26
m n |
|
|
|
|
|
cijxij min |
|
|
|||
|
|
|
|||
i I j I |
|
|
|
|
|
n |
|
|
|
|
|
xij Si |
|
|
|
|
|
j J |
|
|
|
|
|
m |
|
|
|
|
|
xij D j |
|
|
. |
(3.1) |
|
i I |
|
|
|
|
|
|
|
|
|
|
|
xij 0 |
|
|
|
|
|
|
|
|
|
|
|
xij N 0 |
|
|
|
||
|
|
|
|||
n |
|
|
|
|
|
x kj |
x kk |
Tk |
B |
|
|
j J |
|
|
|
|
|
m |
|
|
|
|
|
|
|
|
|
|
|
xik |
x kk |
B |
|
|
|
|
|
|
|
|
|
i I |
|
|
|
|
|
3.2. Решение транспортной задачи с промежуточными пунктами в Excel
Рассмотрим методику решения в Excel транспортной задачи с промежуточными пунктами.
Задача 3.1. Найти решение транспортной задачи с промежуточными пунктами, рассмотренной в примере, если стоимость перевозки единицы товара составляет: с12 = 3 у.е., с23 = 7 у.е., с25 = 3 у.е., с43 = 8 у.е., с45 = 4 у.е., с47 = 5 у.е., с54 = 5 у.е., с56 = 3 у.е., с67 = 5 у.е., с78 = 2 у.е.
На рисунке 3.2 представлена таблица Стоимость перевозки единицы товара и нахождение оптимального плана перевозок товара между складами в Excel. В таблице Стоимость перевозки единицы товара показано, что если между отдельными складами отсутствует возможность перевозки товара, то в соответствующие ячейки таблицы (выделенные темным фоном) заносится любое большое число (в данном случае 1000).
27
Рис. 3.2. – Решение транспортной задачи с промежуточными пунктами
В целевую ячейку, в данном случае С14, необходимо занести формулу /2/
=СУММПРОИЗВ(H16:H71;B16:B71) (3.1)
Инструменты для решения этой задачи абсолютно аналогичны инструментам для решения задачи нахождения кратчайшего пути лишь с той разницей, что потребности и запасы отличны от 1 и -1.
28
Используя меню Сервис Поиск решения, открываем диалоговое окно Поиск решения, в котором устанавливаем целевую ячейку равной минимальному значению, определяем диапазон изменяемых ячеек и ограничения и запускаем процедуру вычисления, щелкнув по кнопке Выполнить.
Результат решения данной задачи представлен на рисунке 3.2. Как видно, оптимальный план перевозок товара между складами следующий:
со склада 1 товар в количестве 3 единиц транзитом через склад 2 отправлен на склад 3, который является истинным пунктом назначения;
со склада 1 товар в количестве 7 единиц транзитом через склады 2 и 5 отправлен на склад 6, где 1 единица товара используется для пополнения запаса на этом складе;
со склада 6 товар в количестве 6 единиц транзитом через склад 7 отправлен на склад 8, который также является истинным пунктом назначения;
со склада 4 избыток товара в количестве 2 единиц отправлен на склад 8 транзитом через склад 7.
Стоимость перевозок при этом минимальна и составляет 149 условных денежных единиц.
3.3.Содержание отчета по практической работе № 3
В отчете представить математическую модель, транспортную сеть согласно индивидуальному заданию (вместо букв на сети проставить числами номера вершин и вес дуг), таблицы Excel с решением задачи и показать полученные грузопотоки на транспортной сети стрелками.
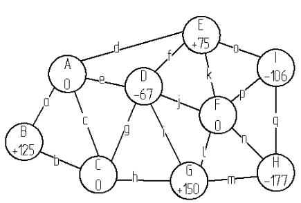
Задание 3.1. Решить транспортную задачу с промежуточными пунктами и представить оптимальный план доставки грузов на транспортной сети. Сеть изображена на рисунке 3.3. Варианты индивидуального задания представлены в таблице 3.1.
29
Рис. 3.3 – Транспортная сеть с указанием спроса и предложения
3.4. Контрольные вопросы к практической работе № 3
1.Чем отличается транспортная задача с промежуточными пунктами от классической транспортной задачи?
2.В чем состоит отличие модели решения транспортной задачи с промежуточными пунктами в Excel от модели решения задачи поиска кратчайшего пути?
3.Как обозначить в Excel отсутствие возможности прямого сообщения между парой вершин транспортной сети?
