Материал: 4305

Внимание! Если размещение файла нарушает Ваши авторские права, то обязательно сообщите нам

 

 

 

 

 

 

 

 

 

21

 

 

 

 

 

 

 

 

 

 

 

 

 

 

 

 

 

 

 

 

 

 

 

 

 

 

 

 

 

 

 

 

 

 

 

 

Таблица 2

 

 

 

 

 

 

 

 

Ведомость вычисления координат

 

 

 

 

 

 

 

 

 

 

 

№№

Внутренние углы

 

 

Дирекци-

Румбы

Длина линий, d

Приращения

 

Приращения

Координа-

то-

 

 

 

 

 

 

онные

линий, r

горизонтальное

вычисленные

 

исправленные

ты

 

чек

измерен-

 

исправленуглы, α

 

проложение

 

 

Х

 

 

У

 

 

Х

 

 

У

Х

У

 

ные

 

ные

 

 

(азимуты)

 

 

 

 

 

 

 

 

 

 

 

 

 

 

 

 

1

 

2

 

3

 

 

4

5

6

 

 

7

 

 

8

 

 

9

 

 

10

11

12

 

 

 

 

 

 

 

 

Замкнутый ход

 

 

 

 

 

 

 

 

 

 

 

 

 

 

1

83°23΄

 

83°23΄

 

 

 

 

 

 

 

 

 

 

 

 

 

 

 

 

 

0,00

0,00

 

 

-0°01΄

 

 

 

 

145°26΄

ЮВ34°34΄

245,07

-201,72

 

139,05

 

….

 

 

….

 

 

2

90°46΄

 

90°45΄

 

 

 

 

 

 

 

 

 

 

 

 

 

 

 

 

 

…..

……

 

 

-0°01΄

 

 

 

 

234°41΄

ЮЗ 54°41΄

320,99

 

 

…..

 

……

 

….

 

 

 

21

 

 

 

 

 

 

 

 

 

 

 

 

 

 

3

78°36΄

 

78°35΄

 

 

 

 

 

 

 

 

 

 

 

 

 

 

 

 

 

…..

……

 

 

 

 

 

 

 

336°06΄

СЗ 23°54΄

221,67

 

 

….

 

 

….

 

 

…..

 

 

….

 

 

4

107°17΄

 

107°17΄

 

 

 

 

 

 

 

 

 

 

 

 

 

 

 

 

….

……

 

 

 

 

 

 

 

48°49΄

СВ 48°49΄

280,85

 

 

…..

 

 

…..

 

….

 

 

….

 

 

1

 

 

 

 

 

 

 

 

 

 

 

 

 

 

 

 

 

 

 

 

 

0,00

0,00

 

Σ=360°02΄

 

 

 

 

 

Р=1068,58

f

 

;

 

f

 

;

 

 

 

 

 

 

 

f

П

180

(n

2)

f

доп

2t n

 

 

 

f

 

f

2

f

2

f

 

f

обс

1

 

 

 

 

 

абс

 

Y

отн

Р

1000

 

 

 

 

 

 

 

 

 

 

 

 

 

 

 

 

 

 

 

 

 

 

 

 

 

 

 

 

 

 

 

 

 

 

 

 

 

 

 

 

 

22

4. Переводят дирекционные углы в румбы (графа 5). Зависимость между дирекционными углами и румбами, а также знаки приращений координат приведены в табл. 3.

 

 

 

 

 

 

 

Таблица 3

 

 

Знаки приращения координат

 

 

 

 

 

 

 

 

 

 

 

Номер

Название

Дирекционные

Румбы, r

 

 

Знаки

четверти

румба

углы, α

 

 

 

 

 

 

 

ΔX

 

ΔΥ

 

 

 

 

 

 

 

 

I

СВ

0°-90°

r=α

 

+

 

+

 

 

 

 

 

 

 

 

II

ЮВ

90°-180°

r=180°-α

 

_

 

+

 

 

 

 

 

 

 

 

III

ЮЗ

180°-270°

r=α-180°

 

_

 

_

 

 

 

 

 

 

 

 

IV

СЗ

270°-360°

r=360°-α

 

+

 

_

 

 

 

 

 

 

 

 

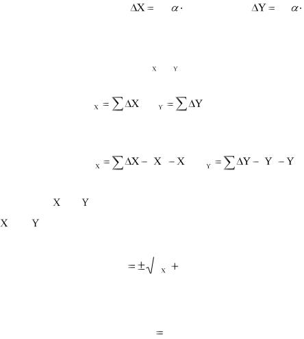
5. По дирекционным углам и горизонтальным проложениям сторон вычисляют приращения координат (графа 7 и 8) по формулам:

 

 

 

 

cos

S ;

sin

S

(9)

Вычисление выполняют с помощью калькулятора. Определяют невязки

в приращениях координат f

, f .

