Рис. 3. изображение циклоа в координатах T–S
Далее, сообщая начальной температуре некоторое приращениеT , можно подсчитать соответствующее этому значению T приращение энтропии по формуле
si c ln |
Ti T |
, |
(24) |
|
|||
|
Ti |
|
|
где c — теплоемкость данного политропного процесса; |
|||
Ti - начальная температура |
соответствующего участка |
||
политропы, например, точки А;
T — принятое приращение температуры на этом участке, например, T T1 Ta.
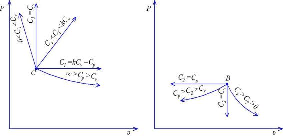
Необходимо, помнить, что в координатах Ts адиабата изображается вертикальной прямой, а изотерма — горизонтальной прямой.
Каждая политропа в координатах Ts вычерчивается по лекалу не менее чем по 5 точкам.
3.4. Приемы самоконтроля
Выполнение задания связано с необходимостью выполнения значительного объема вычислений. Поэтому возможны ошибки при
15
определении тех или иных величин. Чтобы эти ошибки обнаружить и своевременно исправить, можно воспользоваться следующими приемами:
необходимо сопоставить линию процесса подвода тепла по расчетному циклу в координатах p с аналогичной политропой на рис. 4, а;
характер изображения расчетных политроп, по которым отводится тепло, должен совпадать с изображением их на рис. 4, б;
а б Рис. 4. Характер протекания расчетных политроп
изображение правильно рассчитанной политропы в координатах p будет представлять собой лекальную кривую без точек перегиба;
в координатах Ts крайние точки любой адиабаты должны лежать на одной вертикали;
если линия политропного процесса при с const и линия
этого же процесса при с f (T) в координатах p пересекаются, то и
вкоординатах Ts они должны пересекаться.;
графики, построенные по данным исследования зависимостиt , lt или pt от тех или иных факторов, должны, представлять собой
лекальные кривые (в отдельных случаях — прямые) без точек перегиба. Каждая группа таких кривых должна выражать собой определенную закономерность, например, плавно сближаться или расходиться.
16
3.5. Требования, предъявляемые к оформлению результатов расчета и исследования цикла
Текстовая часть должна быть выполнена на листах формата А4. Запись производится только на одной стороне листа, имеющего чистые поля.
На титульном листе указываются: название вуза и федерального агенства, к которому он принадлежит; название выполненной работы; фамилия, имя; отчество исполнителя; факультет, курс, группа; фамилия и инициалы руководителя.
Выполняя расчет, необходимо пояснять, что и по какой формуле определяется (привести ее в общем виде), какие конкретные данные в нее подставляются.
Указывать размерность всех исходных и полученных при расчете величин.
Все вычисление выполнять с точностью до 3-4 знаков.
Все графические построения выполнять на миллиметровке формата А4. В конце записки должен быть приведен перечень литературных источников, которыми пользовался студент при выполнении задания, а также оглавление.
3.6. Пример на выполнение расчетно-графического исследования термодинамического цикла газового двигателя
Выполнить расчет термодинамического цикла теплового двигателя. Исследовать при постоянной теплоемкости рабочего тела влияние Ta и c1
cv на t , lt , и pt , для чего, определить указанные
характеристики цикла еще не менее чем для четырех значений Ta при двух значениях c1
cv , отличных от заданных. Результата расчета
свести в |
таблицу |
и |
построить |
графики |
t f (Ta,c1 cv), |
|
lt f (Ta,c1 |
cv), pt |
f (Ta,c1 |
cv). На |
основании |
анализа графиков |
|
сделать выводы. |
|
|
|
pa 0,86 |
бар; ta 22 оС; |
|
Исходные данные |
для |
расчёта:: |
||||
a 8,5; c1
cv 1,1; c2
cv 0,9; q1 1400 кДж/кг.
3.6.1.Расчет цикла при с const
17
1. Определяем параметры характерных точек цикла.
а) Точка А. По заданию: pa 0,86 бар; Ta 22 273 295 К.
