Чтобы охарактеризовать статистическое распределение случайной величины, так же, как и в теории вероятностей [1 - 5], используются так называемые числовые выборочные характеристики. Рассмотрим некоторые из них.
Выборочным
средним
называют среднее арифметическое
значение признака выборочной совокупности.
Если все значения признака выборки
объема
различны, то
(1)
Если
же значения признака
имеют соответственно частоты
,
где
,
то
(2)
Для группированной выборки имеет
место формула
(3)
где
- число интервалов. Эта формула даёт
менее точное значение
,
но значительно сокращает объем
вычислений при больших
.
Для
того, чтобы охарактеризовать рассеяние
наблюдаемых значений количественного
признака выборки вокруг своего
среднего значения
,
вводят понятие выборочной дисперсии
.
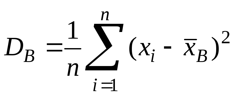
Выборочной
дисперсией
называют
среднее арифметическое значений
квадратов отклонений наблюдаемых
значений признака от их среднего
значения
.
Если все варианты выборки различны
, то
(4)
Если
же варианты повторяются , то
(5)
Для группированной выборки имеет место следующая формула
(6)
Выборочным средним квадратическим отклонением (стандартом) называют квадратный корень из выборочной дисперсии:
(7)
Было
показано [2,4] , что
имеет статистическую ошибку, приводящую
к ее уменьшению. Поэтому вычисляют
исправленную дисперсию по формуле:
(8)
и исправленное выборочное среднее квадратическое отклонение
(9)
Требования к оценкам. Точечные и интервальные оценки.
Предположим,
что уже удалось установить или предположить
по гистограмме и полигону, какое именно
распределение имеет изучаемый признак.
Естественно возникает задача оценки
параметров, которыми определяется это
распределение. Например, если наперед
известно, что изучаемый признак
распределен в выборочной совокупности
нормально, то необходимо оценить
(приближенно найти) математическое
ожидание и дисперсию этого признака.
Если же есть основание считать, что
признак имеет, например, показательное
распределение, то необходимо оценивать
параметр
(прил.1)
Точечной называют оценку, которая определяется одним числом.
Точечную оценку можно изобразить в виде точки на числовой оси (рис. 3).
![]()
Рис.
3. Точечная оценка параметра
![]()
В
нашем распоряжении имеются лишь данные
выборки, через которые и нужно оценить
требуемые параметры. Пусть требуется
оценить некоторый параметр
,
и по выборке объема
была найдена его оценка
.
Значения выборки случайны, поэтому и
сама оценка
является случайной величиной. Можно
построить множество различных оценок,
но при этом иметь «хорошие» приближения
оцениваемого параметра. Поэтому к оценке
обычно предъявляют следующие три
основных требования:
1.
Несмещенность. Математическое ожидание
оценки
должно быть равно оцениваемому
параметру
при любом объеме выборки, т.е.
.
Другими словами, оценка не должна иметь
систематической ошибки.
2.Состоятельность.
При бесконечном увеличении объема
выборки оценка
должна сходиться к точному значению
,
т.е.
при
.
3.
Эффективность. Оценка называется
эффективной, если она не смещена и имеет
минимально возможную дисперсию. В этом
случае наименьший разброс
относительно точного значения параметра
и оценка в определенном смысле является
«самой точной».
Доказано
[2,4,5], что оценка
является несмещенной, эффективной и
состоятельной оценкой математического
ожидания случайной величины
,
является
несмещенной и состоятельной оценкой
ее дисперсии.
Чтобы
получить представление о точности и
надёжности оценки
параметра
,
используют интервальную оценку параметра
(или доверительный интервал).
Пусть
по выборке получена оценка
неизвестного параметра
.
Ясно, что
тем
точнее определяют параметр
,
чем меньше модуль разности
.
Если
, то число
характеризует точность
получений оценки.
Соответственно можно записать:
или
,
или
.
Однако
статистические методы не позволяют
категорически утверждать, что оценка
удовлетворяет неравенству
,
можно лишь говорить о вероятности
,
с которой это неравенство осуществляется.
Надежностью
(доверительной вероятностью) оценки
по
называют вероятность
,
с которой осуществляется неравенство
т.е.
(10)
Равенство
(10) следует понимать так: вероятность
того, что интервал
заключает в себе (покрывает) неизвестный
параметр
,
равна
.
Обычно надежность оценки задается
заранее, причем в качестве
берут число, близкое к единице. Наиболее
часто задаются надежностью, равной
0,95, 0,99, 0,999.