30
Таблица 3.1
Задания к практической работе № 3
Вариант |
A |
B |
C |
D |
E |
F |
G |
H |
I |
a |
b |
c |
d |
e |
f |
g |
h |
i |
j |
k |
l |
n |
m |
o |
p |
q |
|
||||||||||||||||||||||||||
|
|
|
|
|
|
|
|
|
|
|
|
|
|
|
|
|
|
|
|
|
|
|
|
|
|
|
1 |
1 |
9 |
3 |
2 |
5 |
4 |
7 |
6 |
8 |
2 |
17 |
13 |
11 |
21 |
4 |
13 |
23 |
1 |
21 |
23 |
18 |
25 |
30 |
17 |
22 |
19 |
2 |
3 |
4 |
1 |
2 |
7 |
9 |
5 |
6 |
8 |
17 |
19 |
12 |
22 |
14 |
19 |
20 |
22 |
27 |
23 |
25 |
3 |
24 |
25 |
10 |
21 |
20 |
3 |
4 |
5 |
2 |
3 |
8 |
1 |
6 |
7 |
9 |
30 |
9 |
8 |
14 |
21 |
14 |
25 |
21 |
27 |
9 |
6 |
23 |
9 |
6 |
23 |
29 |
29 |
4 |
5 |
6 |
3 |
4 |
9 |
2 |
7 |
8 |
1 |
23 |
14 |
14 |
24 |
18 |
21 |
3 |
16 |
24 |
14 |
2 |
21 |
23 |
7 |
10 |
29 |
23 |
5 |
6 |
7 |
4 |
5 |
1 |
3 |
8 |
9 |
2 |
23 |
5 |
13 |
17 |
4 |
17 |
13 |
17 |
27 |
9 |
18 |
28 |
21 |
16 |
16 |
26 |
19 |
6 |
7 |
8 |
5 |
6 |
2 |
4 |
9 |
1 |
3 |
7 |
7 |
23 |
30 |
28 |
3 |
29 |
15 |
19 |
15 |
14 |
10 |
19 |
15 |
30 |
10 |
8 |
7 |
8 |
9 |
6 |
7 |
3 |
5 |
1 |
2 |
4 |
9 |
5 |
29 |
10 |
18 |
9 |
4 |
27 |
9 |
14 |
25 |
12 |
12 |
8 |
23 |
3 |
20 |
8 |
9 |
1 |
7 |
8 |
4 |
6 |
2 |
3 |
5 |
7 |
3 |
17 |
29 |
4 |
15 |
25 |
18 |
11 |
7 |
28 |
16 |
3 |
29 |
2 |
16 |
14 |
9 |
1 |
2 |
8 |
9 |
5 |
7 |
3 |
4 |
6 |
10 |
28 |
21 |
16 |
12 |
24 |
19 |
16 |
2 |
22 |
23 |
1 |
28 |
12 |
13 |
17 |
3 |
10 |
2 |
3 |
9 |
1 |
6 |
8 |
4 |
5 |
7 |
1 |
23 |
4 |
17 |
7 |
12 |
13 |
26 |
29 |
17 |
30 |
5 |
27 |
16 |
2 |
10 |
21 |
11 |
4 |
5 |
6 |
1 |
2 |
3 |
8 |
9 |
7 |
30 |
8 |
7 |
11 |
15 |
29 |
18 |
11 |
8 |
27 |
6 |
26 |
2 |
29 |
18 |
28 |
26 |
12 |
5 |
6 |
7 |
2 |
3 |
4 |
9 |
1 |
8 |
6 |
14 |
13 |
13 |
11 |
20 |
7 |
11 |
4 |
25 |
26 |
4 |
6 |
18 |
19 |
23 |
21 |
13 |
6 |
7 |
8 |
3 |
4 |
5 |
1 |
2 |
9 |
16 |
29 |
27 |
15 |
23 |
23 |
12 |
26 |
13 |
17 |
29 |
14 |
16 |
1 |
27 |
9 |
25 |
14 |
7 |
8 |
9 |
4 |
5 |
6 |
2 |
3 |
1 |
13 |
28 |
28 |
1 |
22 |
13 |
15 |
24 |
20 |
16 |
14 |
24 |
19 |
1 |
16 |
19 |
7 |
15 |
8 |
9 |
1 |
5 |
6 |
7 |
3 |
4 |
2 |
8 |
29 |
5 |
9 |
10 |
28 |
13 |
17 |
20 |
10 |
29 |
30 |
21 |
3 |
28 |
1 |
5 |
16 |
9 |
1 |
2 |
6 |
7 |
8 |
4 |
5 |
3 |
4 |
8 |
12 |
21 |
8 |
7 |
6 |
7 |
16 |
4 |
23 |
5 |
12 |
27 |
3 |
20 |
30 |
17 |
1 |
2 |
3 |
7 |
8 |
9 |
5 |
6 |
4 |
17 |
19 |
22 |
