-
МИНИСТЕРСТВО ТРАНСПОРТА РОССИЙСКОЙ ФЕДЕРАЦИИ
ФЕДЕРАЛЬНОЕ ГОСУДАРСТВЕННОЕ БЮДЖЕТНОЕ ОБРАЗОВАТЕЛЬНОЕ УЧРЕЖДЕНИЕ ВЫСШЕГО ОБРАЗОВАНИЯ
«УЛЬЯНОВСКИЙ ИНСТИТУТ ГРАЖДАНСКОЙ АВИАЦИИ
ИМЕНИ ГЛАВНОГО МАРШАЛА АВАИАЦИИ Б.П. БУГАЕВА»
Кафедра естественнонаучных дисциплин

Учебно-методическое пособие
по выполнению лабораторной работы
по дисциплинам «Математика» и «Высшая математика»
по разделу «Математическая статистика»
Ульяновск 2017
УДК 519.2
ББК В1я7 (Проверить ББК)?
М34
Статистическая обработка одномерной выборке: учебно-методическое пособие по выполнению лабораторной работы по дисциплинам «Математика» и «Высшая математика»: / О.Е. Кочеткова, А.В. Синдяев. - Ульяновск: УИ ГА, 2017. - с.
Содержат основные теоретические сведения, порядок выполнения лабораторной работы с использованием компьютерного пакета Microsoft Excel и варианты заданий. Даются рекомендации по оформлению отчёта о проделанной работе и вопросы для самопроверки.
Разработано в соответствии с Федеральным государственным образовательным стандартом и рабочими программами учебных дисциплин «Математика», «Высшая математика».
Предназначено для курсантов изучающих раздел «Математическая статистика».
Введение…………………………………………….
1. Основные теоретические сведения…………………………..
2. Задание и варианты лабораторной работы………………...
3. Указания к выполнению лабораторной работы…………………
4. Контрольные вопросы………………………………………...
5. Библиографический список……………………………………
6. Приложения
Введение
Данное учебно-методическое пособие представляет собой руководство к выполнению лабораторной работы по математической статистике «Статистическая обработка одномерной выборки».
В первой части пособия содержаться необходимые теоретические сведения, содержащие основные определения, свойства, формулы и рисунки.
Во второй части пособия содержатся задание и варианты для выполнения лабораторной работы.
Третья часть представляет собой указания по выполнению лабораторной работы на компьютере c использованием программы Microsoft Excel. Здесь подробно разобраны все действия по шагам, которые осуществляются для выполнения лабораторной работы. Показано, как составляются электронные таблицы, каким образом вводятся необходимые формулы и получаются новые столбцы электронной таблицы. Описывается построение необходимых графиков. Использование программы Excel позволяет эффективно обрабатывать большой объём статистических данных.
В приложении даны виды теоретических распределений случайных величин, используемых в лабораторной работе, формулы для расчёта основных числовых характеристик, некоторые статистические таблицы и образцы ввода формул в программе Microsoft Excel.
ОСНОВНЫЕ ТЕОРЕТИЧЕСКИЕ СВЕДЕНИЯ
Вариационный ряд, гистограмма, полигон и группированная выборка.
Установление статистических закономерностей, присущих массовым случайным явлениям, основано на изучении статистических данных - сведений о том, какие значения принял в результате наблюдений интересующий нас признак [1].
Качественные признаки - это признаки, не имеющие количественного выражения. Это неизмеряемые признаки. Пример: тип самолёта, тип топлива, тип двигателя.
Количественные признаки - это измеряемые признаки, выражаемые определенным числом. Пример: вес, длина, плотность, температура.
Часто эксперимент представляет собой черный ящик, выдающий лишь некие результаты, по которым требуется сделать вывод о свойствах самого эксперимента. Наблюдатель имеет набор числовых (или их можно сделать числовыми) результатов, полученных повторением одного и того же случайного эксперимента в одинаковых условиях.
При этом возникают, например, следующие вопросы: Если мы наблюдаем одну случайную величину — как по набору ее значений в нескольких опытах сделать как можно более точный вывод о ее распределении?
Примером
такой серии экспериментов может служить
измерение диаметра и высоты цилиндра
в лабораторной работе по физике. Эти
измерения проводятся многократно для
одного и того же цилиндра. В итоге
получается разброс случайной величины
– диаметра и высоты вокруг их среднего
значения, которое наиболее близко к