Удельный объем рабочего тела находим по уравнению состояния
|
a |
|
RTa |
. |
|
||||
|
|
pa |
||
Для воздуха R 287 Дж/(кг·ºС), а потому
|
a |
|
287 295 |
0,984 м3/кг. |
|
|
||||||||||
0,86105 |
|
|
||||||||||||||
|
|
|
|
|
|
|
|
|
||||||||
б) Точка С. давление, температура и удельный объем |
||||||||||||||||
определяется по формулам (2), (3), (4), |
|
|
||||||||||||||
для воздуха, k = 1,40. |
|
|
||||||||||||||
p |
p |
a |
k 0,86 8,51,40 17,15 бар; |
|
|
|||||||||||
|
c |
|
|
|
|
|
|
a |
295 8,50,40 695 К или t |
|
|
|||||
T T |
k 1 |
c |
422 ºС; |
|||||||||||||
|
c |
|
|
|
a |
|
a |
|
|
|
|
|||||
|
c |
|
a |
|
|
0,984 |
0,116 м3/кг. |
|
|
|||||||
|
a |
|
|
|
|
|||||||||||
|
|
|
8,5 |
|
|
|
|
|||||||||
Делаем проверку |
|
|
||||||||||||||
|
с |
|
RTс |
|
287 695 |
0,116 м3/кг. |
|
|
||||||||
|
|
|
|
|||||||||||||
|
|
|
|
pс |
|
|
105 17,15 |
|
|
|||||||
в) Точка Z. По формуле (15) определяем показатель политропы CZ, по которой подводятся тепло q1, причем
n |
c1 cp |
|
c kc |
v |
|
c |
v |
|
|
1,10 1,40 |
|||
|
|
1 |
|
|
|
|
|
|
|
3. |
|||
c c |
c c |
|
|
|
c1 |
|
|
||||||
1 |
|
|
|
|
|
1 |
1,10 1 |
||||||
|
1 v |
1 |
v |
|
|
|
|
|
|||||
cv
Так как по заданию c1
cv 1,10, то теплоемкость процесса CZ
будет равна c1 1,10 cv. Но
c |
v |
|
R |
|
|
|
287 |
717,5 Дж/(кг·ºС)=0,7175 кДж/(кг·ºС), |
|||||||
|
|
|
|
||||||||||||
|
|
k 1 0,40 |
|
|
|
||||||||||
а потому получим |
|
|
|
||||||||||||
c1 |
1,1 0,7175 0,7893 кДж/(кг·ºС). |
|
|
|
|||||||||||
Согласно (12) температура в точке Z будет равна |
|||||||||||||||
T |
|
T |
|
q1 |
695 |
1400 |
2470К, |
t |
|
2197 ºС. |
|||||
|
c |
|
|
||||||||||||
|
|
z |
|
c |
|
|
0,7893 |
|
z |
|
|||||
|
|
|
|
|
1 |
|
|
|
|
|
|
|
|||
|
|
|
|
|
|
|
|
|
18 |
|
|
|
|||
Давление и удельный объем в точке Z определяем по уравнениям политропного процесса, а именно:
|
|
|
|
|
|
T |
|
|
|
n1 |
|
|
|
2470 0,75 |
|
|||||||||
|
|
|
|
|
|
|
|
n 1 |
|
|
|
|||||||||||||
p |
z |
p |
|
|
z |
|
|
|
1 |
|
17,15 |
|
|
|
|
44,4 бар; |
||||||||
|
|
|
|
|
695 |
|
||||||||||||||||||
|
|
|
|
|
c T |
|
|
|
|
|
|
|
|
|
|
|||||||||
|
|
|
|
|
|
|
|
c |
|
|
|
|
|
|
|
|||||||||
|
|
|
|
|
|
T |
|
|
1 |
|
|
|
2470 0,25 |
|
||||||||||
|
|
|
|
|
|
1 n |
|
|
|
|||||||||||||||
|
z |
|
|
|
|
|
z |
|
|
1 |
|
0,116 |
|
|
|
|
0,159 м3/кг. |
|||||||
|
|
|
|
|
695 |
|||||||||||||||||||
|
|
|
c T |
|
|
|
|
|
|
|
||||||||||||||
|
|
|
|
|
|
|
|
c |
|
|
|
|
|
|
|
|||||||||
Делаем проверку: |
|
|
|
|
|
|||||||||||||||||||
|
z |
|
RTz |
|
|
287 2470 |
0,1590 м3/кг. |
|||||||||||||||||
pz |
|
|
||||||||||||||||||||||
|
|
|
|
|
|
|
105 44,4 |
|
|
|
|
|
||||||||||||
г) Точка В. Определяем показатель политропы ВА, по которой отводится тепло, причем
|
c2 cp |
|
|
|
|
|
|
c2 |
k |
|
|
|||||
|
|
c |
kc |
c |
0,90 1,40 |
|
||||||||||
|
|
|
|
|
|
|||||||||||
n |
|
|
|
|
2 |
|
v |
|
|
|
v |
|
|
5. |
||
c |
|
c |
c |
|
|
|
|
|
0,90 1 |
|||||||
2 |
|
|
|
c |
|
c2 |
|
1 |
|
|||||||
|
|
2 |
v |
2 |
v |
|
|
|
|
|
||||||
|
|
|
|
|
|
|
||||||||||
cv
Так как по заданию c2
cv 0,9, то теплоемкость политропного
процесса ВА будет равна:
с2 0,90 0,7175 0,6458 кДж/(кг·ºС).
Температура в точке В определим по формуле
|
|
T |
|
c1 |
2470 |
|
1,10 |
|
|
|
||||
|
|
c |
|
0,90 |
|
|
|
|||||||
T |
T |
|
z |
|
|
2 |
295 |
|
|
|
|
1385 К; t |
b |
1112 ºС. |
|
|
695 |
|
|
||||||||||
b |
a T |
|
|
|
|
|
|
|
|
|
||||
|
|
c |
|
|
|
|
|
|
|
|
||||
Давление и удельный объем в точке В находим по формулам, связывающим параметры в политропном процессе, причем
19