21
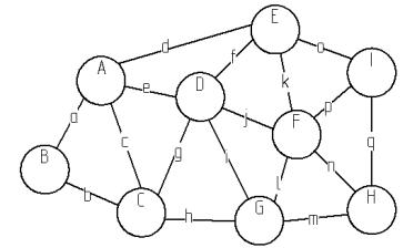
Задание 2.1. Определить кратчайшие пути между заданными парами вершин и записать полученные пути: 1–9; 2–8; 3–5. Сеть изображена на рисунке 2.3. Варианты индивидуального задания представлены в таблице 2.1.
Рис. 2.3 – Транспортная сеть
2.4. Контрольные вопросы к практической работе № 2
1.Какой тип моделей используется формализации задачи поиска кратчайшего пути в Excel?
2.Что означают цифры «1» или «0» в колонке Поток?
3.Как обозначается одностороннее движение по дуге между парой вершин?
22
Таблица 2.1 Варианты индивидуального задания к практической работе № 2
Вариант |
A |
B |
C |
D |
E |
F |
G |
H |
I |
a |
b |
c |
d |
e |
f |
g |
h |
i |
j |
k |
l |
n |
m |
o |
p |
q |
|
||||||||||||||||||||||||||
|
|
|
|
|
|
|
|
|
|
|
|
|
|
|
|
|
|
|
|
|
|
|
|
|
|
|
1 |
1 |
2 |
3 |
4 |
5 |
6 |
7 |
8 |
9 |
44 |
40 |
38 |
37 |
50 |
43 |
19 |
41 |
48 |
7 |
29 |
28 |
9 |
9 |
10 |
29 |
24 |
2 |
2 |
3 |
4 |
5 |
6 |
7 |
8 |
9 |
1 |
15 |
20 |
21 |
11 |
39 |
1 |
8 |
40 |
38 |
2 |
17 |
49 |
34 |
25 |
15 |
21 |
48 |
3 |
3 |
4 |
5 |
6 |
7 |
8 |
9 |
1 |
2 |
11 |
20 |
24 |
8 |
1 |
41 |
26 |
41 |
2 |
32 |
37 |
20 |
2 |
16 |
40 |
41 |
50 |
4 |
4 |
5 |
6 |
7 |
8 |
9 |
1 |
2 |
3 |
13 |
8 |
46 |
16 |
38 |
24 |
35 |
37 |
8 |
45 |
43 |
41 |
18 |
43 |
9 |
5 |
26 |
5 |
5 |
6 |
7 |
8 |
9 |
1 |
2 |
3 |
4 |
40 |
47 |
49 |
26 |
42 |
32 |
2 |
11 |
48 |
11 |
40 |
15 |
42 |
16 |
9 |
16 |
10 |
6 |
6 |
7 |
8 |
9 |
1 |
2 |
3 |
4 |
5 |
46 |
24 |
18 |
24 |
47 |
3 |
38 |
10 |
33 |
17 |
8 |
41 |
25 |
3 |
10 |
42 |
14 |
7 |
7 |
8 |
9 |
1 |
2 |
3 |
4 |
5 |
6 |
33 |
3 |
18 |
12 |
45 |
15 |
40 |
6 |
12 |
4 |
46 |
12 |
15 |
17 |
14 |
21 |
35 |
8 |
8 |
9 |
1 |
2 |
3 |
4 |
5 |
6 |
7 |
17 |
4 |
46 |
43 |
34 |
24 |
19 |
20 |
39 |
2 |
40 |
6 |
35 |
39 |
30 |
44 |
11 |
9 |
9 |
1 |
2 |
3 |
4 |
5 |
6 |
7 |
8 |
42 |
39 |
3 |
36 |
17 |
35 |
5 |
25 |
41 |
49 |
48 |
9 |
23 |
32 |
24 |
34 |
50 |
10 |
2 |
1 |
4 |
3 |
6 |
5 |
8 |
7 |
9 |
29 |
10 |
1 |
41 |
25 |
13 |
48 |
36 |
46 |
16 |
38 |
28 |
24 |
39 |
49 |
19 |
29 |
11 |
3 |
2 |
5 |
4 |
7 |
6 |
9 |
8 |
1 |
16 |
37 |
12 |
13 |
26 |
3 |
4 |
41 |
15 |
16 |
29 |
22 |
12 |
10 |
17 |
25 |
23 |
12 |
4 |
