Рис. 7. Третий лист электронных таблиц
1) Перейдите на четвертый лист электронной таблицы.
2)
В соответствии с законом распределения
выберете функцию плотности распределения
вероятностей
:


.
3)
Заполните таблицу 10 рисунка 8.
Значения
назначте
таким образом, чтобы график
соответствовал
эталлоной кривой выбранного распределения.
(прил. 1). Рассчитайте
.
Для этого в ячейку B3
введите формулу в соответствии с законом
распределения. ( прил. 3) Путем копирования
формулы, найдите значения
для оставшихся
.
Число десятичных знаков должно равняться
4.
4)
Постройте график
.
Для этого выделите диапазон ячеек
B3:B17.
Выберете: вставка → график.

Рис. 8. Четвёртый лист электронных таблиц
КОНТРОЛЬНЫЕ ВОПРОСЫ
Дайте определение математической статистики. Перечислите основные задачи математической статистики.
Приведите классификацию признаков, характеризующих особенности поведения генеральной совокупности. Дайте им определение.
Дайте определение случайной величины. Приведите примеры дискретных и непрерывных случайных величин.
Дайте определение функции распределения (вероятностей). Перечислите и докажите свойства функции распределения.
Дайте определение плотности распределения (вероятностей). Перечис лите и докажите свойства плотности распределения. Существует ли плотность распределения у дискретной случайной величины?
Как, зная функцию распределения, найти вероятность попадания случайной величины в заданный интервал?
Равномерное распределение: определение, числовые характеристики, функция распределения.
Нормальное распределение: определение, числовые характеристики, функция распределения.
Показательное (экспоненциальное) распределение : числовые характеристики, функция распределения.
Что называется генеральной, выборочной совокупностью, объёмом совокупности, элементом совокупности?
