Материал: 4551

Внимание! Если размещение файла нарушает Ваши авторские права, то обязательно сообщите нам

26

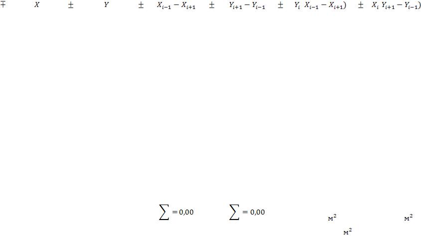
Таблица 5

Вычисление площади полигона по координатам его вершин

№№

 

 

 

 

 

 

 

 

 

 

 

 

 

 

 

точек

 

 

 

 

 

 

 

 

 

(

 

 

 

(

 

границ

 

 

 

 

 

 

 

 

 

 

 

 

 

 

 

контура

 

 

 

 

 

 

 

 

 

 

 

 

 

 

 

 

 

 

 

 

 

 

 

 

 

 

 

 

 

 

 

1

2

3

4

5

6

7

8

9

10

11

 

12

 

13

 

 

 

 

 

 

 

 

 

 

 

 

 

 

 

 

 

1

+

1000,00

+

1000,00

-

305,31

+

83,69

-

305310

 

+

 

83690

 

 

 

 

 

 

 

 

 

 

 

 

 

 

 

 

26

2

+

1158,12

+

1124,64

-

148,94

+

282,43

-

167504

 

+

 

327088

 

 

 

 

 

 

 

 

 

 

 

 

 

 

 

 

 

 

 

3

+

1148,94

+

1282,43

+

161,91

+

189,66

+

207638

 

+

 

217908

 

 

 

 

 

 

 

 

 

 

 

 

 

 

 

 

 

4

+

996,21

+

1314,30

+

332,05

-

39,21

+

436413

 

-

 

39061

 

5

+

816,89

+

1243,22

+

143,40

-

273,35

+

178278

 

-

 

223297

 

6

+

852,81

+

1040,95

-

183,11

-

243,22

-

190608

 

-

 

207420

 

1

+

1000,00

+

1000,00

 

 

 

 

 

 

 

 

 

 

 

 

 

 

 

Контроль

 

 

 

 

 

2S=158907

 

 

2S=158908

 

 

 

 

 

 

 

 

 

 

 

 

 

 

 

 

 

 

 

 

 

 

 

 

 

 

S=79454

=7,94 га

 

27

крупные фигуры, а также по возможности использовать для вычисления результаты измерений, произведенных на местности.

Площади геометрических фигур следует вычислять по два раза так, чтобы при этих вычислениях высоты и основания фигур были разные.

Вторые вычисления необходимы для контроля. Вычисленное значение площади - среднее арифметическое из двух полученных.

5.3. Определение площадей механическим способом

Определение площадей механическим способом производится планиметром.

Планиметром называют механический прибор, предназначенный для обвода плоских фигур на плане с целью определения их площадей.

Схема полярного планиметра показана на рис. 5.

Площади участков до 400 см измеряют с установкой полюса планиметра 0 вне фигуры путем обвода индекса в по ее контуру.

Рис. 5. Схема полярного планиметра:

О - полюс; а - ось вращения; R1 - полюсной рычаг; в - обводной индекс;

ав - ось обводного рычага; R – длина обводного рычага; М - счетный механизм;

К - плоскость счетного ролика; Q - угол между рычагами

Перед началом обвода индекс в устанавливают в исходной точке контура и берут отсчет n1 по счетному механизму M . Удерживая индекс на линии контура, обводят фигуру по ходу часовой стрелки до исходной точки и берут отсчет n2 после обвода. Полученная разность отсчетов ∆n = n2 - n1 показывает выраженную в делениях планиметра площадь обведенной фигуры.

28

Для контроля и повышения точности измерений обводы выполняют не менее двух раз. Допустимые расхождения разностей между повторными обводами при одном положении счетного механизма не должны превышать 4 деления. Если расхождения допустимы, то из двух результатов получают среднее число делений.

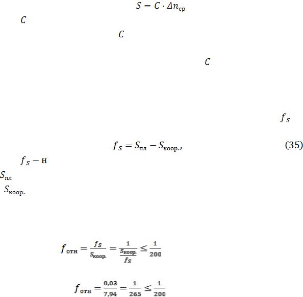
Площадь, определяемую планиметром, вычисляют по формуле

 

 

,

(34)

где

- цена деления планиметра.

 

Цена деления планиметра

- это площадь, соответствующая одному

делению счетного ролика.

