Материал: 4460

Внимание! Если размещение файла нарушает Ваши авторские права, то обязательно сообщите нам

21

Транспортная подвижность существенно возрастает при увеличении численности населения города, что объясняется расширением городской территории и пропорциональным возрастанием средней дальности передвижений. Это явление описывается приближенной зависимостью Зирберталя:

 

 

 

 

ln a б Кпл F ,

(3.2)

где ln - средняя дальность передвижения пассажира, км;

а и б - коэффициенты, определяемые по результатам обследования (в

среднем а =1,2…1,3; б = 0,15…0,25);

Кпл - коэффициент планировочной структуры города, равный примерно - 1,4 при радиальной (Р), 0,9 - при радиально-кольцевой (Р-К)и 1,0 - при прямоугольной (ПР) планировке города;

F - селитебная площадь (площадь расселения) городской территории, кв.м.

F Sкв.км ,

(3.3)

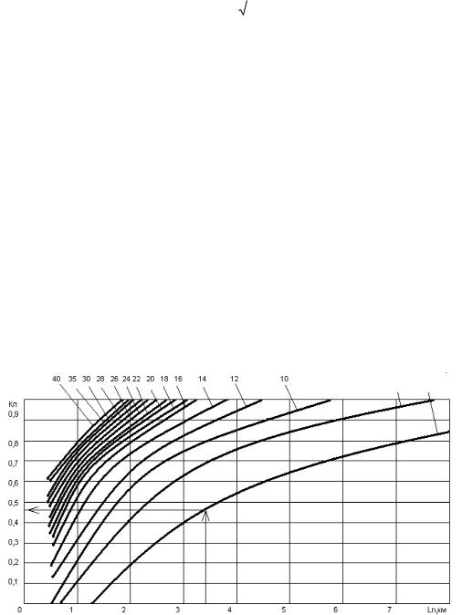
Доля транспортных передвижений от их общего числа определяется коэффициентом пользования транспортом Кп, зависящим от дальности передвижения с использованием транспорта (рис.3.1). В городах практически все передвижения на расстояние до 500 метров осуществляются пешком, а начиная примерно с 2 км подавляющее число передвижений транспортные.

V = 6 км/ч

Рис.3.1. Определение коэффициента пользования транспортом Кп: Lп - дальность передвижения; V - скорость передвижения.

22

Транспортные передвижения изучают в разрезе видов транспорта, целей и времени совершение поездки. В зависимости от целей рассматривают поездки:

1)трудовые – на работу и с работы. Эти передвижения наиболее устойчивы и в городах составляют 50…60 % поездок на маршрутах ГПТ.

2)учебные – поездки учащихся в учебные заведения и обратно, также имеют устойчивый характер с перерывами на время каникул.

3)культурно-бытовые – поездки по различным личным и бытовым нуждам граждан, являющиеся эпизодическими и существенно зависящие от доходов, социального статуса, рода занятий и возраста пассажиров.

4)служебные – поездки, совершаемые в рабочее время пассажира в связи

спроизводственной необходимостью.

На основании данных приведенных в таблице, определить:

1.Транспортную подвижность населения.

2.Среднюю дальность передвижения пассажира.

3.По номограмме определить коэффициент пользования транспортом.

 

 

 

 

 

 

 

Таблица 3.2

 

 

Исходные данные по вариантам

 

 

 

 

 

 

 

 

 

 

 

 

Q, тыс.

Nнас, число

Площадь го-

% расселе-

 

Vдв, км/ч

 

Кпл

п/п

пасс. в год

жителей, тыс.

рода S, кв. км

ния,

 

 

 

 

 

 

чел.

 

 

 

 

 

 

 

 

 

 

 

 

 

 

 

1

2

3

4

5

 

6

 

7

 

 

 

 

 

 

 

 

 

1

190000

1000

120

44

 

6

 

Р

 

 

 

 

 

 

 

 

 

2

175000

1000

110

40

 

8

 

Р-К

 

 

 

 

 

 

 

 

 

3

180000

950

115

50

 

10

 

ПР

 

 

 

 

 

 

 

 

 

4

180000

1000

105

35

 

18

 

Р-К

 

 

 

 

 

 

 

 

 

5

160000

900

100

35

 

20

 

Р-К

 

 

 

 

 

 

 

 

 

6

150000

750

100

40

 

12

 

ПР

 

 

 

 

 

 

 

 

 

7

145000

700

100

45

 

28

 

ПР

 

 

 

 

 

 

 

 

 

8

140000

600

100

30

 

40

 

Р-К

 

 

 

 

 

 

 

 

 

9

130000

600

95

50

 

14

 

Р

 

 

 

 

 

 

 

 

 

10

120000

500

95

55

 

30

 

Р

 

 

 

 

 

 

 

 

 

11

110000

550

95

45

 

35

 

Р-К

 

 

 

 

 

 

 

 

 

12

100000

450

95

40

 

16

 

ПР

 

