Материал: 4551

Внимание! Если размещение файла нарушает Ваши авторские права, то обязательно сообщите нам

16

Относительная невязка (в периметре) теодолитного полигона считается

 

 

 

 

1

 

 

 

 

 

n

 

 

 

 

 

 

 

 

 

 

 

 

 

 

 

допустимой, если она не превышает

 

 

 

 

 

 

периметра

Si , т.е.

1500

 

 

 

 

 

 

 

i 1

 

 

fs

 

 

 

1

 

 

 

 

 

 

 

n

 

 

1500

 

 

 

 

 

(16)

 

 

 

 

 

 

 

 

 

 

Si

 

 

 

 

 

 

 

 

 

 

 

 

 

 

 

 

 

 

 

 

 

 

 

i 1

 

 

 

 

 

 

 

 

 

 

 

 

 

Если невязка в периметре fS оказалась допустимой, то невязки по осям

координат f x и f y распределяют

 

 

 

с

обратным

знаком

пропорционально

горизонтальным проложениям линий согласно отношению

 

 

 

 

 

 

 

 

f x

Si

;

 

(17)

 

X1

 

 

 

 

 

n

 

 

 

 

 

 

 

 

 

 

 

 

Si

 

 

 

 

 

 

 

 

 

 

 

i 1

 

 

 

 

 

 

 

 

 

 

 

 

 

 

f y

Si

 

 

 

 

Y1

 

 

 

 

 

 

 

 

 

 

.

(18)

 

 

 

 

 

 

n

 

 

 

 

 

 

 

 

 

 

 

 

Si

 

 

 

 

 

 

 

 

 

 

 

i 1

 

 

 

 

 

 

 

Например, поправка в приращении линии 1–2 по оси абсцисс будет (табл.2)

X1 0,03 м .

Суммы поправок в приращениях по каждой оси должны быть равны

n

 

 

X

f x ;

(19)

i 1

1

 

 

 

n

 

 

Y

f y ,

(20)

1

 

 

i 1

 

 

то есть соответствующим невязкам по осям координат, взятым с обратными знаками.

Уравненные приращения координат Xi ,

Yi

находят по формулам

 

X iисп.

X iпр.

 

X

;

(21)

 

 

 

 

i

 

Yiисп.

Yiпр.

Y .

 

 

(22)

 

 

i

 

 

 

Полученные значения записывают в графы 12 и 14. Алгебраические суммы уравненных приращений должны быть равны нулю (табл. 2).

17

2.5. Вычисление координат точек полигона

Для вычисления координат точек полигона необходимо знать координаты одной точки полигона. Координаты исходной точки получают путем привязки к пунктам опорной геодезической сети. Если геодезическая привязка не производилась, то одной точке полигона дают условные координаты X и Y. В нашем примере координаты первой точки приняты равными

 

Х1 = 1000,00 м,

Y1 = 1000,00 м.

Плоские прямоугольные координаты остальных точек полигона

вычисляют по формулам:

 

 

 

 

 

 

 

 

;

(23)

 

 

 

 

.

(24)

Например

X 2

X 1

Xiисп. 1000 ,00 158,12

1158 ,12( м ),

Y2

Y 1

Yiисп.

1000 ,00

124,64 1124 ,64( м ) .

При их вычислении должны получиться координаты конечного исходного пункта, что служит контролем правильности вычислений.

3. МАТЕМАТИЧЕСКАЯ ОБРАБОТКА ТЕОДОЛИТНОГО ХОДА, ПРОЛОЖЕННОГО МЕЖДУ ДВУМЯ ПУНКТАМИ

(диагональный ход)

Диагональный теодолитный ход увязывают в той же последовательности, как и замкнутый. На рис. 1 показан диагональный ход, примыкающий к двум сторонам 3-4 и 6-1 замкнутого полигона. При этом измерялись правые (по ходу) горизонтальные углы.

Математическую обработку выполняют в следующем порядке:

1. В графу I (табл. 4) выписывают номера всех точек по ходу, начиная с исходной (точка 4) и кончая точкой 6. Пример на увязку хода 4-8-7-6 приведен в табл. 4 .

