Материал: Laboratorny_praktikum_po_TOE_2017_zerkalny

Внимание! Если размещение файла нарушает Ваши авторские права, то обязательно сообщите нам

 

 

Л1

 

A

I A

 

 

 

 

Л2

 

B

IB

O

UCA

 

 

 

 

1

 

 

 

C

C, c

C

IC

 

 

 

 

 

а

 

 

 

 

Рис. 10.2

U AO

 

 

 

A

I A

a

 

 

 

Iab

 

 

 

Zab

 

UBO

 

 

 

B

IB

b

Zca

O

 

 

 

 

Ibc

 

 

 

Zbc

Ica

 

 

 

UCO

 

 

 

C IC c

а

Рис. 10.3

A, a

 

 

U AO

U AO

 

1

 

U AB

O

I A

UCO

 

IB U BO1

UBO

UCO1

O1

 

UBC

B, b

 

IC

I A

б

I A

Iab Ica

UCA A, a U AB

Ibc

 

C, c B, b

Ibc

IC

Ica

UBC

Iab

 

 

IB

 

 

 

 

 

 

б

На рис. 10.3, а изображена схема трехфазной цепи, у которой приемник

соединен

треугольником. Фазные

токи приемника

Iab YabUab ,

Ibc

YbcUbc ,

Ica YcaUca . Линейные

токи I A Iab Ica ,

IB Ibc Iab ,

IC

61

Ica Ibc . При симметричных источнике и приемнике линейные и фазные

токи связаны соотношением Iл

 

 

 

3Iф .

 

Режим работы фаз приемника является независимым, так как напряже-

ния фаз приемника определяются линейными напряжениями

источника:

Uл Uф . ВД для случая

несимметричной активной

нагрузки

2Rab Rbc Rca представлена на рис. 10.3, б.

10.2.Экспериментальное исследование соединения звездой

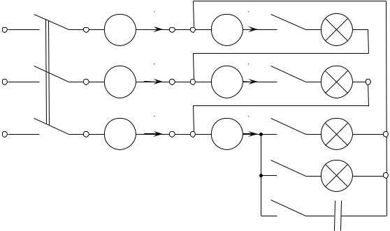
Вработе используют плату (рис. 10.4), на которой расположены амперметры A, ключи S1…S5, нагрузка фаз – лампы накаливания Л1…Л4 и конденсатор C, а также пакетный переключатель S6 для подачи питания от трехфазного источника.

10.2.1.Определение порядка следования фаз

Перед исследованием соединения звездой соберите схему, изображенную на рис. 10.4, и измерьте линейные напряжения U AB , UBC , UCA . ИЗМЕНЕНИЯ В СХЕМЕ В КАЖДОМ ПУНКТЕ ИССЛЕДОВАНИЙ ПРОИЗВОДИТЕ ПРИ ОТКЛЮЧЕННОМ ПИТАНИИ!

A

S6

A

I A

 

a

S1

Л1

 

 

 

 

 

 

A

 

 

 

A

 

B

 

B

IB

 

b

S2

Л2

 

 

 

O1

 

 

A

 

 

 

A

C

 

C

IC

 

c

S3

Л3

 

 

 

 

 

 

A

 

 

 

A

 

O

 

 

 

O

 

S4

Л4

 

 

 

 

 

 

 

 

A

 

 

 

 

 

 

 

 

 

 

 

S5

C

 

 

 

 

 

 

 

Рис. 10.4

62

Используя лампы Л1, Л2 и конденсатор C, соберите схему, изображенную на рис. 10.2, а, для чего замкните ключи S1, S2, S5 и разомкните S3, S4 в схеме на рис. 10.4. В этом и каждом последующем пунктах исследований измерьте величины, указанные в табл. 10.1.

 

 

 

 

 

 

Таблица 10.1

Номер

U AO1 , В

UBO1 , В

UCO1 , В

UOO1 , В

I A , мА

IB , мА

IC , мА

пункта

 

 

 

 

 

 

 

 

На основе результатов измерений начертите в масштабе ВД исследуемой цепи, учитывая, что диаграмма линейных напряжений представляет собой треугольник, построенный по трем сторонам (см. рис. 10.2, б). Положение точки O1 определите как центр криволинейного треугольника, полученного пересечением окружностей радиусов U AO1 , UBO1 , UCO1 , проведенных

из вершин треугольника линейных напряжений. Затем изобразите ВД токов, учитывая, что в фазах A и B нагрузка активна, а в фазе C ток опережает напряжение на 90°. Вопрос 1. Сформулируйте критерии проверки полученных данных. Соответствует ли ВД первому закону Кирхгофа?

