Материал: 4551

Внимание! Если размещение файла нарушает Ваши авторские права, то обязательно сообщите нам

21

4.2. Нанесение точек вершин полигона на план по координатам

Чтобы нанести точки полигона с рассчитанными абсциссами и ординатами, необходимо оцифровать координатную сетку. Намечая начало координат, учитывают размер плана и назначают начальными такие линии сетки, при которых точки с самыми малыми и самыми большими значениями координат размещались в пределах сетки координат , а план – в центре листа.

В нашем примере нужно составить план в масштабе 1:2000, при котором 1 см расстояния на плане соответствует 20 м горизонтального проложения

местности.

Самая

большая абсцисса X

=

1158,12, а самая

маленькая

X

=816,89 (табл. 2).

 

 

 

 

 

Тогда

X

- X

= 1158,12816,89 = 341,23. Поскольку изменение по

осям

и

происходит для сетки квадратов 5 см и масштаба плана 1: 2000

через 100 м, то полигон по оси X будет размещаться в пределах четырех

квадратов. Поэтому координатную сетку по оси X целесообразно оцифровать

следующим образом (см. рис. 3).

 

 

 

 

По оси Y поступают аналогично. Самая большая ордината

= 1314,30,

а самая маленькая

 

=1000,00. Разность

=1314,30-1000,00=314,30.

Изменение

значений координат по оси Y происходит в пределах почти трех

квадратов. Поэтому ось Y оцифрована следующим образом (см. рис. 3).

Рис. 3. Схема оцифровки прямоугольной координатной сетки и нанесения точек вершин полигона на план по вычисленным координатам

22

Для нанесения точек вершин полигона на план по координатам пользуются координатной сеткой. Проследим это на примере с точками

полигона (табл. 2).

 

 

Первая точка основного полигона имеет координаты

= 1000,00,

=

1000,00. Следовательно, она лежит на пересечении координатной сетки. Точка отмечается тонким наколом измерителя и обводится кружком диаметром 1.2- 1.5 мм. Рядом с кружком записывается номер точки.

Вторая точка имеет координаты

1158,12;

=1124,64. Судя

по

координатам, точка 2 лежит выше линии координатной сетки

= 1100,

=

1100 на X = 58,12 м и

Y = 24,64 м. Для нанесения ее на план, от линии

координатной сетки

=1100 по обеим сторонам квадрата измерителем

откладывают вверх приращение X (в масштабе плана) и проводят линию,

параллельно оси ординат (рис. 3).

 

 

 

 

Затем по этой линии от линии координатной сетки

= 1100 откладывают

приращение Y = 24,64. Построенную точку отмечают наколом. Полученное таким образом положение точек 1 и 2 контролируют горизонтальным проложением линии 1-2, равным 201,39 м, которое определяют измерителем по масштабной линейке, и сравнивают его с расстоянием между точками 1 и 2 на плане. Расхождение не должно превышать 0,3 мм. Таким же образом наносятся на план все остальные точки полигона.

4.3. Нанесение на план точек буссольного хода

При прокладывании буссольного хода на местности измеряются длины линий между точками хода и азимуты этих линий.

В нашем примере проложен буссольный ход между точками 3 и 8 (рис. 1). Данные буссольного хода приведены в табл. 1. Обработка буссольного хода заключается в вычислении румбов и горизонтальных проложений сторон хода.

При накладке буссольного хода на план необходимо измеренные прямые магнитные азимуты привести (пересчитать) к варианту заданного дирекционного угла линии 1-2 каждому студенту по формуле

где азимут каждой линии, приведенной к варианту задания; А΄i - измеренный азимут каждой стороны буссольного хода;

23

1 2 - дирекционный угол линии 1-2 теодолитного хода, заданный студенту индивидуально.

Накладка буссольного хода начинается с построения дирекционного угла линии 3-10 с помощью транспортира. Для этого через точку 3 проводят линию, параллельную оси абсцисс и откладывают угол, равный (пересчитанный по формуле 30) в нашем примере 193°50΄.