 

 

 

 

 

а) для замкнутого хода:

 

 

 

 

 

 

 

 

f

 

;

f

 

 

;

 

 

(10)

б) для разомкнутого хода :

 

 

 

 

 

 

f

 

(

к

н ); f

( к

н );

(11)

где

н и н

– координаты начальной точки хода;

 

к и к

– координаты конечной точки хода.

 

 

 

Абсолютную величину линейной невязки хода подсчитывают по формуле

 

 

 

 

 

 

 

 

 

 

 

 

 

 

 

f

абс

f 2

f

2

 

 

 

(12)

 

 

 

 

 

 

Y

 

 

 

Относительная ошибка вычисляется по формуле:

 

 

 

 

fотн

 

f

обс

 

.

 

 

(13)

 

 

 

 

 

 

 

 

 

 

Р

23

Если относительная ошибка хода:

f

 

fобс

 

1

,

(14)

отн

Р

1000

 

 

 

 

то производят исправление вычисленных значений приращений координат. Поправки приращений вносят в приращения координат со знаками про-

тивоположным знакам невязки.

Исправленные значения приращений координат записывают в графы 9 и

10ведомости.

6.По исправленным приращениям и последовательно вычисляют координаты точек теодолитного хода.

Все записи в ведомости вычисления координат выполняют чернилами с указанием на еѐ лицевой стороне номера и состава бригады, даты и фамилии вычислителей.

5. Составление плана. Отчетные документы

Составление плана начинают с разбивки прямоугольной координатной сетки на квадраты со сторонами 5 или 10 см.

Построение координатной сетки выполняют на листе плотной чертѐжной бумаги. При оформлении плана небольших участков местности сетку квадратов можно разбить следующим простым способом. С угла на угол листа бумаги тонко очиненным карандашом проводят две диагонали.

Из точки пересечения диагоналей откладывают циркулем-измерителем четыре равных отрезка. Соединив концы отрезков прямыми линиями, получают прямоугольник, который служит основой для последующей разбивки координатной сетки. На сторонах прямоугольника при помощи циркуля-измерителя откладывают отрезки (5 или 10 см).

Соединив линиями соответствующие точки противоположных сторон прямоугольника, получают сетку квадратов. Правильность построения сетки проверяют сравнением диагоналей квадратов и длин их сторон.

При построении координатной сетки на листах формата А3 используют линейку ЛБЛ. Расхождения сторон квадратов не должны превышать ±0,2 мм. Линии координатной сетки, кратные 100 м, оцифровывают и подписывают в соответствии со значениями координат вершин.

24

Накладка теодолитного хода производится по вычисленным значениям координат. Правильность нанесения контролируют по измеренным длинам сторон между соответствующими точками хода, которые выбирают из графы 6 ведомости.

Нанесение ситуации осуществляется по данным абриса от линий и вершин теодолитного хода в соответствии с условными знаками, принятыми для планов масштаба 1:1000. Способы построения контуров на плане соответствуют способам съѐмки в поле. Указанные в абрисе расстояния откладывают с помощью циркуля-измерителя, угольника и масштабной линейки, а горизонтальные углы – транспортиром.

Составленный в карандаше план корректируется в поле и после проверки его преподавателем вычерчивается тушью: линии координатной сетки, местные предметы и зарамочное оформление – черным цветом, вода – синим, линии теодолитного хода – красным, толщина линий – 0,1–0,2 мм. Зарамочное оформление плана выполняют в соответствии с образцами, рекомендуемыми кафедрой.

В результате выполненной работы бригада предъявляет к сдаче следующие отчетные документы:

полевой журнал теодолитной съемки; абрисы; ведомость вычисления координат;

план участка местности в масштабе 1:1000 или 1:2000.

25

4.ТАХЕОМЕТРИЧЕСКАЯ СЪЁМКА

4.1.Содержание работ

При выполнении работы студенты должны получить навыки в проложении тахеометрического хода и съѐмки подробностей на станции методом полярных координат с использованием нитяного дальномера.

Поскольку в условиях летней геодезической практики в качестве плановой основы тахеометрической съѐмки используют точки теодолитного хода, проложенного бригадой, в состав полевых работ входят:

-поверка теодолита, определение и исправление места нуля вертикального круга;

-проложение высотного хода;

-съѐмка контуров и рельефа.

Для производства работ необходимо иметь:

-теодолит со штативом;

-отвес для центрирования теодолита над точкой;

-нивелирную рейку;

-вехи (2 шт.);

-полевые журналы и кроки.

4.2. Полевые работы при проложении высотного хода

Высотный ход прокладывают по точкам теодолитного хода, при этом для каждой стороны превышение определяют прямо и обратно методом триго-

нометрического нивелирования (рис. 9). Начинать высотный ход следует с первой точки замкнутого теодолитного хода, на эту же точку осуществляют и замыкание хода. На каждой из точек хода устанавливают теодолит, горизонтируют и центрируют его с ошибкой не более 5 мм, измеряют высоту прибора i.

Визируют при круге лево (КЛ) на рейку, установленную на заднюю точку, и снимают отсчѐт Л по вертикальному кругу. Измеряют и записывают высоту визирования .