10.2.2. Исследование соединения звездой без нулевого провода

Проделайте следующие опыты:

1. Одинаковая нагрузка фаз.

Включите лампы Л1, Л2, Л3. По результатам измерений постройте ВД. Вопрос 2. Соответствует ли ВД симметричному приемнику как в отношении расположения точки O1 , так и в отношении изображенных векторов напряжений и токов?

2. Неодинаковая нагрузка фаз.

Включите лампы Л1, Л2, а в фазу C – Л3 и Л4.

При анализе ВД, построенных по результатам измерений в этом и по-

следующих пунктах в 10.2 и 10.3, сформулируйте в каждом пункте вопросы,

аналогичные указанным ранее, и приведите ответы на них.

3. Обрыв фазы B.

Включите только лампы Л1 в фазу A и Л3 в фазу C.

4.Обрыв фазы B при резистивно-емкостной нагрузке в других фазах.

Включите лампу Л1 в фазу A, а в фазу C – только конденсатор.

5.Обрыв фаз B и C.

Включите только лампу Л1 в фазу A.

63

6. Короткое замыкание фазы A.

Вначале (!) включите лампы Л2 и Л3, а затем (!) в фазе A соедините накоротко точки a и O1 . По окончании опыта отключите (!) короткозамкнутый провод.

10.2.3. Исследование соединения звездой с нулевым проводом

Проделайте следующие опыты:

1. Неодинаковая нагрузка фаз.

Включите лампы Л1, Л2, а в фазу C – Л3 и Л4.

Замкните накоротко точки O1 и O. Записав результаты измерений в табл. 10.1, зафиксируйте ток нулевого провода I0 .

2. Обрыв фазы B.

Включите лампы Л1, Л3 при замкнутых накоротко точках O1 и O. Аналогично предыдущему опыту измерьте и зафиксируйте I0 . После проведения опыта нулевой провод обязательно отключите (!).

10.3. Экспериментальное исследование соединения треугольником

Соберите схему, изображенную на рис. 10.5.

A

S6

A

I A

a

S1

Л1

 

Iab

 

 

 

 

A

 

A

 

B

 

B

IB

b

S2

Л2

 

Ibc

 

 

 

 

A

 

A

 

C

 

C

IC

c

S3

Л3

 

Ica

 

 

 

 

A

 

A

 

 

 

 

 

 

S4

Л4

 

 

 

 

 

S5

C

Рис. 10.5

64

Обратите внимание на расположение амперметров для измерения линейных токов I A , IB , IC и фазных токов Iab , Ibc , Ica . Перед исследованием соединения измерьте линейные напряжения U AB , UBC , UCA .

10.3.1.Одинаковая нагрузка фаз

Вфазу ab включите лампу Л1, в фазу bc – Л2, в фазу ca – Л3. В этом и каждом последующем пунктах исследования измерьте величины, указанные

втабл. 10.2.

 

 

 

 

 

 

Таблица 10.2

Номер

I A , мА

IB , мА

IC , мА

Iab , мА

Ibc , мА

Ica , мА

пункта

 

 

 

 

 

 

 

 

 

 

 

 

 

По результатам измерений подобно рис. 10.3, б постройте в масштабе ВД напряжений и токов.

10.3.2. Неодинаковая нагрузка фаз

Проделайте следующие опыты:

1.Неодинаковая резистивная нагрузка фаз.

Включите лампы Л1 и Л2, а в фазу ca – Л3 и Л4.

2.Резистивно-емкостная нагрузка фаз.

Включите лампы Л1, Л2, а в фазу ca – конденсатор.

3. Обрыв фазы ab.

Включите только лампы Л2 и Л3.

4. Обрыв фаз ab и bc.

Оставьте включенной только лампу Л3.

10.3.3. Обрыв линейного провода фазы A

Проделайте следующие опыты:

1. Обрыв линейного провода фазы A при одинаковой нагрузке фаз приемника.

Включите лампы Л1, Л2, Л3 и оборвите линейный провод Aa. Заполнив табл. 10.2, измерьте напряжение U Aa в месте обрыва, а также фазные напряжения приемника Uab , Ubc , Uca . На ВД укажите положение точки a.

2. Обрыв линейного провода фазы A при резистивно-емкостной нагрузке фаз приемника.

65