В табл. 2.1 приведены значения коэффициентов aik , bik , cik модели для предлагаемых вариантов заданий, в табл. 2.2 – значения F (β). Важно отме-
тить, что значения коэффициентов получены для угловых параметров движения, выраженных в радианах.
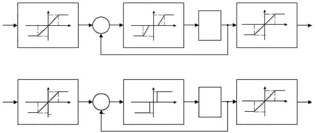
Для моделирования системы стабилизации бокового отклонения СВП достаточно использовать упрощенную нелинейную модель рулевого привода, которая учитывает:
–нелинейность типа «ограничение» на входе;
–нелинейную характеристику зависимости скорости перекладки руля v от
рассогласования ε. Вид нелинейности v(ε) зависит от типа используемых насосов – переменной (рис. 2.2) или постоянной (рис. 2.3) производительности.
* |
|
|
δ |
max |
v(ε) |
|
|
δmax |
|
|
δmax |
* |
ε |
|
v |
|
δ1 |
−δmax |
δ |
||
u |
−εlin −∆ |
1 |
||||||||
δ |
+ |
∆ εlin |
|
|
|
|||||
umin |
umax |
|
|
|
s |
|
|
δ |
||
|
−δ*max |
– |
|
|
−δmax |
|
|
−δmaxmax |
||
Рис. 2.2
δ*max |
|
|
v(ε) |
|
|
δmax |
|
|
||
δ* |
ε |
δmax |
v |
1 |
|
δ |
||||
u |
|
−∆ |
δ1 −δmax |
|
||||||
umin |
|
umax |
+ |
∆ |
|
s |
|
|
δ |
|
|
|
−δ*max |
– |
−δmax |
|
|
|
−δmaxmax |
|
|
|
|
|
|
Рис. 2.3 |
|
|
|
|
|
|
|
|
|
|
|
|
|
|
|
Таблица 2.1 |
|
|
|
|
|
|
|
|
|
|
|
|
Номер |
|
Тип насоса |
|
δmax , ° |
δmax , °/c |
|
∆,° |
εlin , ° |
||
варианта |
|
|
|
|||||||
1 |
Постоянной производительности |
35 |
|
10 |
|
1 |
– |
|||
2 |
Переменной производительности |
35 |
|
10 |
|
1 |
10 |
|||
3 |
Постоянной производительности |
35 |
|
15 |
|
0.5 |
– |
|||
4 |
Переменной производительности |
35 |
|
15 |
|
0.5 |
5 |
|||
5 |
Постоянной производительности |
35 |
|
12 |
|
0.7 |
– |
|||
6 |
Переменной производительности |
35 |
|
12 |
|
0.7 |
7 |
|||
Нелинейность определяется следующими параметрами: максимальной скоростью перекладки руля δmax , зоной нечувствительности ∆ и (для первого случая) зоной линейности εlin :
11
–интегратор;
–нелинейность типа «ограничение» на выходе.
Параметры рулевой машины для различных вариантов приведены в табл. 2.3.
Основные задачи исследования движения СВП в горизонтальной плоскости – определение установившихся режимов движения СВП в условиях безветрия и при ветре, анализ их устойчивости, определение областей притяжения устойчивых режимов, определение эффективности руля.
Для решения указанных задач удобно использовать метод фазовых траекторий, служащий наглядным геометрическим методом исследования устойчивости и характера собственного движения управляемых объектов (УО), описываемых нелинейными дифференциальными уравнениями до третьего порядка включительно.