На полученном направлении в масштабе плана откладывают длину линии 3-10. В рассматриваемом примере она равна 70,80. Так будет построена точка 10 буссольного хода. Затем аналогично откладывается величина следующего дирекционного угла и длина этой линии и наносится следующая точка.

Так строятся все точки хода, причем конечная точка хода в нашем примере 8' должна совпадать с этой же точкой, нанесенной по координатам. Однако вследствие погрешностей, связанных с измерениями на местности и построений, этого совпадения может не быть, т.е. точка 8', нанесенная по дирекционным углам и длинам линий, и точка 8, нанесенная по координатам, не совпадут.

Расстояние между этими точками является невязкой буссольного хода . Полученная невязка не должна превышать допустимой, равной 1:200, т.е.

 

.

(31)

Величина

измеряется на плане в масштабе. В нашем примере

 

= 1 м, а

206 м, тогда

 

.

Так как полученная невязка меньше допустимой, ее распределяют на все стороны способом параллельных линий. Для этого через все наложенные точки буссольного хода проводят линии, параллельные линии невязки, как показано на рис. 4, а.

Затем определяются поправки для каждой точки. Поправки могут определяться аналитически или графически.

Графическое определение поправок заключается в следующем. Вычерчивается отрезок прямой линии АВ (рис. 4, б), на котором откладываются длины линий хода.

24

Рис. 4. Схема распределения невязки методом параллельных линий

По концам отложенных линий записываются номера соответствующих точек. В конечной точке хода восстанавливается перпендикуляр, на котором откладывается взятая с плана невязка буссольного хода. Соединив вершину невязки 8 с начальной точкой 3 и восстановив перпендикуляры во всех точках хода до линии 3-8, получают невязки на остальные линии хода. Эти невязки откладываются измерителем в каждой точке на проведенных линиях в обратную сторону невязке 8-6. После этого все точки перемещаются на величину поправки и соединяются прямыми линиями (рис. 4, а), а первоначально наложенные точки убираются с плана.

4.4. Нанесение ситуации на план

Контуры предметов местности снимаемого участка накладывают на план после того, как все точки теодолитных ходов нанесены по координатам и

25

проверена правильность такой накладки. При этом сначала накладывают такие контуры, которые снимались непосредственно с теодолитных ходов. Для накладки точек, снятых на местности способом перпендикуляров, пользуются линейками и треугольниками, а соответствующие отрезки откладывают циркулем-измерителем по масштабу плана. Для накладки точек по углам и расстояниям пользуются транспортиром и измерителем.

Во всех случаях нанесения ситуации местности необходимо строго руководствоваться всеми записями, сделанными в полевом журнале и абрисе.

5. ВЫЧИСЛЕНИЕ ПЛОЩАДЕЙ

Для вычисления площадей применяются следующие способы: аналитический, графический и механический.

5.1.Вычисление площадей по координатам его вершин

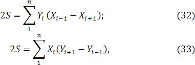
Этим (аналитическим) способом вычисляются площади полигонов, где используют известные значения координат пунктов вершин хода. Площадь полигона (в га) вычисляют в специальной ведомости по формулам:

где n – количество вершин многоугольника; i - номер вершины, возрастающий по ходу движения часовой стрелки.

Пример вычисления площади полигона по формуле (32) показан в табл. 5. Результаты вычислений округляют до сотых долей гектара. Для контроля выполняют повторные вычисления по формуле (33), пользуясь аналогичной схемой.

5.2. Вычисление площади графическим способом

При этом способе участок разбивается на части, имеющие форму простейших геометрических фигур – треугольников, прямоугольников, трапеций и т.д. Элементы для вычисления площадей фигур берутся по масштабу с плана. Для увеличения точности вычисления площади этим способом необходимо по возможности общую площадь разбивать на более