Материал: 2518

Внимание! Если размещение файла нарушает Ваши авторские права, то обязательно сообщите нам

В последнее время на практике стали использоваться погружные винтовые насосы. УЭВН состоит из тех же узлов, что и УЭЦН, т. е. из погружного агрегата (двигатель, гидрозащита, насос), кабеля, оборудования устья, автотрансформатора и станции управления. Вместо центробежного насоса в подземном агрегате используется винтовой насос. Кроме того, в УЭВН применяют четырехполюсные асинхронные электродвигатели с частотой вращения вала 1500 об/мин. Конст-

дующие основные узлы и детали: пусковая муфта 1,Ис помощью которой вал насоса через вал протектора соединяется с валом асинхронного электродвигателя; эксцентриковые муфты 2 и 5; правые и левые обоймы 3 и 6 с винтами 4 и 7; предохранительный клапан 8 и труба 9. Его рабочими органами являются однозаходные стальные винты и резинометаллические обоймы, внутренняя полость которых представляет собой двухзаходную винтовую поверхность с шагом, в 2 раза большим шага винта.

руктивно двигатели идентичны двигателям центробежных насосов.

В состав погружного винтового насоса (рис. 3.11, в) входят сле-

сетки. Нагнетаемая жидкость поступаетДв полость между винтами и за обоймой 6 проходит к предохранительному клапану 8 и далее в подъемные трубы. Винт, вращаясь в обойме, совершает сложное планетарное движение. За один оборот винта замкнутые полости, имеющие

винтообразную бформу, перемещаютсяАс заключенной в них жидкостью на один шаг обоймы в осевом направлении в сторону нагнетания. При вращении винта непрерывно открываются и закрываются полости, образуемые винтом и обоймой. При этом сумма заполненных жидкостью выходных площадей поперечного сечения винта с обоймой остается постоянной и поток жидкости всегда непрерывен и пропорционален частоте вращения винта. Жидкость перекачивается практически без

Прием жидкости из скважины ведется через две фильтрованные

Спульсацийи, не создавая стойкой эмульсии из нефти с водой. Винтовой электронасос сочетает в себе положительные качества

центробежного и поршневого, обеспечивая плавную, непрерывную подачу жидкости без пульсации, с постоянным высоким КПД при широком диапазоне изменения давления. Характерная особенность винтовых насосов – значительное улучшение параметров с увеличением вязкости перекачиваемой жидкости. Поэтому наиболее эффективны эти насосы при добыче вязкой и высоковязкой жидкости.

101

3.7.Ремонт скважин

Впроцессе эксплуатации скважин фонтанным, компрессорным или насосным способом нарушается их работа, что выражается в по-

степенном или резком снижении дебита, иногда даже в полном прекращении подачи жидкости. И

К капитальному ремонту скважин относятся работы, связан-

ные с подъемом подземного оборудования для его замены или ремонта, очисткой скважины от песчаной пробки желонкой или промывкой,

сликвидацией обрыва или отвинчивания насосных штанг и другими операциями. Д

Наиболее распространенные работы при капитальном ремонте скважин: А

ление смятий, сломовби трещин в колоннах и замену испорченной части колонны.

иЛовильные работы по извлечению оборвавшихся труб и упавшего инструмента занимают особое место в капитальном ремонте. Наиболее сложны работы по захвату и извлечению труб, так как колонна НКТ, упавшая в скважину, при ударе о забой изгибается по всей длине и заклинивается в эксплуатационной колонне. Кроме того,

Синогда трубы при ударе о забой ломаются в нескольких местах и располагаются в скважине рядами. Трубы могут также врезаться в песчаную пробку на забое, если она имеется в скважине.

Работы по капитальному ремонту скважин выполняют специальные бригады. Задачей промысловых работников, в том числе и работников подземного ремонта скважин, является сокращение сроков подземного ремонта, максимальное увеличение межремонтного периода работы скважин.

При капитальном ремонте скважин применяются отечественные агрегаты и подъемные установки: Азинмаш 43-А, А-50У, КОРО-80, АР-32, А60/80, КВМ-60, АПРС-40 и зарубежные установки фирм «Кардвелл», «Дреко», «Кремко» и др.

102

Также существует множество специальных видов текущего ремонта скважин, одним из которых является борьба с отложениями парафина в фонтанных скважинах (депарафинизация).

