Материал: 4551

Внимание! Если размещение файла нарушает Ваши авторские права, то обязательно сообщите нам

11

2. МАТЕМАТИЧЕСКАЯ ОБРАБОТКА ТЕОДОЛИТНЫХ ХОДОВ

2.1. Уравнивание углов полигона

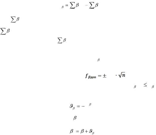
При математической обработке полевых измерений из полевого журнала записываются в ведомость вычисления координат (табл. 2), значения углов полигона в графу 3, а меры линий в графу 6. Вычисляют сумму углов графы 3 и записывают ее в этой же графе внизу. Затем вычисляют угловую невязку fβ по формуле

 

 

 

 

n

 

 

 

 

 

 

 

 

 

 

f

 

изм

 

 

теор ,

 

 

 

(1)

 

 

 

 

1

 

 

 

 

 

 

 

 

 

n

 

 

 

 

 

 

 

 

 

 

 

где

изм

– сумма измеренных углов (практическая);

 

 

 

 

 

1

 

 

 

 

 

 

 

 

 

 

 

 

теор

– теоретическая сумма углов для полигона.

 

 

 

 

 

 

 

теор = 180º·( n - 2),

 

 

 

(2)

 

где n – число углов в полигоне.

 

 

 

 

 

 

В нашем примере (табл.

2) f = + 0°01,5'. Полученную невязку

необходимо сравнить с допустимой, которая вычисляется по формуле

 

 

 

 

 

 

 

 

 

1 ΄

.

 

 

(3)

 

Если

фактическая

невязка

 

допустима,

т.е. f изм

f

доп ,

тогда

ее

распределяют на каждый угол по формуле

 

 

 

 

 

 

 

 

 

 

 

f

 

 

 

 

 

 

 

.

 

 

 

 

 

 

 

 

(4)

 

 

 

 

 

n

 

 

 

Исправленное значение угла

'

вычисляют по формуле (5)

и записывают в

 

 

 

 

 

 

 

 

 

 

 

 

графу 3

 

 

'

 

 

 

 

 

 

 

 

 

 

 

 

 

 

 

 

 

 

 

 

 

 

 

 

 

 

 

 

 

 

 

(5)

 

Сумма всех поправок для углов должна

равняться

невязке,

взятой

с

обратным знаком, а сумма исправленных углов – ее теоретическому значению. Полученная невязка очень редко делится на п без остатка. Тогда возникает необходимость в одни углы вводить большие поправки, чем в другие. Так как углы, заключенные между короткими сторонами, измеряются с большей погрешностью (вследствие погрешностей центрирования и визирования теодолита), чем углы, заключенные между длинными сторонами, то большие поправки вводят в углы, заключенные между короткими сторонами. Поэтому в нашем примере углы при точках 1, 3 получили большие поправки, округленные до целых минут.

12

 

 

 

 

 

 

 

 

 

 

 

 

 

 

 

 

 

 

 

Таблица 2

 

 

 

 

Ведомость вычисления координат вершин теодолитного хода

 

 

 

 

 

 

 

 

 

 

 

 

 

 

 

 

 

 

 

 

 

 

 

 

 

 

 

№ то

Внутренние углы

Дирек-

Румбы

 

Длины

 

Приращение

Приращения исправленные

 

Координаты

 

чек

 

 

ционные

линий

 

линий

 

вычисленные

 

 

 

 

 

 

 

 

 

 

 

 

Измерен-

Исправ-

углы

 

 

 

±

Х

±

У

±

Х

 

±

У

±

Х

±

 

У

 

 

ные

ленные

 

 

 

 

 

 

 

 

 

 

 

 

 

 

 

 

 

 

 

1

2

3

4

5

 

6

7

8

9

10

11

12

 

13

14

15

16

17

 

18

 

1

-01’

 

 

 

 

 

 

 

 

 

 

 

 

 

 

+

1000,00

+

 

1000,00

 

 

126°14΄

126° 13΄

 

 

 

 

 

 

 

 

 

 

 

 

 

 

 

 

 

 

 

 

 

 