Исходными данными для обработки диагонального хода являются дирекционные углы и и координаты точек 4 и 6.

18

2.В графу 2 табл. 4 выписывают углы по ходу, начиная и кончая примычными углами, измеренными при начальной и конечной точках, и подсчитывают сумму углов.

3.В графу 4 по направлению хода вписывают дирекционные углы исходных линий.

4.При уравнивании углов их фактическую невязку определяют по

формуле

где

измеренные горизонтальные углы ;

- дирекционный угол

начальной линии ;

 

- дирекционный угол конечной лини; n - число углов в

ходе, включая примычные.

 

В нашем примере

= -0°02'.

 

Полученную невязку сравнивают с допустимой.

Так как теодолитный ход опирается на дирекционные углы ранее проложенных ходов, то на угловую невязку хода, помимо погрешностей измерений углов, влияют погрешности исходных дирекционных углов, поэтому допустимую угловую невязку определяют по формуле

 

.

(26)

В нашем примере

= 0°04΄.

 

Угловые поправки

распределяют так же, как и в полигоне, на все углы

хода.

5.Вычисляют дирекционные углы, а затем румбы сторон хода так же, как

ив замкнутом полигоне. Контролем правильности уравнивания углов служит получение дирекционного угла конечной линии. В нашем примере = =344°28΄.

6.Вычисляют горизонтальные проложения линий и записывают в графу 6

табл. 4 .

7.Вычисляют приращения координат по формулам (11, 12).

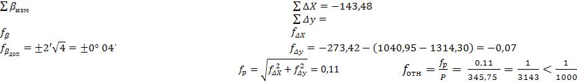
8.Невязки в приращениях координат и вычисляют по формулам

.

19

Таблица 4

Ведомость вычисления координат вершин теодолитного хода (диагональный ход)

Внутренние углы

Дирек-

Румбы

 

Длины

 

Приращение

Приращения

 

 

 

Координаты

 

то

 

 

ционные

линий

 

линий

 

вычисленные

исправленные

 

 

 

 

 

 

чек

Измерен-

Исправ-

углы

 

 

 

±

Х

 

±

 

У

±

Х

 

±

У

±

Х

±

У

 

 

ные

ленные

 

 

 

 

 

 

 

 

 

 

 

 

 

 

 

 

 

 

 

 

 

 

 

 

 

 

 

 

 

 

 

 

 

 

 

 

 

 

 

 

 

 

 

1

2

3

4

5

 

6

7

8

 

9

 

10

11

12

 

13

14

15

16

17

18

 

3

+01΄

 

 

 

 

 

 

 

 

 

 

 

 

 

 

 

 

 

 

 

 

 

 

68° 17΄

68° 18΄

 

 

 

 

 

 

 

 

 

 

 

 

 

 

 

 

 

 

 

 

 

 

 

 

 

 

 

 

 

 

 

 

 

 

 

 

 

 

 

 

 

 

 

 

 

 

168° 12΄

 

 

 

 

 

 

 

 

 

 

 

 

 

 

 

 

 

 

 

 

 

 

 

 

 

 

 

 

 

 

 

 

 

 

 

 

 

 

 

 

 

 

4

+01΄

 

 

 

 

 

 

 

 

 

 

 

 

 

 

 

 

+

996,21

+

1314,30

 

 

243° 37΄

243° 38΄

 

 

 

 

 

 

 

 

 

 

 

 

 

 

 

 

 

 

 

 

 

 

 

279°54΄

Сз:80° 06΄

 

115.65

+

19,88

 

+

 

113,93

+

19,91

 

+

113,91

 

 

 

 

19

 

 

 

 

 

 

 

 

 

 

 

 

 

 

 

 

 

 

 

 

 

 

 

 

 

 

 

 

 

 

 

 

 

 

 

 

 

 

 

 

 

 

 

 

 

8

165° 36΄

165° 36΄

 

 

 

 

 

 

 

 

 

 