Что называется вариационным рядом выборки, статистическим распределением выборки?
Что называется группированной выборкой?
Дайте определение полигона и гистограммы. Как их используют для выбора теоретического распределения случайной величины?
Что называют выборочным средним. Запишите формулы его нахождения.
Что называют выборочной дисперсией. Запишите формулы для её нахождения.
Как определяют параметры теоретического распределения?
Что такое точечная оценка неизвестного параметра теоретического распределения?
Какую точечную оценку называют несмещенной, состоятельной?
Что такое доверительный интервал для неизвестного параметра теоретического распределения?
Как проверяется гипотеза о предполагаемом теоретическом распределении совокупности? Что такое критерии согласия? Что такое критерий Пирсона?
БИБЛИОГРАФИЧЕСКИЙ СПИСОК
Кремер, Н.Ш. Теория вероятностей и математическая статистика: учебник для вузов / Н.Ш. Кремер. – 3-е изд., перераб. и доп. – М.: ЮНИТИ-ДАНА, 2010. – 551 с.
Гмурман, В.Е. Теория вероятностей и математическая статистика: учеб пособие для вузов / В.Е. Гмурман. – 9-е изд., стер. – М.: Высш. шк., 2003. – 479 с.
Поленищенко, Л.И. Методические указания к лабораторной работе по разделу «Математическая статистика»: учебно-методическое пособие / Л.И. Поленищенко, В.В. Селиванов. – Ульяновск: УВАУ ГА, 1999. – 37 с.
Вентцель, Е.С. Теория вероятностей. / Е.С. Вентцель. – 11-е изд., стер. – М.: КноРус, 2016. – 664 с.
Письменный, Д.Т. Конспект лекций по теории вероятностей, математической статистике и случайным процессам / Дмитрий Письменный. – 3-е изд., - М.: Айрис-Пресс, 2008. – 288 с.
Приложения
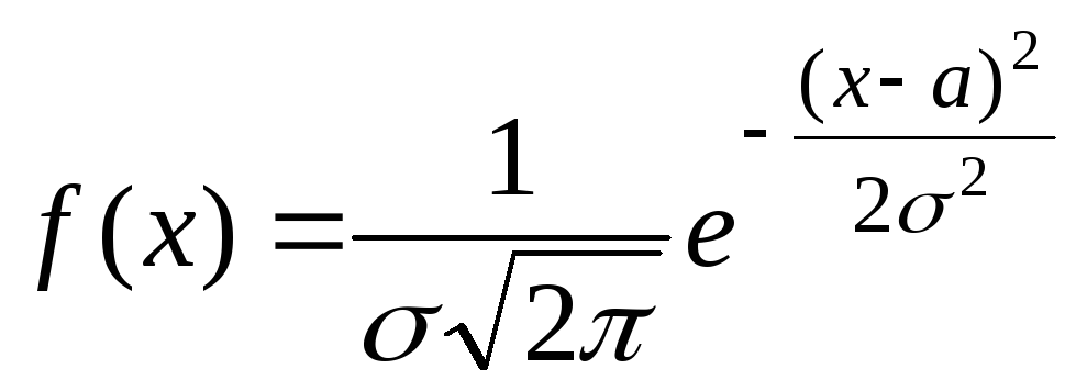
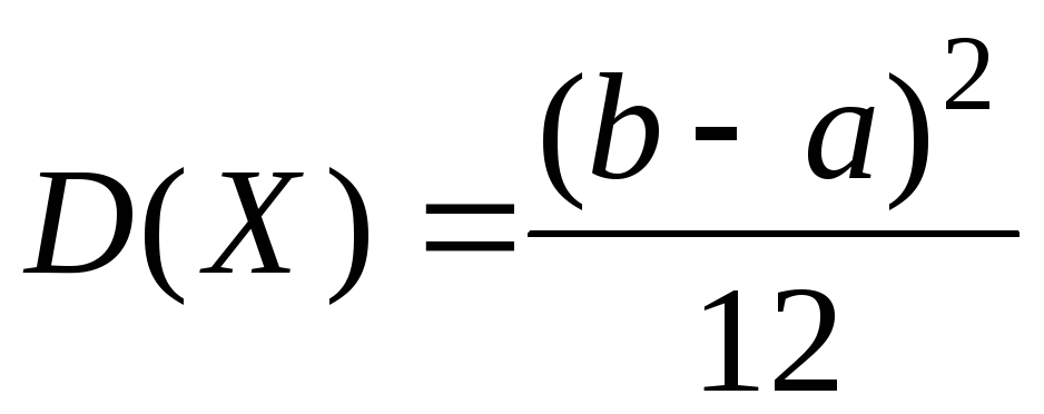
Приложение 1
Типовые законы распределения случайных величин