3 |
6 |
5 |
8 |
7 |
1 |
9 |
2 |
17 |
18 |
46 |
11 |
44 |
45 |
28 |
50 |
36 |
33 |
25 |
6 |
41 |
49 |
31 |
10 |
32 |
13 |
5 |
4 |
7 |
6 |
9 |
8 |
2 |
1 |
3 |
41 |
19 |
44 |
37 |
40 |
8 |
13 |
27 |
29 |
50 |
24 |
49 |
21 |
36 |
16 |
22 |
6 |
14 |
6 |
5 |
8 |
7 |
1 |
9 |
3 |
2 |
4 |
40 |
20 |
12 |
7 |
34 |
17 |
2 |
22 |
49 |
35 |
16 |
32 |
9 |
18 |
23 |
17 |
41 |
15 |
7 |
6 |
9 |
8 |
2 |
1 |
4 |
3 |
5 |
48 |
36 |
46 |
1 |
3 |
17 |
5 |
19 |
22 |
44 |
10 |
22 |
14 |
46 |
18 |
36 |
28 |
16 |
8 |
7 |
1 |
9 |
3 |
2 |
5 |
4 |
6 |
16 |
35 |
14 |
9 |
11 |
13 |
48 |
11 |
42 |
50 |
37 |
2 |
45 |
15 |
37 |
31 |
23 |
17 |
9 |
8 |
2 |
1 |
4 |
3 |
6 |
5 |
7 |
13 |
50 |
12 |
4 |
31 |
9 |
32 |
49 |
45 |
41 |
42 |
15 |
19 |
4 |
1 |
44 |
45 |
18 |
1 |
9 |
3 |
2 |
5 |
4 |
7 |
6 |
8 |
2 |
30 |
42 |
34 |
30 |
49 |
34 |
28 |
41 |
37 |
48 |
42 |
20 |
46 |
12 |
47 |
49 |
19 |
3 |
4 |
1 |
2 |
7 |
9 |
5 |
6 |
8 |
15 |
17 |
35 |
19 |
12 |
16 |
15 |
33 |
32 |
45 |
42 |
40 |
18 |
15 |
28 |
18 |
21 |
20 |
4 |
5 |
2 |
3 |
8 |
1 |
6 |
7 |
9 |
30 |
33 |
23 |
18 |
28 |
29 |
2 |
39 |
8 |
4 |
38 |
39 |
23 |
6 |
30 |
4 |
30 |
21 |
5 |
6 |
3 |
4 |
9 |
2 |
7 |
8 |
1 |
48 |
37 |
6 |
1 |
36 |
41 |
47 |
19 |
33 |
27 |
19 |
37 |
6 |
24 |
27 |
12 |
30 |
22 |
6 |
7 |
4 |
5 |
1 |
3 |
8 |
9 |
2 |
21 |
12 |
38 |
33 |
8 |
12 |
19 |
43 |
37 |
7 |
37 |
41 |
4 |
37 |
6 |
22 |
13 |
23 |
7 |
8 |
5 |
6 |
2 |
4 |
9 |
1 |
3 |
29 |
8 |
19 |
44 |
22 |
31 |
50 |
38 |
50 |
9 |
5 |
35 |
40 |
30 |
35 |
25 |
43 |
24 |
8 |
9 |
6 |
7 |
3 |
5 |
1 |
2 |
4 |
22 |
39 |
21 |
38 |
44 |
9 |
32 |
28 |
45 |
49 |
35 |
33 |
20 |
4 |
50 |
7 |
34 |
25 |
9 |
1 |
7 |
8 |
4 |
6 |
2 |
3 |
5 |
44 |
30 |
15 |
19 |
9 |
6 |
10 |
7 |
21 |
36 |
39 |
27 |
32 |
44 |
17 |
31 |
34 |
26 |
1 |
2 |
8 |
9 |
5 |
7 |
3 |
4 |
6 |
2 |
35 |
47 |
37 |
20 |
29 |
12 |
7 |
17 |
36 |
19 |
40 |
8 |
43 |
23 |
47 |
49 |
27 |
2 |
3 |
9 |
1 |
6 |
8 |
4 |
5 |
7 |
40 |
44 |
23 |
36 |
50 |
37 |
12 |
42 |
18 |
4 |
14 |
21 |
8 |
17 |
34 |
31 |
10 |
28 |
4 |
5 |
6 |
1 |
2 |
3 |
8 |
9 |
7 |
37 |
19 |
16 |
23 |
35 |
4 |
48 |
42 |
23 |
16 |
8 |
5 |
13 |
26 |
9 |
3 |
36 |
29 |
5 |
6 |
7 |
2 |
3 |
4 |
9 |
1 |
8 |
45 |
18 |
2 |
45 |
3 |
8 |
43 |
22 |