истинному значению. Если по оси абсцисс
откладывать измеренные значения
,
а по оси ординат откладывать количество
измерений, соответствующих одному и
тому же
,
то получится нормальное распределение.
Пусть требуется изучить совокупность однородных объектов относительно некоторого качественного или количественного признака, характеризующего эти объекты [2]. Например, если имеется партия авиационных двигателей, то качественным признаком может служить работоспособность этих двигателей, а количественным – контролируемая максимальная мощность двигателя.
Лучше всего провести сплошное обследование, т.е. изучить каждый объект, но это не всегда возможно из-за большого числа объектов, их недоступности, больших материальных затрат и т.д. В таких случаях отбирают из всей совокупности ограниченное число объектов и подвергают их изучению.
Генеральной совокупностью называют совокупность всех объектов, подлежащих изучению.
Выборочной совокупностью или просто выборкой называют совокупность объектов, случайно отобранных из генеральной совокупности для изучения.
Объемом совокупности (генеральной или выборочной) называют число объектов этой совокупности.
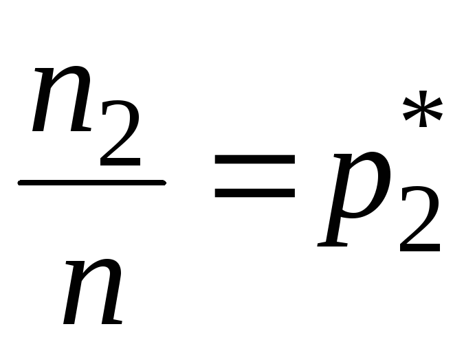
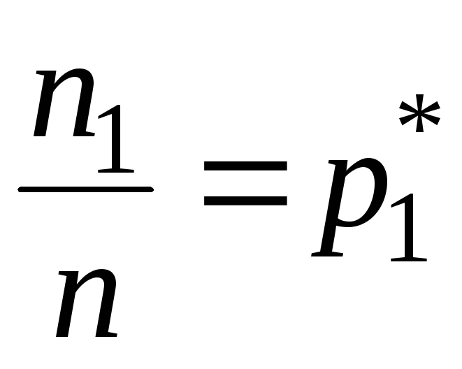
Пусть
из генеральной совокупности извлечена
выборка, причем значение
наблюдается
раз,
–
раз,
–
раз. Сумма всех этих значений:
,
где
– объем выборки или объём совокупности.
Наблюдаемые
значения
называются вариантами, а последовательность
вариант, записанных в возрастающем по
величине порядке – вариационным
рядом.
Числа
называют частотами,
а их отношения к объему выборки
,
,…,
– относительными частотами вариант.
Статистическим распределением выборки называют перечень вариант и соответствующих им частот или (чаще) относительных частот. Статистическое распределение обычно задается в виде таблицы (табл. 1)
Таблица 1
|
|
|
|
… |
|
|
|
|
|
… |
|
|
|
|
|
… |
|
|
|
|
|
… |
|
При
больших объемах выборки статистическое
распределение можно (а часто необходимо)
задать в виде последовательности
полуинтервалов
и соответствующих им частот, которые в
отличие от вариационного ряда обозначаются
уже не
,
а
.
В
качестве частоты
,
соответствующей полуинтервалу, принимают
количество вариант, попавших в этот
полуинтервал от
до
.
В результате получают таблицу (табл.
2), называемую группированной выборкой
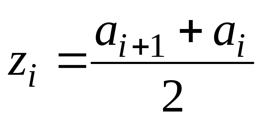
[3]. В дальнейшем при ее обработке находят
представители интервалов
,
относительные частоты
и плотности относительных частот
.
После заполнения группированной выборки
следует проверить равенства
,
где
– число интервалов
Таблица 2
Группированная выборка
|
Номер интер- вала |
Первая граница интервала
|
Вторая граница интервала
|
Частоты
|
Представи-тель
интер-вала
|
Относитель- ная частота
|
Плотность относитель- ной частоты
|
|
1. |
|
|
|
|
|
|
|
… |
… |
|
… |
… |
… |
… |
|
8. |
|
|
|
|
|
|
Количество интервалов может быть подсчитано [1] по формуле Стерджеса:
![]()
При объеме выборки порядка 100 следует взять 7-10 интервалов.
Для графического изображения статистического распределения используются гистограмма и полигон.
Полигоном
частот
(или
относительных частот) называют ломаную,
отрезки которой соединяют точки
(или
).
При этом на оси абсцисс (рис. 1) откладываются
варианты
, а на оси ординат – частоты
(или
).

Гистограммой
называют совокупность прямоугольников,
основаниями которых служат интервалы
,
а высоты равны соответствующим плотностям
относительных частот
(рис. 2). Площадь
– го частичного прямоугольника равна
– относительной частоте вариант,
попавших в
-й
интервал. Следовательно, общая площадь
гистограммы равна единице.

Полигоном группированной выборки называют ломаную, отрезки которой соединяют середины верхних сторон частичных прямоугольников.
По виду гистограммы и полигона можно составить представление о законе распределения изучаемого признака. Проверка таких предположений будет рассмотрена ниже. В прил. 1 приведены основные законы распределения случайных величин и типичные гистограммы, и полигоны, получающиеся при этих распределениях.