 

 

При практическом определении цены деления

многократно обводят

фигуру с известной площадью при фиксированном положении рычага R1. В качестве такой фигуры обычно берут 2 или 3 квадрата координатной сетки. Пример записи результатов измерений приведен в табл. 6. После того, как

будут вычислены площади всех угодий, необходимо определить невязку

по

формуле

 

 

 

где

евязка площади;

 

 

- площадь участка, вычисленная планиметром;

 

 

- площадь участка, вычисленная по координатам.

 

При правильно выполненных измерениях и вычислениях относительная

невязка не должна превышать

1:200, т.е.

 

 

 

.

(36)

В нашем случае

.

 

Если невязка меньше или равна допустимой, то ее распределяют с обратным знаком на все угодия, пропорционально их площади.

29

 

 

 

 

 

 

 

 

 

Таблица 6

 

 

Ведомость вычисления площадей планиметром

 

 

 

 

 

 

 

 

 

 

 

 

 

 

Наименование угодий

Отсчеты

 

 

Цена деления планиметра

 

 

Исправленная площадь, га

 

NN п.п.

 

 

Разность отсчетов

Средняя разность

Площадь га

Поправки

 

До обвода

После обвода

 

 

 

 

 

 

 

 

 

 

 

1

2

3

4

5

6

7

8

9

10

 

 

 

 

 

 

 

 

 

 

 

 

1

Луг

3125

3212

87

88

0,015

1,32

-0,01

1,31

 

 

(включая

2328

2417

89

 

 

 

 

 

 

 

пруд и

 

 

 

 

 

 

 

 

 

 

ручей)

 

 

 

 

 

 

 

 

 

 

 

 

 

 

 

 

 

 

 

 

2

Осина

2121

2201

80

80

 

1,20

 

1.20

 

 

 

1021

1101

80

 

 

 

 

 

 

 

 

 

 

 

 

 

 

 

 

 

3

Береза

4377

4472

95

95

 

1,43

-0,01

1,42

 

 

 

3239

3334

95

 

 

 

 

 

 

 

 

 

 

 

 

 

 

 

 

 

4

Дуб

2793

2865

72

71

 

1,06

 

1,06

 

 

 

2113

2183

70

 

 

 

 

 

 

 

 

 

 

 

 

 

 

 

 

 

5

Ель

8325

8412

87

87

 

1,31

-0,01

1,30

 

 

 

7536

7623

87

 

 

 

 

 

 

 

 

 

 

 

 

 

 

 

 

 

6

Сосна

6539

6601

62

62

 

0,93

 

0,93

 

 

 

5423

5485

62

 

 

 

 

 

 

 

 

 

 

 

 

 

 

 

 

 

7

Пашня

6745

6794

49

48

 

0,72

 

0,72

 

 

 

6191

6238

47

 

 

 

 

 

 

 

 

 

 

 

 

 

 

 

 

 

 

 

 

 

 

 

Итого

7,97

-0,03

7,94

 

 

 

 

 

 

 

 

 

 

 

 

 

Поправки определяются по формуле

 

 

 

 

 

 

 

 

 

,

 

 

 

 

(37)

где - поправка к измеренной площади. Увязанная площадь должна равняться площади, вычисленной по координатам вершин.

30

При обводе фигуры планиметром соблюдают следующие правила:

1.План укладывают, выпрямляют и закрепляют на ровной горизонтальной поверхности;

2.Полюс планиметра устанавливают с таким расчетом, чтобы при обводе фигуры угол Q между рычагами (рис. 5) был не менее 30° и не более 150°. При установке полюса О следует также предварительно проверить, чтобы в процессе обвода счетный ролик не выходил за край листа плана ;

3.Исходную точку установки обводного индекса в выбирают на контуре

стаким расчетом, чтобы угол Q был равен 90°;

4.Обводной индекс необходимо перемещать по контуру плавно, в направлении «на себя» или «от себя».

6. ОФОРМЛЕНИЕ ПЛАНА

Построенный план оформляют тушью и красками в соответствии с условными знаками снятых угодий и объектов местности.

Подписывают координатную сетку. Против линий полигона в виде дроби подписывают румбы в числителе и длины линий - в знаменателе. Черта дроби должна быть параллельна оси ординат и находиться на расстоянии примерно 1см от линии полигона (рис. 6).

В верхней части листа подписывают название землепользователя. С левой стороны плана помещают описание смежных земель. Внизу над планом указывают масштаб плана, слева указывают фамилию исполнителя съемки и составителя плана, а справа – фамилии принимавших и проверяющих полевые и камеральные документы по съемке и составлению плана с личными подписями этих лиц.