2 |
28 |
28 |
3 |
49 |
6 |
3 |
17 |
2 |
30 |
6 |
7 |
8 |
3 |
4 |
5 |
1 |
2 |
9 |
34 |
46 |
44 |
12 |
32 |
9 |
30 |
40 |
46 |
50 |
42 |
50 |
46 |
11 |
29 |
27 |
30 |
31 |
7 |
8 |
9 |
4 |
5 |
6 |
2 |
3 |
1 |
10 |
10 |
36 |
30 |
44 |
26 |
37 |
11 |
28 |
41 |
41 |
4 |
40 |
21 |
3 |
35 |
3 |
32 |
8 |
9 |
1 |
5 |
6 |
7 |
3 |
4 |
2 |
47 |
1 |
43 |
40 |
47 |
31 |
16 |
5 |
3 |
40 |
27 |
7 |
10 |
13 |
35 |
1 |
14 |
33 |
9 |
1 |
2 |
6 |
7 |
8 |
4 |
5 |
3 |
21 |
5 |
46 |
17 |
9 |
5 |
31 |
25 |
23 |
49 |
34 |
31 |
36 |
14 |
48 |
7 |
33 |
34 |
1 |
2 |
3 |
7 |
8 |
9 |
5 |
6 |
4 |
20 |
4 |
21 |
14 |
6 |
17 |
12 |
3 |
12 |
41 |
26 |
2 |
10 |
4 |
23 |
35 |
28 |
35 |
2 |
3 |
4 |
8 |
9 |
1 |
6 |
7 |
5 |
32 |
34 |
25 |
39 |
29 |
11 |
21 |
49 |
33 |
19 |
16 |
5 |
31 |
36 |
34 |
20 |
13 |
23
ПРАКТИЧЕСКОЕ ЗАНЯТИЕ № 3. ТРАНСПОРТНАЯ ЗАДАЧА С ПРОМЕЖУТОЧНЫМИ ПУНКТАМИ
Цель работы: изучить модель транспортной задачи с промежуточными пунктами, освоить надстройку Поиск решения в Excel, научиться формализации реальных задач организации перевозок в виде модели этого вида.
3.1.Математическая постановка транспортной задачи с промежуточными пунктами
Одно практически важное обобщение классической транспортной задачи связано с учетом возможности доставки товара от i-го источника к j-му стоку по маршруту, проходящему через некоторый промежуточный пункт (склад). Так, например, промежуточные пункты являются составной частью распределительной системы любой крупной компании, имеющей сеть универсальных магазинов во многих городах. Такая компания обычно имеет зональные оптовые базы (источники), снабжающие товарами более мелкие региональные склады (промежуточные пункты), откуда эти товары поступают в розничную торговую сеть (стоки). При этом товар для каждого фиксированного стока в общем случае может быть доставлен не из любого источника и по маршрутам, не обязательно проходящим через все промежуточные пункты. Кроме того, промежуточные пункты могут обладать вполне определенной спецификой. Так, например, при транспортировке товара от источника к стоку по маршруту, проходящему через склад, часть товара может быть использована для создания неприкосновенного запаса на складе.