,
![]()

Рис. 9.


,
.

Рис. 10

![]()
,
.

Рис. 11
Приложение 2.
Таблица
значений функции
![]()
|
|
|
|
|
|
|
|
|
|
|
|
|
|
0,00 |
0,0000 |
0,26 |
0,1026 |
0,52 |
0,1985 |
0,78 |
0,2823 |
1,04 |
0,3508 |
1,30 |
0,4032 |
|
0,01 |
0,0040 |
0,27 |
0,1064 |
0,53 |
0,2019 |
0,79 |
0,2852 |
1,05 |
0,3531 |
1,31 |
0,4049 |
|
0,02 |
0,0080 |
0,28 |
0,1103 |
0,54 |
0,2054 |
0,80 |
0,2881 |
1,06 |
0,3554 |
1,32 |
0,4066 |
|
0,03 |
0,0120 |
0,29 |
0,1141 |
0,55 |
0,2088 |
0,81 |
0,2910 |
1,07 |
0,3577 |
1,33 |
0,4082 |
|
0,04 |
0,0160 |
0,30 |
0,1179 |
0,56 |
0,2123 |
0,82 |
0,2939 |
1,08 |
0,3599 |
1,34 |
0,4099 |
|
0,05 |
0,0199 |
0,31 |
0,1217 |
0,57 |
0,2157 |
0,83 |
0,2967 |
1,09 |
0,3621 |
1,35 |
0,4115 |
|
0,06 |
0,0239 |
0,32 |
0,1255 |
0,58 |
0,2190 |
0,84 |
0,2995 |
1,10 |
0,3643 |
1,36 |
0,4131 |
|
0,07 |
0,0279 |
0,33 |
0,1293 |
0,59 |
0,2224 |
0,85 |
0,3023 |
1,11 |
0,3665 |
1,37 |
0,4147 |
|
0,08 |
0,0319 |
0,34 |
0,1331 |
0,60 |
0,2257 |
0,86 |
0,3051 |
1,12 |
0,3686 |
1,38 |
0,4162 |
|
0,09 |
0,0359 |
0,35 |
0,1368 |
0,61 |
0,2291 |
0,87 |
0,3078 |
1,13 |
0,3708 |
1,39 |
0,4177 |
|
0,10 |
0,0398 |
0,36 |
0,1406 |
0,62 |
0,2324 |
0,88 |
0,3106 |
1,14 |
0,3729 |
1,40 |
0,4192 |
|
0,11 |
0,0438 |
0,37 |
0,1443 |
0,63 |
0,2357 |
0,89 |
0,3133 |
1,15 |
0,3749 |
1,41 |
0,4207 |
|
0,12 |
0,0478 |
0,38 |
0,1480 |
0,64 |
0,2389 |
0,90 |
0,3159 |
1,16 |
0,3770 |
1,42 |
0,4222 |
|
0,13 |
0,0517 |
0,39 |
0,1517 |
0,65 |
0,2422 |
0,91 |
0,3186 |
1,17 |
0,3790 |
1,43 |
0,4236 |
|
0,14 |
0,0557 |
0,40 |
0,1554 |
0,66 |
0,2454 |
0,92 |
0,3212 |
1,18 |
0,3810 |
1,44 |
0,4251 |
|
0,15 |
0,0596 |
0,41 |
0,1591 |
0,67 |
0,2486 |
0,93 |
0,3238 |
1,19 |
0,3830 |
1,45 |
0,4265 |
|
0,16 |
0,0636 |
0,42 |
0,1628 |
0,68 |
0,2517 |
0,94 |
0,3264 |
1,20 |
0,3849 |
1,46 |
0,4279 |
|
0,17 |
0,0675 |
0,43 |
0,1664 |
0,69 |
0,2549 |
0,95 |
0,3289 |
1,21 |
0,3869 |
1,47 |
0,4292 |
|
0,18 |
0,0714 |
0,44 |
0,1700 |
0,70 |
0,2580 |
0,96 |
0,3315 |
1,22 |
0,3883 |
1,48 |
0,4306 |
|
0,19 |
0,0753 |
0,45 |
0,1736 |
0,71 |
0,2611 |
0,97 |
0,3340 |
1,23 |
0,3907 |
1,49 |
0,4319 |
|
0,20 |
0,0793 |
0,46 |
0,1772 |
0,72 |
0,2642 |
0,98 |
0,3365 |
1,24 |
0,3925 |
1,50 |
0,4332 |
|
0,21 |
0,0832 |
0,47 |
0,1808 |
0,73 |
0,2673 |
0,99 |
0,3389 |
1,25 |
0,3944 |
1,51 |
0,4345 |
|
0,22 |
0,0871 |
0,48 |
0,1844 |
0,74 |
0,2703 |
1,00 |
0,3413 |
1,26 |
0,3962 |
1,52 |
0,4357 |
|
0,23 |
0,0910 |
0,49 |
0,1879 |
0,75 |
0,2734 |
1,01 |
0,3438 |
1,27 |
0,3980 |
1,53 |
0,4370 |
|
0,24 |
0,0948 |
0,50 |
0,1915 |
0,76 |
0,2764 |
1,02 |
0,3461 |
1,28 |
0,3997 |
1,54 |
0,4382 |
|
0,25 |
0,0987 |
0,51 |
