Материал: 2471

Внимание! Если размещение файла нарушает Ваши авторские права, то обязательно сообщите нам

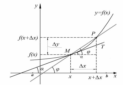
«режет», «рассекает» в нужном месте график функции y f (x). Пусть точка Р, двигаясь по кривой, приближается к точке М (при стремлении x к нулю, y также стремится к нулю в силу непрерывности функции y f (x)). Тогда секущая, поворачиваясь от точки Р, стремится к некоторому предельному положению Т (секущая МР примет одинаковое положение с касательной Т). Другими словами, когда две точки М и Р графика функции y f (x) сближаются, секущая МР приближается к касательной Т.

Определение. Касательной к кривой в данной точке М называется предельное положение секущей МР, проходящей через точку М, когда вторая ее точка пересечения Р неограниченно приближается по кривой к точке М.

Рис. 1.4. Касательная к кривой (геометрический смысл производной)

Проведем к графику непрерывной кривой y f (x) невертикальную касательную Т в точке М (см. рис. 1.4). Найдем ее угловой коэффициент k tg , численно равный тангенсу угла наклона касательной к оси Ох.

Рассмотрим угол между секущей МР и осью Ox. При анализе рис. 1.4 можно заметить, что угловой коэффициент секущей равен

kсек

tg

y

 

f x x f x

.

(1.4)

 

 

 

 

x

x

 

118

Напомним, что в прямоугольном треугольнике тангенс острого угла равен отношению противолежащего катета (например, приращения функции y) к прилежащему (приращению аргумента x).

При x 0 в силу непрерывности функции y f (x) приращение y также стремится к нулю ( y 0); поэтому точка Р неограниченно приближается по кривой к точке М, а секущая МР, поворачиваясь вокруг точки М, переходит в касательную. При этом угол, то есть lim , а следовательно, и lim tg tg .

x 0

x 0

Воспользовавшись вышеприведенными формулами, выразим угловой коэффициент касательной k:

k tg lim tg

lim

y

lim

f x x f x

. (1.5)

 

 

x 0

x 0 x

x 0

x

Заметим, что пределы (1.3) и (1.5), полученные нами при решении задачи о скорости прямолинейного движения материальной точки и задачи о касательной к кривой, имеют одинаковый вид: везде

требуется найти предел отношения приращения функции к приращению аргумента. Этот предел называют производной.

Определение. Производной функции y f (x) в данной фикси-

рованной точке x x0 называется предел отношения приращения функции y к приращению аргумента x при стремлении приращения аргумента к нулю (при условии, что этот предел существует).

Таким образом, по определению:

f (x0) lim

f x0 x f x0

 

lim

y

.

(1.6)

 

 

x 0

x

x 0 x

 

Обозначение производной: yx, y , f x .

Название «производная» связано со следующим обстоятельством. Если f x есть функция аргумента x, то предел (1.6) зависит как от вида функции f x , так и от того значения аргумента x, при котором вычисляется этот предел, то есть этот предел также есть функция аргумента x новая функция, которая задается (порождается или производится) функцией f x . А потому эту новую функцию естественно называть производной функцией, где прилагательное «производная» подчеркивает ее зависимость от исходной, или основной функции f x .

119

Определение. Функция y f (x), имеющая производную в каждой точке интервала a;b , называется дифференцируемой в этом интервале. Операция по нахождению производной функции называ-

ется дифференцированием.

1.1.1.Физический и геометрический смысл производной

1.Равенство lim S , полученное нами при решении задачи

t 0 t

о скорости прямолинейного движения материальной точки

(см. п. 1.1), перепишем в виде

St ,

(1.7)

то есть скорость прямолинейного движения материальной точки в момент времени t есть производная пути S по времени t. Именно в этом заключается механический смысл производной.

В общем случае, если функция y f (x) описывает какой-либо физический процесс, то производная y есть скорость протекания этого процесса. В этом заключается физический смысл производной.

Именно со скоростью отождествлял производную английский ученый, разработчик интегрального и дифференциального исчисления Исаак Ньютон (1642 − 1727). При этом свойства производной воспринимались им как физические свойства скоростей. Ньютон называл производную флюксией, а исходную функцию, для которой вычисляется производная, флюентой (от латинского слова «fluere» − «течь»). Этим подчеркивалось, что рассматриваемые величины являются переменными. При этом флюксия возникла как скорость изменения флюенты, а флюента восстанавливалась по флюксии как путь по скорости.