Рассмотрим применение метода фазовых траекторий на примере исследования УО, движение которого описывается системой нелинейных дифференциальных уравнений второго порядка:
x |
= F |
(x |
, |
x |
)+ f |
, |
|
|
|||
|
1 |
1 |
|
1 |
|
2 |
|
1 |
|
|
(3.1) |
|
|
= F |
|
(x |
|
, x |
|
)+ f |
|
, |
|
x |
|
|
|
2 |
|
||||||
|
2 |
2 |
1 |
2 |
|
|
|
||||
где F1(x1, x2 ), F2 (x1, x2 ) – некоторые аналитические функции; f1, f2 – по-
стоянные возмущающие воздействия. Точки равновесия УО определяются из следующих условий:
F |
(x , x |
)+ f = 0, |
|
||||
1 |
1 |
2 |
1 |
|
(3.2) |
||
F |
(x |
, x |
)+ f |
2 |
= 0. |
||
|
|||||||
2 |
1 |
2 |
|
|
|
||
Для получения аналитической оценки устойчивости динамических систем получил распространение метод Ляпунова, который предусматривает исследование поведения системы по линеаризованной модели. Далее необходимо определить тип точек равновесия и оценить устойчивость объекта, исследуя линеаризованную модель:
∆x1 = a11∆x1 + a12∆x2, |
(3.3) |
||||
∆x |
= a ∆x + a |
22 |
∆x , |
||
|
2 |
21 1 |
2 |
|
|
|
|
12 |
|
|
|
где
|
∆x1 = x1 − x10; |
∆x2 = x2 − x20; |
|
|
|
|
|
|
||||||||||||||||
P(x10, x20 )+ f1 = 0; Q(x10, x20 )+ f2 = 0; |
|
|
|
|||||||||||||||||||||
|
|
∂F |
|
|
|
x1 = x10 |
|
|
∂F |
|
x1 = x10 |
|
|
|
|
|
|
|||||||
|
|
|
|
|
|
|
|
|
|
|
|
|
||||||||||||
a |
= |
1 |
|
|
|
x = x |
; a |
= |
1 |
|
|
x |
= x |
; |
|
|
|
|
||||||
|
|
|
∂x |
|
|
|
|
|
||||||||||||||||
11 |
|
∂x |
|
|
|
12 |
|
|
|
|
|
|
|
|
||||||||||
|
|
1 |
|
|
2 |
20 |
|
|
2 |
|
|
|
|
|
2 |
|
20 |
|
|
|
|
|
||
a |
= |
∂F |
|
x1 = x10 |
; a |
= |
∂F |
|
|
|
x1 |
= x10 |
. |
|
|
|
||||||||
|
|
|
|
|
|
|||||||||||||||||||
2 |
|
|
|
x |
= x |
2 |
|
|
|
x |
= x |
|
|
|
|
|||||||||
21 |
|
∂x |
|
|
|
22 |
|
∂x |
|
|
|
|
|
|
|
|
|
|||||||
|
|
1 |
|
|
2 |
20 |
|
|
2 |
|
|
|
|
2 |
|
20 |
|
|
|
|
|
|||
Характеристическое уравнение матрицы A = |
a11 a12 |
|
имеет вид |
|
||||||||||||||||||||
a |
|
a |
|
|
|
|
||||||||||||||||||
|
|
|
|
|
|
|
|
|
|
|
|
|
|
|
|
|
21 |
|
22 |
|
|
|
||
det (sI − A)= s2 −(a |
+ a |
)s + a |
|
|
|
a |
|
− a |
|
a |
|
, |
(3.4) |
|||||||||||
|
|
|
|
|
|
|
11 |
22 |
|
11 |
22 |
|
12 |
21 |
|
|
||||||||
где I – единичная матрица.
В соответствии с теорией устойчивости по Ляпунову состояние равно-
весия асимптотически устойчиво, если действительные части корней характеристического уравнения отрицательны. При наличии хотя бы одного корня, имеющего положительную вещественную часть, состояние равновесия динамической системы (3.1) неустойчиво. Если корней с положительной вещественной частью нет, но есть корни, расположенные на мнимой оси, устойчивость состояния равновесия необходимо исследовать с привлечением приближений более высокого порядка.
Кроме того, по корням характеристического уравнения можно достаточно полно судить о свободном движении динамической системы в окрестности точки равновесия. В частности, в системах второго порядка точки равновесия являются: устойчивым или неустойчивым узлом, если оба корня действительны и, соответственно, отрицательны или положительны; седлом, если оба корня вещественные и имеют разные знаки; устойчивым или неустойчивым фокусом, если корни комплексно-сопряженные и имеют, соответственно, отрицательную или положительную вещественную часть, центром, если корни чисто мнимые [3].