0,1950 |
0,77 |
0,2794 |
1,03 |
0,3485 |
1,29 |
0,4015 |
1,55 |
0,4394 |
|
|
|
|
|
|
|
|
|
|
1,56 |
0,4406 |
1,83 |
0,4664 |
2,20 |
0,4861 |
2,74 |
0,4969 |
|
1,57 |
0,4418 |
1,84 |
0,4671 |
2,22 |
0,4868 |
2,76 |
0,4971 |
|
1,58 |
0,4429 |
1,85 |
0,4678 |
2,24 |
0,4875 |
2,78 |
0,4973 |
|
1,59 |
0,4441 |
1,86 |
0,4686 |
2,26 |
0,4881 |
2,80 |
0,4974 |
|
1,60 |
0,4452 |
1,87 |
0,4693 |
2,28 |
0,4887 |
2,82 |
0,4976 |
|
1,61 |
0,4463 |
1,88 |
0,4699 |
2,30 |
0,4893 |
2,84 |
0,4977 |
|
1,62 |
0,4474 |
1,89 |
0,4706 |
2,32 |
0,4898 |
2,86 |
0,4979 |
|
1,63 |
0,4484 |
1,90 |
0,4713 |
2,34 |
0,4904 |
2,88 |
0,4980 |
|
1,64 |
0,4495 |
1,91 |
0,4719 |
2,36 |
0,4909 |
2,90 |
0,4981 |
|
1,65 |
0,4505 |
1,92 |
0,4726 |
2,38 |
0,4913 |
2,92 |
0,4982 |
|
1,66 |
0,4515 |
1,93 |
0,4732 |
2,40 |
0,4918 |
2,94 |
0,4984 |
|
1,67 |
0,4525 |
1,94 |
0,4738 |
2,42 |
0,4922 |
2,96 |
0,4985 |
|
1,68 |
0,4535 |
1,95 |
0,4744 |
2,44 |
0,4927 |
2,98 |
0,4986 |
|
1,69 |
0,4545 |
1,96 |
0,4750 |
2,46 |
0,4931 |
3,00 |
0,49865 |
|
1,70 |
0,4554 |
1,97 |
0,4756 |
2,48 |
0,4934 |
3,20 |
0,49931 |
|
1,71 |
0,4564 |
1,98 |
0,4761 |
2,50 |
0,4938 |
3,40 |
0,49966 |
|
1,72 |
0,4573 |
1,99 |
0,4767 |
2,52 |
0,4941 |
3,60 |
0,499841 |
|
1,73 |
0,4582 |
2,00 |
0,4772 |
2,54 |
0,4945 |
3,80 |
0,499928 |
|
1,74 |
0,4591 |
2,02 |
0,4783 |
2,56 |
0,4948 |
4,00 |
0,499968 |
|
1,75 |
0,4599 |
2,04 |
0,4793 |
2,58 |
0,4951 |
4,50 |
0,499997 |
|
1,76 |
0,4608 |
2,06 |
0,4803 |
2,60 |
0,4953 |
5,00 |
0,499997 |
|
1,77 |
0,4616 |
2,08 |
0,4812 |
2,62 |
0,4956 |
|
0,5 |
|
1,78 |
0,4625 |
2,10 |
0,4821 |
2,64 |
0,4959 |
|
|
|
1,79 |
0,4633 |
2,12 |
0,4830 |
2,66 |
0,4961 |
|
|
|
1,80 |
0,4641 |
2,14 |
0,4838 |
2,68 |
0,4963 |
|
|
|
1,81 |
0,4649 |
2,16 |
0,4846 |
2,70 |
0,4965 |
|
|
|
1,82 |
0,4656 |
2,18 |
0,4854 |
2,72 |
0,4967 |
|
|
Приложение 3.
Образец ввода формул в электронных таблицах
Ввод
формулы
.
В ячейку вводится
=
![]()
2)
Ввод формулы
.
В ячейку вводится
=![]()
Ввод
формулы
. В ячейку вводится
=![]()
Ввод
формулы
В ячейку вводится
=
→Enter.
Ввод
формулы
В ячейку вводится
=
→
Enter.
Ввод
формулы
,
.
В ячейку вводится
=
.
Приложение 4.
Критические
точки распределения
![]()
|
Число
степеней свободы
|
Уровень
значимости
|
|||
|
0,01 |
0,025 |
0,05 |
0,95 |
|
|
1 |
6,6 |
5,0 |
3,8 |
0,0039 |
|
2 |
9,2 |
7,4 |
6,0 |
0,103 |
|
3 |
11,3 |
9,4 |
7,8 |
0,352 |
|
4 |
13,3 |
11,1 |
9,5 |
0,711 |
|
5 |
15,1 |
12,8 |
11,1 |
1,15 |
|
6 |
16,8 |
14,4 |
12,6 |
1,64 |
|
7 |
18,5 |
16,0 |
14,1 |
2,17 |
|
8 |
20,1 |
17,5 |
15,5 |
2,73 |
|
9 |
21,7 |
19,0 |
16,9 |
3,33 |
|
10 |
23,2 |
20,5 |
18,3 |
3,94 |