ловиях парафин выпадает из нефти в осадок в виде тончайших кристаллов, которые могут оставаться во взвешенном состоянии и выноситься восходящим потоком нефти на поверхность. Однако они могут также откладываться по пути движения в подъемных трубах, выкидных трубопроводах, трапах, приемных резервуарах. Выпадению парафина из нефти способствует значительное понижение температуры вследствие расширения, сопровождающего нефть газа с понижением давления или вследствие низкой температуры окружающей среды. Чем

Нефти многих нефтяных месторождений содержат парафин. В нормальных условиях парафины – твердые кристаллические вещества, в пластах они чаще всего растворены в нефти. В соответствующихИус-

выше газовый фактор, тем большеАэффектДохлаждения струи нефти. Эффект охлаждения струи, обусловленный расширением газа и

понижением температуры окружающей среды, усиливается по мере приближения к устью скважины. Поэтому отложения парафина наблюдаются главным образом в верхней части подъемных труб на расстоянии 400 – 700бм от устья скважины, а также в выкидных линиях, в которых парафинизациятруб увеличивается в холодное время года.

Способы борьбы с отложениями парафина на стенках труб в действующих фонтанных скважинах:

и1) расплавление парафина путем нагревания; 2) растворение парафина различными растворителями;

3) механическое удаление парафина со стенок труб с помощью скребков.

СВ качестве термического оборудования для депарафинизации скважин используются установки ОАО «Завод универсальных паровых установок», смонтированные на базе автомобильных шасси «Урал» или «КамАЗ»: передвижные паровые установки АДПМ 12/150

и ППУА 1600/100, 2500/160, 200/100.

В качестве механических средств депарафинизации используются установки УДС-1М, УСПС-3000.01-04 и скребки скважинные С-3.000, С-4.000

103

 

 

Контрольные вопросы и задания

1.

Что представляет собой эксплуатация нефтяного, газового

или газоконденсатного месторождения?

2.

Что понимают под рациональной системой эксплуатации?

3.

Перечислите и опишите стадии эксплуатации скважин.

4.

Назовите типы эксплуатационных скважин.

5.

Опишите технологию фонтанного способа эксплуатации

скважин.

 

 

 

6.

Что понимают под насосно-компрессорными трубами?

7.

 

 

 

Д

Опишите назначение и состав фонтанной арматуры.

8.

Какие типы приводов используются для запорных устройств

фонтанной арматуры?

 

 

9.

Сформулируйте определение, назначение и состав мани-

фольда.

 

 

А

10.

В чем заключаются принцип работы и функции САУ ФА?

11.

Опишите технологию газлифтного способаИэксплуатации

скважин.

 

 

 

12.

Какие схемы конструкций газлифтных подъемников бывают?

13.

Сформулируйте определение и опишите оборудование и

принцип работы газлифтного цикла.

 

14.

Опишите оборудование периодического газлифта (пусковой

клапан, пакер, мандрель).

 

 

и

 

 

15.

Опишите назначение и принцип работы оборудования канат-

ной техники для эксплуатации скважин (лубрикатор, экстрактор, пре-

вентор).

 

 

 

 

16.

Опишите преимущества и недостатки газлифтного способа

эксплуатации скважин.

 

 

17. Опишите технологию насосного способа эксплуатации

скважин.

б

 

18.

Опишите устройство и принцип работы следующего обору-

дования: УШСН, УЭЦН, УЭВН.

 

19.

Опишите назначение, устройство и принцип работы станка-

качалки.

 

 

 

 

20.

В чем отличие вставных насосов от невставных?

21.

Назовите основные параметры центробежного электронасоса.

22.

Опишите устройство и принцип работы винтового насоса.

23.

Опишите основные типы ремонта скважин.

С24. Опишите технологию и оборудование процесса депарафини-

зации скважин.

104

4.СБОР, ПОДГОТОВКА, ТРАНСПОРТИРОВАНИЕ

ИХРАНЕНИЕ НЕФТИ И ГАЗА

4.1.Автоматизированные системы сбора нефти, газа и воды

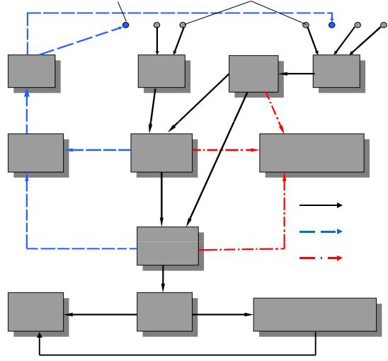
Под системой сбора и подготовки нефти, газа и пластовой воды понимают комплекс агрегатов и разветвленную сеть трубопроводов, проложенных на площади месторождения под или над землей, а также под или над водой (для морских месторождений). Схема сбора и подготовки (рис. 4.1) зависит от площади месторождения, дебитов скважин, физико-химических свойств перекачиваемой жидкости, рельефа местности и природных условий.

 

СкважиныППД

Добывающие скважины

 

 

 

И

ВРБ

АГЗУ

БДНС

АГЗУ

БКНС

УПСВ

ГПЗ

 

 

Нефть

 

 

Вода

 

ЦППН

Газ

НПЗ

НПС

МНП

СРис. 4.1. Схема сбора и подготовки продукции скважин

 

105