2. В задаче о касательной к кривой (см. п. 1.1) был найден уг-

ловой коэффициент касательной k tg lim y . Опираясь на оп-

x 0 x

ределение производной, это равенство мы можем переписать в виде

 

(1.8)

f x tg k ,

120

то есть производная f x в точке x равна угловому коэффициенту касательной к графику функции y f (x) в точке, абсцисса которой равна х. В этом заключается геометрический смысл производной.

Заметим, что в точке касания M x0; y0 угловой коэффициент ка-

сательной есть k f x0 . Тогда уравнение касательной в этой точке имеет вид

y y0

f x0 x x0 .

(1.9)

Определение. Прямая, перпендикулярная к касательной в точке касания, называется нормалью к кривой. Ее уравнение имеет вид

y y

 

 

1

 

 

x x

.

(1.10)

0

f x0

 

 

 

0

 

 

 

 

 

 

 

 

Предел, к которому стремится отношение приращения функции к приращению аргумента при стремлении к нулю приращения аргумента, имеет первостепенное значение и для самой математики, и для многих ее приложений. Так, выше, при рассмотрении задачи о скорости прямолинейного движения мы видели, например, что такое важнейшее понятие, как мгновенная скорость движения, находится с помощью подобного предела. К подобному же пределу сводится ряд других важных задач. Перечислим некоторые из них:

а) если Q Q(t) количество электричества (Кл), проходящего через поперечное сечение проводника за время t (с), то сила тока I

(1 А = 1 Кл/с) в момент времени t равна

I Q lim

Q t t Q t

lim

Q

;

(1.11)

t

 

 

t

t 0

t 0 t

 

б) если N N(t) − количество вещества (кг), вступившего в химическую реакцию за время t (с), то скорость химической реакции V

(кг/с) в момент времени t равна

V Nt lim

N t t N t

lim

N

;

(1.12)

t

 

 

t 0

t 0 t

 

в) если m m(x) масса неоднородного стержня, расположенно-

го между точками O 0;0 и М x;0 , то линейная плотность стержняв точке х равна

121

mx

lim

m x x m x

lim

m

.

(1.13)

x

 

 

 

x 0

x 0 x

 

Поясним, что мы понимаем в данном случае под линейной плотностью. Рассмотрим тонкий стержень. Величина (кг/м) есть произведение объемной плотности материала d (кг/м3) и площади S сечения стержня (м2): d S . Так как стержень может иметь переменные по длине, то есть зависящие от x сечение и плотность материала, из которого сделан стержень, то является функцией координаты

x . Величину называют линейной плотностью, или плотностью на единицу длины [11]. Толщину стержня считаем бесконечно малой, а потому графически стержень представляет собой прямую линию – отрезок оси Ох.

Примечание. Вообще, плотность вещества (кг/м3) определя-

ется как отношение массы вещества m (кг) к занимаемому им объему

V 3): m. В математических расчетах приходится сталкиваться с

V

такими понятиями, как линейная плотность (плотность на единицу длины) (кг/м), поверхностная плотность (плотность на единицу пло-

щади) (кг/м2), объемная плотность (плотность на единицу объема) (кг/м3).

Пример 1.1. Теплоемкостью (удельной теплоемкостью) того или иного вещества называется количество теплоты (Дж), которое необходимо для нагревания 1 кг рассматриваемого вещества (например, воды, стали) на 1 0С. Но при различных начальных температурах для нагревания 1 кг вещества на 1 0С или 1 К требуется разное количество теплоты. В связи с чем теплоемкость вещества с является функцией начальной температуры Т: с с Т . Так, например, для нагревания 1 кг стали, взятой при температуре 0 0С, на 1 0С требуется 440,857 Дж теплоты, а для нагревания на 1 0С того же количества стали, взятой при температуре 50 0С, нужно уже 470,583 Дж (сталь – сплав железа с углеродом, где содержание углерода до 2 %).

Определим теплоемкость тела, отвечающую данной фиксированной температуре Т.

Пусть Q – количество теплоты (Дж), которое надо передать 1 кг рассматриваемого вещества для нагревания его от исходной темпера-

122