 

 

 

 

 

+

1016,12

+

1200,39

 

 

 

 

 

 

 

 

 

 

 

 

 

 

 

 

 

 

 

 

 

 

 

 

 

 

 

216°16΄

Юз36° 16΄

 

101.60

-

81,92

 

-

 

60,10

-

81,90

 

-

60,08

 

 

 

 

 

 

 

 

 

 

 

 

 

 

 

 

 

 

 

 

 

 

 

 

 

 

 

 

7

165° 36΄

165° 36΄

 

 

 

 

 

 

 

 

 

 

 

 

 

 

 

+

934,22

+

1140,31

 

 

 

 

 

 

 

 

 

 

 

 

 

 

 

 

 

 

 

 

 

 

 

 

 

 

 

230°40΄

Юз50° 40΄

 

128.50

-

81,44

 

-

 

99,39

-

81,41

 

-

99,36

 

 

 

 

 

6

66 °12΄

66 °12΄

 

 

 

 

 

 

 

 

 

 

 

 

 

 

 

+

852,81

+

1040,95

 

 

 

 

 

 

 

 

 

 

 

 

 

 

 

 

 

 

 

 

 

 

 

 

 

 

 

344°28΄

 

 

 

 

 

 

 

 

 

 

 

 

 

 

 

 

 

 

 

 

 

 

 

 

 

 

 

 

 

 

 

 

 

 

 

 

 

 

 

 

 

 

1

 

 

 

 

 

 

 

 

 

 

 

 

 

 

 

 

 

 

 

 

 

 

 

=543°42΄

 

 

 

P=345,75

 

 

 

 

 

 

 

 

 

 

 

 

 

 

 

 

 

 

 

 

 

 

 

 

 

-273,42

 

 

 

 

 

 

 

 

 

 

 

=543°42΄- (168°12΄- 344°28΄+180°· 4)= -0° 02΄

 

 

 

= -143,48-(852,81-996,21) = -0,08

 

 

 

 

 

 

 

 

20

В нашем примере

);).

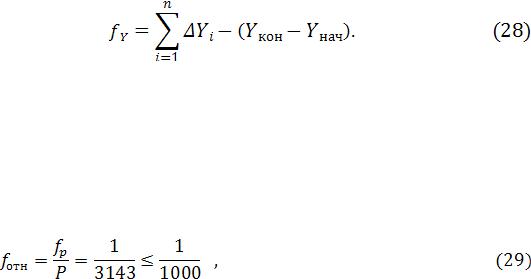
Абсолютную невязку вычисляют по формуле (15)

=0,11(м).

Затем вычисляют относительную невязку и сравнивают ее с допустимой невязкой, определяемой по формуле

где P - длина хода от начальной до конечной точки.

Если невязка допустима, то ее распределяют пропорционально длинам линий хода по формулам (17, 18). Уравненные приращения координат записывают в графы 12 и 14 табл 4.

9. Последовательно вычисляют координаты всех точек разомкнутого хода по формулам (23, 24).

4. ПОСТРОЕНИЕ ПЛАНА

4.1. Построение прямоугольной координатной сетки

Построение координатной сетки выполняют на листе плотной чертѐжной бумаги. При оформлении плана небольших участков местности сетку квадратов можно разбить следующим простым способом. С угла на угол листа бумаги тонко очиненным карандашом проводят две диагонали.

Из точки пересечения диагоналей откладывают циркулем-измерителем четыре равных отрезка. Соединив концы отрезков прямыми линиями, получают прямоугольник, который служит основой для последующей разбивки координатной сетки. На сторонах прямоугольника при помощи циркуляизмерителя откладывают отрезки длиной 5 см.

Соединив линиями соответствующие точки противоположных сторон прямоугольника, получают сетку квадратов. Правильность построения сетки проверяют сравнением диагоналей квадратов и длин их сторон.

Расхождения сторон квадратов не должны превышать ±0,2 мм. Линии координатной сетки, кратные 100 м, оцифровывают и подписывают в соответствии со значениями координат вершин полигона.