Ввиду того что состояние равновесия (x10, x20 ) нелинейного УО (3.1) зависит от постоянных возмущений f1, f2 , представляет интерес определить множе-
ство всех устойчивых состояний равновесия, иначе говоря, область устойчивых установившихся (балансировочных) режимов движения УО. Вчастности, знание области балансировочных режимов движения УО позволяет оценить предельно
13
допустимые постоянные возмущения, действующие на него. В общем случае, граница области устойчивых установившихся режимов для нелинейных систем невысокого порядка определяется следующими условиями:
∆ |
n−1 |
(x |
)= 0, |
|
||||
|
|
|
0 |
|
(3.5) |
|||
|
a |
(x |
) |
= 0, |
||||
|
||||||||
|
|
n |
|
0 |
|
|
|
|
где ∆n−1(x0 ),an (x0 ) – предпоследний определитель Гурвица и свободный
член характеристического уравнения для линеаризованной системы (3.3), соответственно, определенные в точке равновесия x0 .
Нужно заметить, что условия (3.5) определяют границу устойчивых установившихся режимов лишь в том случае, когда для какой-либо точки равновесия известно, что она находится внутри области устойчивости, т. е. все ∆i > 0,i =1,2, , n , где ∆i – определитель Гурвица. Тогда при изменении
состояния равновесия, пока ∆n−1 > 0 , наблюдается устойчивость. Когда ∆n−1
обращается в нуль, а затем меняет знак, УО приходит к границе области устойчивости и далее становится неустойчивым. Для УО третьего порядка переход через поверхность an (x0 )= 0 соответствует появлению одного по-
ложительного корня, а переход через поверхность ∆n−1(x0 )= 0 соответству-
ет появлению двух комплексно-сопряженных корней с действительной частью. Для нелинейного УО второго порядка (3.1) с учетом системы первого приближения (3.5) условия преобразуются к виду
a11 = −a22,a11a22 = a12a21.
Основой исследования динамики движения СВП, описываемой системой нелинейных дифференциальных уравнений методом фазовых траекторий, служит построение фазового портрета уравнений движения СВП.
При построении фазового портрета первоначально определяются точки установившихся режимов движения СВП, их тип и устойчивость. Это позволяет решить вопрос о поведении фазовых траекторий вблизи точек равновесия, т. е. оценить характер движения СВП в окрестности точек балансировочных режимов. Особую роль здесь играют точки равновесия типа «седло». Зная поведение траекторий вблизи седла, можно оценить характер поведения траекторий на всей фазовой плоскости.
14
Рассмотрим поведение фазовых траекторий в окрестности седла на примере УО (3.1) при отсутствии постоянных внешних возмущений. Пусть точка (x10, x20 ) – точка равновесия типа «устойчивый узел», а точка (x11, x21) –
точка равновесия типа «седло». Тогда, во-первых, выполняются условия
F |
(x |
, x |
)≡ 0; |
F |
(x |
, x |
|
)≡ 0; |
|
|
1 |
10 |
20 |
|
2 |
10 |
20 |
|
|
F |
(x , x |
)≡ 0; |
F |
(x , x |
)≡ 0; |
||||
|
1 |
11 |
21 |
|
2 |
11 |
21 |
|
|
и, во-вторых, корни характеристического уравнения (3.4) удовлетворяют условиям
Re(s1)< 0, Re(s2 )< 0,
Im(s1)= Im(s2 )= 0,
если частные производные вычислены в точке (x10, x20 ), и
Re(s3)< 0, Re(s4)> 0,
Im(s3)= Im(s4)= 0,
если частные производные вычислены в точке (x11, x21). Поведение такой системы в окрестности точек равновесия (x10, x20 ), (x11, x21) представлено
на рис. 3.1.
Траектории U1 и U2 (рис. 3.1) асимптотически приближаются к точке (x11, x21) при t →∞. Эти траектории вместе с точкой (x11, x21) образуют непрерывную дифференцируемую кривую U , касающуюся прямой Т в точке (x11, x21), где Т – прямая, проходящая через точку (x11, x21) в направлении собственного вектора l3 матрицы А, соответствующего корню s3 < 0 . Траектории U1,U2 называют устойчивыми усами седла (x11, x21). Аналогично, траектории V1,V2 вместе с точкой (x11, x21) образуют непрерывную дифференцируемую кривую V , касающуюся прямой S в точке (x11, x21), где S – прямая, проходящая через точку (x11, x21) в направлении собственного вектора l4 матрицы А, соответствующего корню s4 > 0 , и такие траектории называют неустойчивыми усами седла (x11, x21).
Собственный вектор li матрицы А, соответствующий собственному числу si матрицы А (корню характеристического уравнения матрицы), определяется из условия Ali = sili .
15