2000 |
2200 |
|
|
0 – 0,6 0,6 – 1,0 1,0 – 1,6 1,6 – 2,5 2,5 – 4,0 4,0 – 6,4 6,4 – 8,0 8,0 – 10,0 |
20 20 20 20 30 30 30- 36 36- 42 |
20 20 20 20 30 42 42 48 |
20 20 24 – 30 24 – 30 36 42 48 52 – 56 |
20 20 24 – 30 24 – 30 36 48 52- 56 56 – 64 |
20 24 – 30 24 – 30 24 – 30 36 48 52- 56 56 – 64 |
20 24 – 30 24 – 30 30 42 52 – – |
24 30 30 30 42 52 – – |
24 – 30 30 30 – – – – – |
Таблица 6.2
Рекомендуемые диаметры болтов (шпилек) в зависимости от давления и диаметра аппарата
Таблица 6.3
Рекомендуемый шаг расположения болтов
|
Давление в аппарате Рp, МПа |
Шаг расположения болтов tш |
|
1 |
2 |
|
До 0,3 0,3 – 0,6 0,6 – 1,0 1,0 – 1,6 1,6 – 2,5 2,5 – 4,0 4,0 – 10,0 |
(4,2+5,0) dб (3,8+4,8) dб (3,5+4,2) dб (3,0+3,8) dб (2,7+3,5) dб (2,3+3,0) dб (2,1+2,8) dб |
Таблица 6.4
Вспомогательные величины для определения размера фланца
|
Диаметр болта dб, мм |
Конструктивная добавка а, мм |
Конструктивная добавка е, мм |
||
|
для гаек шестигранных |
для гаек с уменьшенным размером |
для плоских прокладок |
для прокладок овального сечения |
|
|
20 22 24 27 30 36 42 48 52 |
40 42 47 52 58 60 80 92 97 |
36 40 42 47 52 63 69 80 86 |
30 32 34 37 41 48 55 61 65 |
50 52 57 60 64 71 78 84 88 |
Таблица 6.5
Размеры прокладок
|
Прокладка |
Диаметр аппарата D, мм |
Ширина прокладки b, мм |
|
Плоские неметаллические |
D≤1000 1000<D≤2000 D>2000 |
12 - 15 15 - 25 25 |
|
Плоские металлические |
D≤1000 D>1000 |
10 - 12 12 - 15 |
|
Плоские в металлической оболочке и зубчатые металлические |
D≤1600 D>1600 |
12 - 18 13 - 25 |
|
Овального и восьмиугольного сечения для р≥ 6,4 МПа |
D≤600 600<D≤800 800<D≤1000 1000<D≤1600 |
12 - 13 16 - 22 18 - 28 22-42 |

Рис.6.5.
График для определения коэффициента β1

Рис. 6.6.
График для определения коэффициента λф:
2– для сварных встык фланцев
Прочность болтов фланцевого соединения также оценим по приближенной методике [4]. Сила, растягивающая одну шпильку или один болт, определяется в зависимости от внутреннего избыточного давления, внутреннего диаметра аппарата и числа болтов через силу давления на крышку аппарата (рис. 6.4).

Сила давления, приходящаяся на один болт:

В зависимости от силы назначается сила предварительной затяжки болта для создания герметичности внутри аппарата:
.
Коэффициент
затяжки назначается в пределах
= 1,5...4. Сила
увеличивается
на 30% для учета касательных напряжений
при
закручивании
гайки (коэфициент 1,3). После создания
давления
в аппарате не вся сила F
идет на увеличение силы растяжения
болта
, а только часть ее
,где
коэффициент внешней нагрузки
принимается
в пределах (0,2...0,3). В результате сила
,
растягивающая один болт, определяется
по формуле
![]()
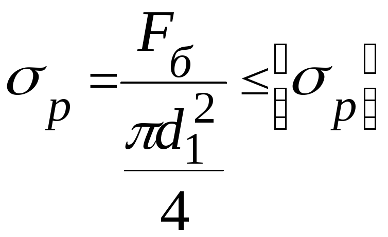
Соотношение конструктивных размеров задается из условия одновременного разрушения по трем видам: разрыву стержня болта по внутреннему диаметру резьбы d1, срезу выступов резьбы и смятию витков резьбы. Поэтому достаточно выполнения условия прочности на разрыв стержня резьбы
.
Таблица 6.6
Характеристика прокладок
|
Конструкция прокладки |
Материал прокладки |
Коэффициент kпр |
Удельное давление, МПа |
|
|
минимальное pпр |
допускаемое [pпр] |
|||
|
Плоская неметаллическая |
Резина: мягкая твердая |
0,5 1,0 |
2,0 4,0 |
18 20 |
|
асбест листовой при толщине 1-3мм |
2,5 |
20 |
130 |
|
|
паронит при толщине не более 1 мм |
2,5 |
20* |
130 |
|
|
фторопласт-4 при толщине 1-3 мм |
2,5 |
10 |
40 |
|
|
Плоская металлическая** |
Алюминий марки АДМ |
4,0 |
60 |
|
|
Латунь марки Л63 |
4,75 |
90 |
|
|
|
Сталь: 05кп 0Х18Н10Т |
5,5 6,5 |
125 180 |
|
|
|
Плоская асбестовая в металлической оболочке** |
Оболочка из алюминия
меди или латуни
стали 05кп
стали 08Х18Н10Т |
3,25
3,5
3,75
3,75 |
38
46
53
63 |
|
|
Металлическая овальная или восьмигранная** |
Сталь: 05кп 0XI3 08Х18Н10Т |
5,5 5,5 6,5 |
125 125 180 |
|
* Для сред с высокой проникающей способностью (водород, гелий, легкие нефтепродукты и др.) р= 35 МПа.
** Для данной конструкции прокладки допускаемое удельное давление не регламентируется.