19 |
4 |
16 |
30 |
11 |
1 |
13 |
28 |
24 |
20 |
6 |
21 |
21 |
11 |
18 |
2 |
3 |
4 |
8 |
9 |
1 |
6 |
7 |
5 |
5 |
22 |
13 |
11 |
25 |
13 |
1 |
14 |
29 |
3 |
8 |
14 |
17 |
5 |
24 |
26 |
17 |
19 |
1 |
2 |
3 |
4 |
5 |
6 |
7 |
8 |
9 |
6 |
3 |
1 |
19 |
10 |
18 |
21 |
7 |
7 |
15 |
4 |
7 |
10 |
25 |
22 |
25 |
20 |
20 |
2 |
3 |
4 |
5 |
6 |
7 |
8 |
9 |
1 |
27 |
2 |
17 |
21 |
26 |
5 |
24 |
18 |
3 |
20 |
30 |
26 |
19 |
15 |
6 |
11 |
9 |
21 |
3 |
4 |
5 |
6 |
7 |
8 |
9 |
1 |
2 |
19 |
3 |
2 |
2 |
24 |
3 |
30 |
6 |
22 |
1 |
2 |
18 |
8 |
10 |
19 |
16 |
16 |
22 |
4 |
5 |
6 |
7 |
8 |
9 |
1 |
2 |
3 |
3 |
21 |
17 |
1 |
28 |
20 |
16 |
11 |
29 |
11 |
3 |
21 |
26 |
26 |
21 |
26 |
20 |
23 |
5 |
6 |
7 |
8 |
9 |
1 |
2 |
3 |
4 |
2 |
15 |
1 |
11 |
9 |
6 |
24 |
11 |
11 |
6 |
2 |
23 |
1 |
29 |
24 |
29 |
28 |
24 |
6 |
7 |
8 |
9 |
1 |
2 |
3 |
4 |
5 |
3 |
16 |
11 |
29 |
10 |
9 |
9 |
10 |
23 |
16 |
11 |
3 |
26 |
21 |
3 |
16 |
30 |
25 |
7 |
8 |
9 |
1 |
2 |
3 |
4 |
5 |
6 |
20 |
24 |
6 |
24 |
18 |
6 |
1 |
7 |
24 |
9 |
1 |
8 |
17 |
27 |
16 |
16 |
24 |
26 |
8 |
9 |
1 |
2 |
3 |
4 |
5 |
6 |
7 |
23 |
13 |
13 |
5 |
29 |
27 |
22 |
2 |
9 |
1 |
24 |
18 |
10 |
21 |
28 |
30 |
20 |
27 |
9 |
1 |
2 |
3 |
4 |
5 |
6 |
7 |
8 |
1 |
13 |
9 |
1 |
24 |
4 |
14 |
18 |
9 |
25 |
2 |
18 |
30 |
27 |
15 |
10 |
2 |
28 |
2 |
1 |
4 |
3 |
6 |
5 |
8 |
7 |
9 |
4 |
3 |
4 |
23 |
27 |
13 |
11 |
24 |
29 |
19 |
4 |
11 |
26 |
16 |
1 |
3 |
23 |
29 |
3 |
2 |
5 |
4 |
7 |
6 |
9 |
8 |
1 |
8 |
2 |
7 |
17 |
25 |
8 |
28 |
19 |
2 |
10 |
27 |
17 |
7 |
19 |
26 |
20 |
23 |
30 |
4 |
3 |
6 |
5 |
8 |
7 |
1 |
9 |
2 |
20 |
11 |
17 |
22 |
30 |
2 |
22 |
14 |
21 |
3 |
14 |
29 |
24 |
16 |
10 |
6 |
11 |
31 |
5 |
4 |
7 |
6 |
9 |
8 |
2 |
1 |
3 |
17 |
21 |
17 |
3 |
9 |
5 |
25 |
10 |
29 |
13 |
18 |
30 |
1 |
4 |
18 |
16 |
25 |
32 |
6 |
5 |
8 |
7 |
1 |
9 |
3 |
2 |
4 |
2 |
17 |
25 |
9 |
26 |
18 |
17 |
19 |
7 |
1 |
5 |
18 |
12 |
26 |
19 |
19 |
2 |
33 |
7 |
6 |
9 |
8 |
2 |
1 |
4 |
3 |
5 |
25 |
13 |
16 |
2 |
3 |
14 |
3 |
26 |
24 |
26 |
18 |
14 |
23 |
23 |
19 |
27 |
4 |
34 |
8 |
7 |
1 |
9 |
3 |
2 |
5 |
4 |
6 |
11 |
19 |
4 |
19 |
7 |
30 |
24 |
2 |
20 |
22 |
6 |
6 |
26 |
6 |
23 |
5 |
12 |
35 |
9 |
8 |
2 |
1 |
4 |
3 |
6 |
5 |
7 |
17 |
12 |
12 |
13 |
26 |
16 |
8 |
12 |
7 |
10 |
21 |
21 |
14 |
24 |
23 |
25 |
13 |