38 °15 ΄

св: 38° 15΄

 

201,39

+

-0,03

+

-0,04

+

158,12

 

+

124,64

 

 

 

 

 

 

 

 

 

 

 

 

 

 

158,15

 

124,68

 

 

 

 

 

 

 

 

 

 

 

2

124° 56 ΄

124° 56΄

 

 

 

 

 

 

 

 

 

 

 

 

 

+

1158,12

+

 

1124,64

 

 

 

 

 

 

 

 

 

 

 

 

 

 

 

 

 

 

 

 

 

 

 

 

 

 

93° 19΄

юв:86° 41΄

 

158,09

-

-0,03

+

-0,03

-

9,18

 

+

157,79

 

 

 

 

 

 

 

 

 

 

 

 

 

 

9,15

 

157,82

 

 

 

 

 

 

 

 

 

 

 

3

-0,5΄

 

 

 

 

 

 

 

 

 

 

 

 

 

 

+

1148,94

+

 

1282,43

 

 

105 °07,5΄

105° 07΄

 

 

 

 

 

 

 

 

 

 

 

 

 

 

 

 

 

 

12

 

 

 

168° 12΄

юв:11° 48΄

 

156,00

-

-0,03

+

-0,03

-

152,73

 

+

31,87

 

 

 

 

 

 

 

 

 

 

 

 

 

 

 

 

 

 

 

 

 

 

 

 

152,70

 

31,90

 

 

 

 

 

 

 

 

 

 

 

4

146° 35 ΄

146° 35΄

 

 

 

 

 

 

 

 

 

 

 

 

 

+

996,21

+

 

1314,30

 

 

 

 

 

 

 

 

 

 

 

 

 

 

 

 

 

 

 

 

 

 

 

 

 

 

201° 37΄

юз : 21° 37΄

 

192,85

-

-0,03

-

-0,04

-

179,32

 

-

71,08

 

 

 

 

 

 

 

 

 

 

 

 

 

 

179,29

 

71,04

 

 

 

 

 

 

 

 

 

 

 

 

 

 

 

 

 

 

 

 

 

 

 

 

 

 

 

 

 

 

 

 

 

5

101° 32΄

101° 35΄

 

 

 

 

 

 

 

 

 

 

 

 

 

+

816,89

+

 

1243,22

 

 

 

 

 

 

 

 

 

 

 

 

 

 

 

 

 

 

 

 

 

 

 

 

 

 

280° 05΄

сз : 79° 55΄

 

205,40

+

-0,04

-

-0,04

+

35,92

 

-

202,27

 

 

 

 

 

 

 

 

 

 

 

 

 

 

35,96

 

202,23

 

 

 

 

 

 

 

 

 

 

 

6

115° 37΄

115° 37΄

 

 

 

 

 

 

 

 

 

 

 

 

 

+

852,81

+

 

1040,95

 

 

 

 

 

 

 

 

 

 

 

 

 

 

 

 

 

 

 

 

 

 

 

 

 

 

344° 28΄

сз : 15° 32 ΄

 

152,80

+

-0,03

-

-0,03

+

147,19

 

-

-40,95

 

 

 

 

 

 

 

 

 

 

 

 

 

 

147,22

 

40,92

 

 

 

 

 

 

 

 

 

 

 

 

 

 

 

 

 

 

 

 

 

 

 

 

 

 

 

 

 

 

 

 

 

1

 

 

 

 

 

 

 

 

 

 

 

 

 

 

 

+

1000,00

+

 

1000,00

 

 

 

 

 

 

 

 

 

 

 

 

 

 

 

 

 

 

 

 

 

 

 

 

=720°01,5΄

 

 

 

Р=1066,53

 

=+0,19

 

=+0,21

 

= 0

 

= 0

 

 

 

 

 

 

 

=720°00΄

 

 

 

 

 

 

 

 

 

 

 

 

=

 

 

 

 

 

 

 

=+0°01,5΄

1 ΄ = 0°02,4΄

= =

13

2.2. Вычисление дирекционных углов и румбов сторон хода

Для получения координат точек полигона нужно знать дирекционные углы и горизонтальные проложения линий. Зная дирекционный угол одной линии, можно вычислить дирекционные углы всех остальных линий полигона.