Задачу выбора плана перевозок товаров от источников к стокам с учетом промежуточных пунктов, обеспечивающего минимальные транспортные затраты и потребности стоков, в исследовании операций называют транспортной задачей с промежуточными пунктами. Для приобретения практических навыков в построении математических моделей таких задач обратимся к следующему примеру.
Пример 3.1. Торговая фирма имеет 8 складов, на которых сосредоточены все имеющиеся в наличии запасы товара. Перед началом рекламной кампании решено перераспределить часть запасов товара между складами в соответствии с прогнозами сбыта в районах их размещения. Требуется разработать план
24
перевозок товара между складами, который позволит при минимальных транспортных затратах создать на каждом складе необходимый запас товара.
На рисунке 3.1 представлена схема размещения складов, на которой указаны: склады в виде узлов сети с номерами 1–8; избыток товара на складе, который должен быть перераспределен в системе складов (указан в квадратных скобках рядом с узлом сети положительным числом и выражен в единицах измерения товара); недостаток товара на складе, который должен быть устранен за счет его поставок с других складов системы (указан в квадратных скобках рядом с узлом сети отрицательным числом); возможность перевозки товара со склада i на склад j (ориентированная дуга от вершины с номером i к вершине с номером j); затраты, связанные с перевозкой единицы товара со склада i на складу (величина cij рядом с соответствующей ориентированной дугой, выраженная в денежных единицах).
[0] |
c23 |
[- 3] |
c43 |
[2] |
c47 |
[0] |
|
2 |
3 |
4 |
7 |
||||
|
|
|
c25 |
c45 |
c |
|
|
c78 |
|
54 |
|
|||
c12 |
|
|
c67 |
|
|
|
|
|
|
||
|
|
|
|
|
|
1 |
5 |
c56 |
6 |
8 |
|
[10] |
[0] |
[- 1] |
[- 8] |
||
|
Рис. 3.1 – Схема размещения складов
На рисунке 3.1 видно, что суммарный избыток товара, имеющийся на складах системы с номерами 1 и 4, равен суммарному недостатку товара, имеющемуся на складах с номерами 3, 6 и 8 той же системы. Перераспределение товара может происходить через склады с номерами 2, 4–7, которые
25
в рассматриваемой задаче и являются промежуточными, или транзитными, пунктами. Истинным пунктом отправления является лишь склад с номером 1, на котором имеется избыток товара и с которого товар можно только вывозить, а истинными пунктами назначения являются склады с номерами 3 и 8, на которых есть недостаток товара, и на эти склады товары можно только завозить. Заметим также, что между складами с номерами 4 и 5 возможны перевозки в обоих направлениях, но в общем случае с45 ≠ с54 (например, наличие одностороннего движения по кратчайшему маршруту). Объемы спроса и предложения, соответствующие этим пунктам отправления и назначения, вычисляются следующим образом:
1)объем предложения истинного пункта отправления = объем исходного предложения;
2)объем предложения транзитного пункта = объем исходного предложения + объем буфера;
3)объем спроса истинного пункта назначения = объем исходного спроса;
4)объем спроса транзитного пункта = объем исходного спроса + объем буфера;
5)объем буфера должен быть таким, чтобы вместить объем всего предложения (или спроса);
Пусть J – множество номеров складов, на которые товар может быть доставлен с k-ro склада, а I – множество номеров складов, с которых товар может быть доставлен на k-ый склад. Tk – величина чистого запаса товара, равная объему исходного предложения или исходного спроса. Тогда математическую модель данной задачи можно представить следующим образом /1, 2/: