Для
переходу від закономірностей поводження
окремих частинок (координат, проекцій
імпульсу, енергії, швидкостей і т.д.) до
статистичних закономірностей поводження
системи в цілому, необхідно вміти
знаходити середні характеристики
окремих частинок. Термодинамічні
параметри колективу виражаються через
усереднені характеристика окремих
частинок. Знайдемо правило такого
усереднення на прикладі знаходження
середньої енергії
поступального руху молекул ідеального
газу.
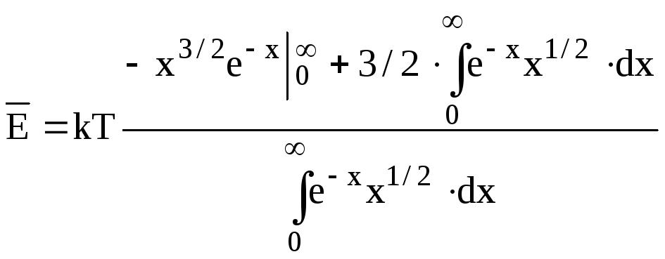
Добуток ЕdN(E) = Eg(E)f(E)dE дає енергію всіх частинок в інтервалі енергій від Е до Е+dE. Тоді очевидно, що інтеграл від цього добутку в межах від 0 до ∞ дасть енергію всіх N частинок. Враховуючи умову (2.8) нормування повної статистичної функції розподілу і означення середнього арифметичного, одержуємо
. (2.14)
Після підстановки виразів (2.6) і (2.7) маємо
.
Виконємо заміни Е=kTx, a dE=kTdx . Одержуємо
.
Чисельник інтегруємо по частинам,
прийнявши
.
.
Перший доданок в чисельнику після підстановки меж інтегрування дає нуль. Після скорочення інтегралів одержуємо відому із молекулярно-кінетичної теорії формулу для середньої енергії
.
Аналогічно правилу (2.14) знаходяться середні значення інших фізичних величин, наприклад середньої квадратичної швидкості
,
(2.15)
середнього імпульсу
і
т.д. (2.16)
До теплових властивостей відносяться: теплоємність, теплове розширення, теплопровідність. Розглянемо кожне із цих явищ.
Молярною теплоємністю називається кількість теплоти, яку необхідно передати 1 молю речовини, щоб температура збільшилась на 1К. Передану теплоту поглинають молекули і атоми, тобто відбувається зміна внутрішньої енергії Uм за рахунок теплопередачі. Отже молярна теплоємність знаходиться за формулою
, (3.1)
де Uм – внутрішня енергія 1 моля твердого тіла.
В молекулярно-кінетичній теорії було введене поняття степеней вільності і встановлено, що N – атомна молекула має 3 поступальних, 3 обертальних і 3N-6 коливальних степенем вільності. Розглядаючи властивості твердих тіл ми маємо системами з величезною кількістю частинок. Так в 1 см3 металу міститься приблизно 1022 атомів. Тому коливальних степеней вільності 31022-6 набагато більше, ніж поступальних і обертальних, якими можна знехтувати. Таким чином класична теорія теплоємності розглядає тверде тіло як систему з 3N коливальними степенями вільності, на кожну з яких, згідно з відомим законом про рівномірний розподіл енергії по степеням вільності, припадає енергія kT. Тоді внутрішня енергія 1 моля твердого тіла
, (3.2)
де NА –число Авогадро, k – стала Больцмана, NА k = R – газова стала.
Із (3.1) і (3.2) одержуємо
, (3.3)
щ
о
молярна теплоємність твердих тіл не
залежить від температури і для всіх тіл
однакова. Цей закон був на початку 1819
році експериментально встановлений
при високих температурах французькими
вченими Дюлонгом і Пті. При зменшенні
температури, як показали експерименти,
теплоємність зменшується до нуля
пропорційно Т3
(рис.3.1).
Причому це зменшення починалось для
різних речовин при різній характерній
температурі, яка була названа температурою
Дебая в честь німецького фізика П.Дебая
(1884-1966), який
розробив
квантову теорію теплоємності, що не
суперечить експериментові. Розглянемо
цю теорію в наступних двох параграфах.
За
рахунок теплової енергії атоми кристалу
здійснюють коливання навколо свого
положення рівноваги. Причому за рахунок
сил зв’язку між атомами коливання
передаються від одного атома до іншого.
Таким чином цей колективний рух атомів
охоплює увесь кристал у вигляді пружних
коливань різних частот і довжин хвиль.
Знайдемо частоти і довжини хвиль цих
нормальних
коливань.
Розглянемо
одномірний ланцюг довжиною L
із N
атомів, відстань між якими а.
