95
С учетом этих обозначений эквивалентную схему можно упростить (рис. 9.4).
Rс
|
|
|
|
|
|
|
|
|
|
|
|
|
|
|
|
|
|
|
|
|
|
|
|
|
Rэкв |
|
|
|
|||
|
Ес |
|
|
Cвх |
|
|
|
|
|
|
|||||
|
|
|
|
|
|
|
|
|
|||||||
|
|
|
|
|
|
|
|
|
|||||||
|
|
|
|
|
|
|
|
|
|
|
Uвых |
Cвых |
|||
|
|
Uвх |
|
SUвх |
|
|
|
|
|
|
|||||
|
|
|
|
|
|
|
|
|
|
|
|
|
|
|
|
|
|
|
|
|
|
|
|
|
|
|
|
|
|
|
|
Рис. 9.4 Эквивалентная схема каскада сОИ для ВЧ
Эквивалентное сопротивление выходной цепи каскада
Z |
|
р R |
|
1 |
|
Rэкв |
, |
(9.8) |
|
рСвых |
|
||||||
|
экв |
экв |
|
1 р вых |
|
|||
где вых RэквСвых – постоянная времени выходной цепи. Коэффициент усиления каскада по напряжению в области
верхних частот
Кв |
р |
Uвых р |
SZэкв р |
SRэкв |
|
|
К0 |
. (9.9) |
|
1 р вых |
|
||||||
|
|
Uвх |
|
1 р вых |
||||
Если внутреннее сопротивление источника сигнала не равно нулю, существенное влияние на свойства каскада в области верхних частот может оказать входная емкость Свх . Входное сопротивление каскада уже не равно бесконечности, образуется делитель напряжения во входной цепи и входное напряжение оказывается меньшим ЭДС источника сигнала.
Коэффициент передачи входной цепи каскада
1
|
Квх р |
Uвх р |
|
|
рСвх |
|
|
1 |
, |
(9.10) |
|||
|
|
|
|
|
|
||||||||
|
|
Ес |
Rс |
|
1 |
|
|
|
1 р вх |
|
|
||
|
|
рСвх |
|
|
|
||||||||
|
|
|
|
|
|
|
|
|
|||||
где вх |
RсСвх – постоянная времени входной цепи. |
|
|||||||||||
Суммарное влияние емкостей Свх |
|
и Свых |
отражают сле- |
||||||||||
дующие соотношения: |
|
|
|
|
|
|
|
|
|
|
|||
96
Кев |
р |
Uвых р |
Квх р Кв |
р |
|
К0 |
|
|
; |
||||||||
|
|
1 р вх 1 р вых |
|||||||||||||||
|
|
Ес |
|
|
|
|
|
|
|
||||||||
|
|
Мв |
|
|
|
|
; |
|
|
||||||||
|
|
1 вх 2 |
1 вых 2 |
(9.11) |
|||||||||||||
|
|
в arctg вх arctg вых ; |
(9.12) |
||||||||||||||
|
tф |
tфвх2 |
tфвых2 |
|
2,2 вх 2 |
2,2 вых 2 |
. |
(9.13) |
|||||||||
Если постоянные времени вх и вых существенно отличаются (в пять раз и более), при оценке частотных, фазовых или переходных искажений по формулам (9.11), (9.12) и (9.13) достаточно учесть большую из них.
9.3 Каскад с последовательной ООС по току
При отключении конденсатора С3 в рассматриваемом каскаде действует последовательная ООС по току за счет резистора R3. Усиливаемое транзистором напряжение uЗИ определяется как разность входного напряжения и сигнала обратной связи UОС, формируемого за счет протекания по R3 переменной составляющей тока стока. Расчетная схема такого усилителя для области средних частот приведена на рис. 9.5, а, эквивалентная схема выходной цепи – на рис. 9.5, б. Выходная цепь полевого транзистора представлена в виде генератора напряжения μuЗИ с внутренним сопротивлением Ri (см. рис. 3.12, б).
Е |
iС |
С
R~
μuЗИ
|
|
|
|
|
|
|
VT1 |
|
|
|
|
Ri |
|
R~ |
|
|
Uвых |
||||
|
|
|
|
|
|
|
|
|
|
|
|
|
|
||||||||
|
|
|
|
|
|
||||||||||||||||
|
|
|
|
|
|
|
|
|
Uвых |
||||||||||||
|
|
|
|
|
|
|
|
|
|
|
|
|
|
|
|
|
|
|
|
||
|
Uвх |
|
|
|
|
|
|
|
И |
|
|
|
|
|
|
|
|
|
|||
|
|
|
|
|
|
|
|
|
|
|
|
|
|
|
|
|
|||||
|
|
|
|
|
|
|
|
|
|
|
|
|
|
||||||||
|
|
|
|
|
|
|
R3 UОС |
|
|
|
|
R3 |
UОС |
|
|
|
|||||
|
|
|
|
|
|
|
|
|
|
|
|
|
|
||||||||
|
|
|
|
|
|
|
|
|
|
|
|
|
|
|
|
|
|
||||
|
|
|
|
|
|
|
|
|
|
|
|
|
|
||||||||
|
|
|
|
|
|
|
|
|
|
|
|
|
|
|
|
|
|
|
|
|
|
|
|
|
|
|
|
|
|
|
а |
|
|
|
|
|
|
|
|
|
б |
||
|
|
|
|
|
|
|
|
|
|
|
|
|
|
|
|
|
|||||
|
|
|
|
|
|
|
|
|
|
|
|
|
|
|
|
|
|||||
Рис. 9.5 |
Усилительный каскад с последовательной ООС по току |
||||||||||||||||||||
97
Работу усилительного каскада с ООС описывает следующая система уравнений:
Uвх 1 uЗИ μ |
|
|
|
|
uЗИ Uвх UОС; |
||||||||||
μuЗИ |
|
|
|
|
|
|
|||||||||
|
|
|
|
|
|
|
|
|
|
UОС |
iСR3; |
|
|
||
|
|
|
|
|
|
|
1 |
|
|
|
|
uЗИ |
|
; (9.14) |
|
|
–1 |
|
i |
|
|||||||||||
|
|
|
Ri R~ R3 |
||||||||||||
|
|
|
R3 |
|
|
|
С |
|
Ri R~ R3 |
||||||
|
|
|
|
|
|
|
iC |
|
|
|
|||||
|
|
|
|
|
|
|
|
|
|||||||
|
UОС |
|
|
|
|
iСR~. |
|
|
|||||||
|
|
–R~ |
Uвых |
|
|
||||||||||
|
|
|
|
|
|
|
|
Эту систему уравнений |
|||||||
|
|
|
|
|
|
|
|
|
|
|
|||||
|
|
|
|
|
|
Uвых |
наглядно |
отражает |
сигналь- |
||||||
|
|
|
|
|
|
ный |
граф, представленный |
||||||||
|
|
|
|
|
|
|
|
|
|
||||||
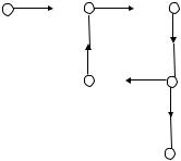
Рис. 9.6 Сигнальный граф каскада |
на рис. 9.6. |
|
|
||||||||||||
|
Сигнальным |
|
графом |
||||||||||||
|
с обратной связью |
|
|
||||||||||||
|
называют |
совокупность уз- |
|||||||||||||
|
|
|
|
|
|
|
|
|
|
||||||
лов и соединяющих их ветвей, стрелки на которых указывают направление передачи сигнала от одного узла к другому. Узлами обычно являются токи или напряжения исследуемых электрических цепей. Каждая ветвь характеризуется величиной передачи, под которой понимают отношение выходной величины ко входной. Сигнальный граф цепи заключает в себе ту же информацию, что и система уравнений. Только эта информация выражена графически. Преобразованию системы уравнений соответствуют эквивалентные преобразования сигнального графа. В частности, передачи последовательно соединенных ветвей графа перемножаются, а параллельно соединенных – суммируются. На графе
виден контур ООС с петлевым усилением Т |
|
R3 |
. |
Ri |
|
||
|
R~ R3 |
||
Коэффициент передачи такого графа определяется выраже-
нием
|
|
|
|
|
К |
ОС |
|
U |
вых |
|
Кпр |
, |
|
|
|
|
|
|
|
1 Т |
|||||
|
|
R~ |
|
|
Uвх |
|
||||||
где Кпр |
|
– прямая передача графа от Uвх к Uвых, по- |
||||||||||
R R |
R3 |
|
||||||||||
|
i |
~ |
|
|
|
|
|
|
|
|
|
|
лученная перемножением коэффициентов передачи отдельных ветвей прямого пути от узла Uвх к узлу Uвых.
Таким образом, коэффициент усиления по напряжению кас-
98
када с ООС определится выражением
КОС |
R~ Ri R~ R3 |
|
|
|
R~ |
, (9.15) |
|||||
1 R3 |
R R |
R3 |
|
R R |
|
R31 |
|||||
|
|
i |
~ |
|
|
|
i |
~ |
|
|
|
где SRi – статический коэффициент усиления полевого транзистора по напряжению;
R~ R2
RН – сопротивление выходной цепи каскада пере-
менному току.
В каскаде без обратной связи коэффициент усиления равен
К |
0 |
|
Uвых |
SR |
|
R~ |
. |
(9.16) |
||
|
|
|||||||||
|
|
U |
|
экв |
|
R R |
|
|||
|
|
|
|
вх |
|
i |
~ |
|
|
|
Сравнение выражений (9.15) и (9.16) показывает, что усиление при введении ООС уменьшается в А раз, где
А |
К0 |
|
R~ Ri R31 |
– глубина обратной связи. |
КОС |
|
|||
|
|
R~ Ri |
||
(9.17)
Рассмотрим влияние элементов R3,C3 на коэффициент усиления каскада (см. рис. 9.1) в области нижних частот. Для этого воспользуемся выражением (9.15), заменив в нем R3 на
Z3 р R3 |
|
1 |
|
|
R3 |
, где 3 С3R3. |
|
|
|
|
|
|
|||||
рС3 |
|
|
|
|
|
|
|
|
|||||||||
|
|
|
1 р 3 |
|
|
|
|
|
|
|
|
|
|||||
Выполнив эту подстановку, получим |
|
|
1 |
|
|
|
|||||||||||
|
|
|
|
|
|
|
|
|
|
|
|
1 |
|
|
|
||
|
|
|
|
|
|
|
|
|
|
|
|
р 3 |
|
|
|||
|
|
|
|
|
|
|
|
|
|
|
К р К0 |
|
. (9.18) |
||||
|
|
|
|
|
|
|
|
|
|
|
|
|
|||||
|
|
|
|
|
|
|
|
|
|
|
|
1 |
А |
|
|
||
К,дБ |
|
|
|
|
|
|
р 3 |
|
|||||||||
|
|
|
|
|
|
|
|
|
|||||||||
К0 |
|
|
|
|
|
ЛАЧХ, |
соответст- |
||||||||||
|
|
|
|
|
вующая |
|
передаточной |
||||||||||
|
|
|
|
|
|
||||||||||||
|
|
|
|
|
|
|
|
|
|
|
функции |
(9.18), построена |
|||||
|
|
|
|
|
|
|
|
|
|
|
на рис. 9.7. В области сред- |
||||||
КОС |
|
|
|
|
|
|
|
них частот (выше А 3 ) |
|||||||||
|
|
|
|
|
|
||||||||||||
|
|
|
|
|
|
|
|
|
|
|
коэффициент |
передачи |
|||||
|
|
1 3 |
|
А 3 |
ω |
каскада |
стремится к |
К0. |
|||||||||
|
|
|
Ниже частоты А 3 |
ко- |
|||||||||||||
Рис. 9.7 ЛАЧХ каскада (рис. 9.1), |
|||||||||||||||||
учитывающая влияние цепочки С3R3 |
эффициент усиления пада- |
||||||||||||||||
99
ет за счет действия ООС, стремясь на очень низких частотах (ниже 1
3 ) к значению КОС.
Вносимые конденсатором С3 частотные искажения обусловлены в первом приближении постоянной времени 3
А (см.
рис. 9.7):
|
|
|
|
А |
2 |
|
М |
3 |
1 |
|
. |
(9.19) |
|
|
||||||
|
|
|
3 |
|
|
|
|
|
|
|
|
|
Из соотношения (9.19) можно получить выражение для расчета емкости конденсатора С3 по допустимой величине коэффициента частотных искажений М3 на нижней рабочей частоте fн:
С3 |
А |
(9.20) |
. |
2 fнR3
М32 1
Суммарное влияние конденсаторов С1, С2 и С3 на спад вершины импульса длительностью tи определяется соотношением
|
tи |
|
tи |
|
tи А |
, |
(9.21) |
1 |
2 |
|
|||||
|
|
|
3 |
|
|||
где 1 С1 R1 Rс , 2 С2 RН R2
Ri .
Результирующий коэффициент частотных искажений на нижних частотах за счет этих конденсаторов можно оценить по формуле
|
|
|
|
|
|
|
|
|
|
|
|
|
А |
|
2 |
|
М |
|
|
|
1 |
|
|
|
|
1 |
|
|
|
||||
н |
1 |
|
|
|
1 |
|
|
1 |
|
. |
(9.22) |
|||||
|
2 |
2 |
|
|||||||||||||
|
|
|
1 |
|
|
|
|
|
|
|
|
|
|
|||
|
|
|
|
|
|
|
|
2 |
|
|
|
3 |
|
|
||