 

 

 

 

 

 

 

 

23

Окончание таблицы 3.2

13

90000

300

95

35

18

Р

 

 

 

 

 

 

 

14

80000

300

90

55

22

Р

 

 

 

 

 

 

 

15

70000

250

90

60

26

Р-К

 

 

 

 

 

 

 

16

60000

200

90

50

24

ПР

 

 

 

 

 

 

 

17

50000

180

90

45

28

Р

 

 

 

 

 

 

 

18

50000

160

85

45

40

Р-К

 

 

 

 

 

 

 

19

55000

140

85

40

12

ПР

 

 

 

 

 

 

 

20

45000

120

85

50

35

Р-К

 

 

 

 

 

 

 

21

45000

110

85

55

8

Р

 

 

 

 

 

 

 

22

50000

100

80

45

16

Р-К

 

 

 

 

 

 

 

23

45000

100

75

50

6

Р-К

 

 

 

 

 

 

 

24

50000

95

70

45

14

ПР

 

 

 

 

 

 

 

25

55000

90

65

45

10

Р

 

 

 

 

 

 

 

26

50000

80

60

50

35

Р-К

 

 

 

 

 

 

 

27

35000

70

55

45

20

ПР

 

 

 

 

 

 

 

28

30000

60

50

35

28

Р

 

 

 

 

 

 

 

29

25000

55

45

40

12

Р-К

 

 

 

 

 

 

 

Контрольные вопросы

1.Как определяется транспортная подвижность населения?

2.Как определяется средняя дальность передвижения пассажира?

3.Назовите основные цели поездок на городском пассажирском транс-

порте.

4.В чем выражается зависимость Зирберталя?

5.Чем определяется доля транспортных передвижений?

24

Практическая работа № 4

Определение стоимости сертификационных работ

Вопрос стоимости сертификационных работ имеет важнейшее значение при проведении сертификации систем качества. В настоящее время выделяют три основных варианта ее определения: договорное, статистическое, аналитическое.

Договорное определение стоимости.

Определение стоимости сертификационных работ происходит на договорной основе, так как:

во-первых, сертификация систем качества для предприятия – акция добровольная, значит орган по сертификации (ОС) может назначать стоимость ра-

бот, а предприятие-заявитель – соглашаться или не соглашаться с предложением. Это расценивается как дискриминация заявителя, которая, согласно требованиям Системы сертификации ГОСТ Р, должна быть полностью исключена;

во-вторых, из-за отсутствия объективной методики оценки трудоемкости и стоимости сертификационных работ договорная форма определения стоимости считается наиболее приемлемой и распространенной.

Статистическое определение стоимости Этот вариант определения стоимости сертификационных работ основан

на опыте сертификации систем качества аналогичных предприятий.

Для полноправного статистического определения стоимости сертификационных работ необходимо располагать представительным объемом информации. Однако получить ее весьма затруднительно, поскольку такая информация является коммерческой тайной и огласке не подлежит.

Но даже если информация о стоимости работ получена в достаточном объеме, она все равно не может быть эффективно использована. Причина в том, что од-

новременно должна быть получена информация о некоторых параметрах сертифицированных предприятий и характере выпускаемой продукции, чтобы установить

25

соответствующие корреляционные зависимости, позволяющие с определенной дос-

товерностью рассчитывать стоимость сертификационных работ.

Одним из методов расчета стоимости сертификационных работ, имею-

щих якобы статистическую основу, является расчет по параметру численности персонала на предприятии с учетом модели, на соответствие которой проводит-

ся сертификация. Подобным образом проводят подсчет трудоемкости многие зарубежные сертификационные фирмы. Аналогичная методика в виде рекомен-

даций была разработана Госстандартом России, где трудоемкость работ оп-

ределяется в непосредственной зависимости от численности персонала. Не из-

менился подход и в новом документе. Такой подход считается многими спе-

циалистами принципиально неправильным.

Аналитическое определение стоимости В ОССК МАШ разработана аналитическая методика определения стои-

мости работ по сертификации, которая складывается из двух этапов.

1. Определение трудоемкости сертификационных работ Трудоемкость работ по сертификации систем качества, в общем виде

складывается из трех составляющих:

Tсск Тп. р Тоф Тос ,

(4.1)

где Тп.р., Тоф - общая трудоемкость соответственно подготовительных работ и оформления результатов сертификации;

Тос - трудоемкость основных работ по сертификации.

Общая трудоемкость подготовительных работ и оформления результатов сертификации являются условно-постоянными слагаемыми трудоемкости про-

ведения сертификационных работ. Эти показатели не зависят от сложности ор-

ганизационной структуры и объектов производства, Т1п.р. и Т1оф, а зависят лишь от сложности организационной структуры, Т2п.р. и Т2оф зависят от сложности как организационной структуры, так и объектов производства, Т3п.р. и Т3оф. Состав-

ляющие этих работ и конкретные значения трудоемкости отдельных их видов