Доверительным
называют
интервал
,
который покрывает неизвестный параметр
с заданной надежностью
(рис. 4).

Рис.4.
Доверительный интервал для параметра
![]()
Метод
доверительных интервалов разработал
американский статистик Ю. Нейман, исходя
из идей английского статистика Р. Фишера.
В качестве конкретного примера рассмотрим
задачу определения такого интервала
для математического ожидания
количественного признака
при
известной дисперсии
.
При этом будем рассматривать
как случайную величину
,
имеющую нормальное распределение (что
вполне допустимо в силу центральной
предельной теоремы [2]) с параметрами
![]()
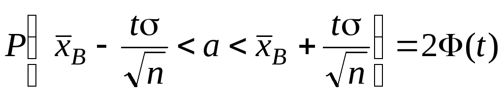
Потребуем,
чтобы выполнялось соотношение
,
где
– заданная надежность. Тогда для
нормального распределения [2] соотношение
можно переписать
![]()
где
.
Из последнего равенства находим
и можно записать
.
Приняв
во внимание, что вероятность
задана и равна
,
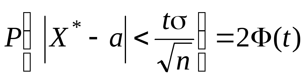
получим
(11)
Таким
образом, в качестве доверительного
интервала для математического ожидания
изучаемого признака
с заданной надежностью
нужно взять интервал
(12)
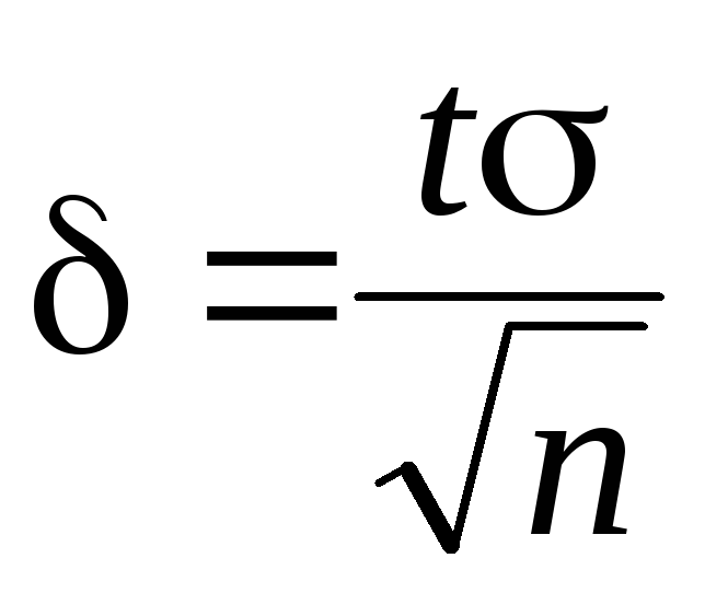
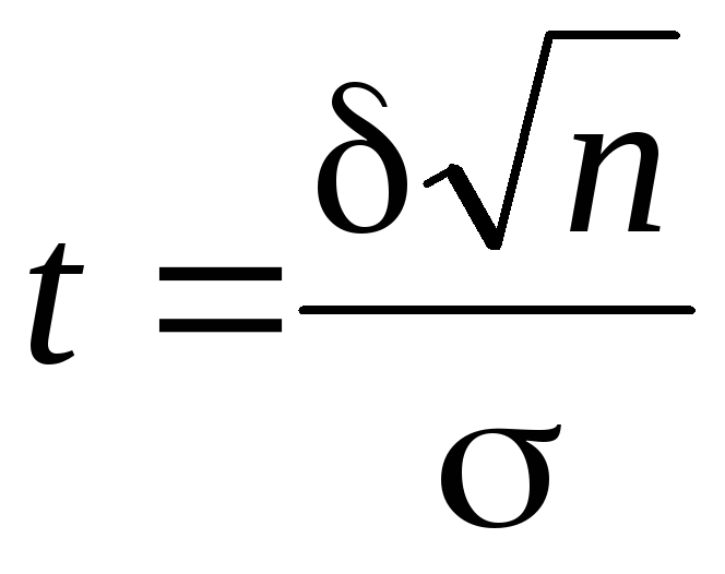
При
этом число
определяется из равенства
или
c
использованием таблицы значений функции
Лапласа
(прил. 2). Например, при
(использовать
в лабораторной работе), при
.
При выводе выражения (11) предполагалось, что точно известно значение дисперсии изучаемого признака, однако в большинстве случаев это не выполняется. Поэтому при расчетах используют в качестве ее оценки исправленную выборочную дисперсию, и выражение (12) переписывают [2]