 

В нашем примере (табл. 2) в качестве исходного взят дирекционный угол

1 2 = 38°15' линии 1–2, условно равный магнитному азимуту.

 

 

Дирекционные углы сторон Si теодолитного хода (i =1, 2, ...,n) вычисляют

по формуле

i 1 180

i ,

 

 

i

(6)

 

 

 

 

где i

дирекционный угол последующей линии;

 

i

1 – дирекционный угол предыдущей линии;

 

i– исправленный внутренний угол полигона, лежащий справа по ходу. Для нашего примера

2

3

1

2

180

2

38 15'

180

124 56

93 19'.

 

 

 

 

 

Последовательно вычисляя дирекционные углы остальных сторон хода,

должны получить исходный дирекционный угол, т.е.

 

1 2

6

1

180

1

344 28'

180

126 13'

38 15'.

 

 

 

 

 

Это служит контролем вычисления дирекционных углов. Вычисленные дирекционные углы переводят в румбы линий полигона, записывают в графу 5, исходя из следующих зависимостей:

СВ r , 0 90,

ЮВ r 180 , ( 90 180 ),

ЮЗ r

180 , ( 180 270 ),

(7)

СЗ r 360 , ( 270 360 ),

где r – румб (угол),

дирекционный угол.

2.3.Вычисление горизонтальных проложений линий и расстояний,

недоступных для измерения лентой

Для изображения фигуры местности на горизонтальной плоскости следует знать горизонтальные проложения ее сторон. Их вычисляют по формуле

14

 

S S ' cos ,

(8)

где S – горизонтальное проложение линии, м;

 

S' – измеренное наклонное расстояние линии, м;

 

В практике встречаются случаи, когда линию нельзя измерить лентой из-за препятствий, пересекаемых линией, – река, болото, овраг и т.д. На рис. 2 приведен наиболее часто встречающийся случай.

Для определения недоступного расстояния

измеряют: мерной

лентой-базис

теодолитом - горизонтальные углы

и .

Рис. 2. Схема определения расстояний, недоступных для измерения мерной лентой

Значение искомого расстояния вычисляют по теореме синусов:

(9)

Для контроля измеряют базис b, углы α и β и вычисляют повторно по формуле

=

.

(10)

Относительное расхождение в двух вычислениях допускается не

1

более 1000 .

15

2.4. Вычисление и уравнивание приращений координат

Приращения координат X и

Y сторон хода находят по формулам

 

 

 

 

 

 

 

 

 

 

 

X iпр.

Si

cos

i

ri ,

(11)

 

 

 

 

 

 

 

ri .

(12)

Yiпр.

 

 

Si

sin

i

Знаки каждого приращения зависят от направления линии и определяются в зависимости от величины дирекционных углов или названий четвертей румбов. Для определения знаков приращений координат можно пользоваться данными табл. 3.

 

Таблица 3

Знаки приращений координат

 

 

Название румба линии

Знаки приращений

 

 

X

Y

 

 

 

 

 

 

Северо-восток (СВ)

+

+

 

 

 

 

 

 

 

Юго-восток (ЮВ)

+

 

 

 

 

 

 

 

Юго-запад (ЮЗ)

 

 

 

 

 

 

Северо-запад (СЗ)

+

 

 

 

 

 

 

 

 

 

 

Знаки приращений записывают в графы 7 и 9, а абсолютные их значения

– в графы 8 и 10 (табл. 2). Невязки в приращениях координат находят по формулам

n

n

 

X i теор. 0,

Yi теор. 0.

(13)

i 1

i 1

 

Алгебраическая сумма приращений координат в полигоне по каждой оси должна быть равна нулю, отличие от нуля и будет являться фактической невязкой, следовательно

n

 

 

 

f x

 

X i

 

i 1

.

(14)

n

 

 

f y

 

Yi

 

i

1

 

 

Абсолютную величину линейной невязки хода подсчитывают по формуле

fабс

f 2 fY2 .

(15)