Вияснимо, які довжини хвиль можуть в
ньому виникати. Як видно з рис.3.2 можливий
цілий набір довжин хвиль від 2L
до 2L/N,
причому існує мінімальне значення λmin
= 2L/N
= 2а. Цій
мінімальній
довжині хвилі
відповідає
максимальна циклічна частота коливань,
яка названа частотою Дебая,
. (3.4)
У формулу (3.4) входять характерні для кожної речовини величини: міжатомна відстань а і швидкість поширення пружних коливань, тобто швидкість звуку υ. Тому для кожної речовини частота Дебая різна і являється її характерним параметром. Наприклад, для міді а=3,610-10м, υ = 3550 м/с, ωD = 31013 Гц.
Для більш наглядної оцінки частоти Дебая вводиться характерна температура Дебая θD, при якій теплова енергія kθD дорівнює енергії коливань ћωD, тобто
, (3.5)
де
-
стала Планка.
Виходячи із означення, слід відмітити, що температура Дебая це така температура, вище якої в кристалі збуджуються всі можливі частоти коливань. При менших температурах теплового збудження зазнають низькочастотні коливання, а високочастотні ні. По мірі зростання температури частотна межа збуджених і не збуджених коливань зростає, наближаючись до свого граничного значення – частоти Дебая. Таким чином температура Дебая поділяє температурну шкалу на область низьких (Т<<θD) і високих (Т>>θD) температур, в яких властивості речовин суттєво різні. В табл.3.1 приведені значення температури Дебая для деяких речовин.
Табл.3.1
|
Речовина |
Fe |
Al |
Sі |
Ge |
|
θD, К |
467 |
418 |
658 |
366 |
При певній температурі в кристалі збуджуються коливання з різними частотами і енергіями. Порція (квант) енергії ћω, на яку змінюється енергія нормальних коливань кристалічної гратки називається фононом. Це квазічастинки введені для спрощення фізичної моделі твердого тіла. По фононній моделі тверде тіло розглядається як посудина, обмежена поверхнею кристалу і заповнена фононним газом, який має бозонні властивості. Спін фононів дорівнює нулю. Це дає можливість застосувати до твердого тіла математичний апарат фізичної статистики з використанням функції розподілу Бозе-Ейнштейна
. (3.6)
Густина квантових станів для фононів, як функція циклічної частоти, має вигляд
. (3.7)
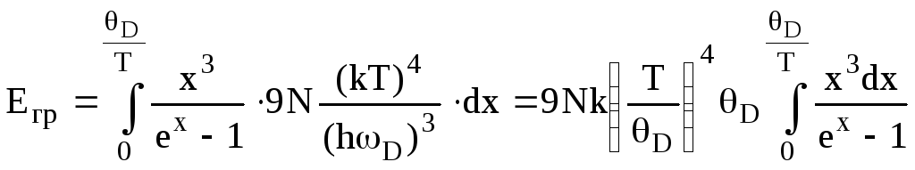
Квантова теорія теплоємності твердих тіл була розроблена у 1912 році німецьким фізиком Дебаєм в рамках фононної моделі твердого тіла. Термодинамічна енергія кристалу складається із енергії нормальних коливань. Знайдемо коливальну енергію Егр кристалічної гратки як енергію усіх фононів із врахуванням розподілу по частотам (енергіям), аналогічно, як це робилося в розділі 2.5 (див. чисельник формули (2.14))
. (3.8)
Підставимо в (3.8) вирази (3.6) і (3.7), а також замінимо верхню межу інтегрування з ∞ на ωD, так як більшої частоти коливань у кристалі не виникає. Одержимо
. (3.9)
Для взяття інтегралу виконаємо такі заміни:

Після
підстановок і спрощень, враховуючи, що
,
одержуємо
.
(3.10)
Інтеграл
(3.10) і молярну теплоємність знайдемо
для двох температурних інтервалів,
врахувавши, що N=NA,
а
.
Область
високих температур
Т>>θD.
Для таких
температур
ћω<<kT,
тобто
x<<1,
внаслідок чого в степеневому ряді
можна
обмежитись першими двома членами, так
як наступні набагато менші від них. Тоді
енергія гратки
, (3.11)
а молярна теплоємність
. (3.12)
Таким чином, в області високих температур теорія Дебая дає відомий закон Дюлонга і Пті.
Область
низьких температур
Т<<θD.
Для таких температур верхню межу
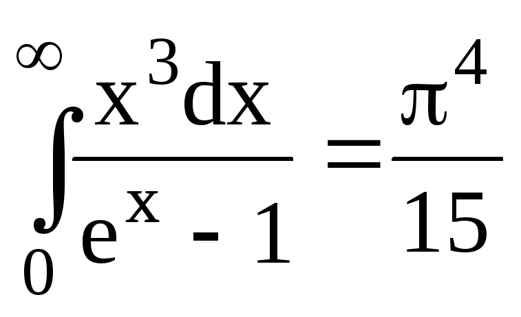
інтеграла (3.10) можна замінити нескінченністю.
Враховуючи, що
є табличним, одержуємо
і
. (3.13)
В області низьких температур молярна теплоємність пропорційна кубу абсолютної температури (3.13). Це закон Дебая (див. рис.3.1), який добре узгоджується з експериментом .