x=b. Полученная от вращения фигура называется телом вращения
(рис. 2.11).
Если известны площади сечений S этого тела плоскостями, перпендикулярными некоторой оси, например, оси Ох: S S x , то действуя по алгоритму метода интегральных сумм, можно показать, что объем V тела вращения будет равен
b |
|
V S x dx. |
(2.32) |
a |
Рис. 2.11. Тело вращения |
Рассмотрим рис. 2.11. Заметим, что сечение этого тела плоскостью, перпендикулярной оси Ох, проведенной через произвольную точку х оси x a;b , есть круг радиуса y f x . Следовательно,
S y2 f 2 x .
Тогда, в соответствии с предыдущей формулой, объем полученного таким образом тела вращения вычисляется по формуле
b |
|
Vx f 2(x)dx. |
(2.33) |
a
Если криволинейная трапеция ограничена графиком непрерывной функции x y ( (y) 0 на отрезке c;d ) осью Оу, прямыми y c, y d, c d , то объем тела, образованного вращением этой трапеции вокруг оси Оу, вычисляется по формуле
|
|
d |
|
|
|
Vy 2(y)dy. |
(2.34) |
|
|
c |
|
|
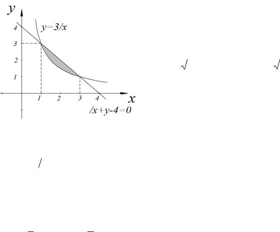
Задача 2.3. Найти площадь фигуры, ограниченной |
линиями |
|
y |
3 |
, x y 4 0. |
|
|
|
||
|
x |
|
|
Решение. Построим область, площадь которой необходимо най-
ти. Кривая y 3 представляет собой гиперболу, расположенную в x
первой и третьей четвертях; x y 4 0 − прямая линия (рис. 2.12). Воспользуемся формулой (2.25), определим а и b. Для этого най-
дем точки пересечения графиков функций y 3 и y 4 x. Соста- x
178
|
|
|
|
|
|
|
|
|
3 |
|
|
|
|
|
|
|
|
|
|
|
|
|
|
|
|
|
|
|
|
|||
вим и решим систему уравнений: y |
|
, |
|
|
|
3 |
4 x 3 4x x2 |
|||||||||||||||||||||||||
x |
||||||||||||||||||||||||||||||||
|
|
x |
||||||||||||||||||||||||||||||
|
|
|
|
|
|
|
|
|
|
|
|
|
|
|
|
|
|
|
|
|
|
|
|
|
|
|
|
|
||||
|
|
|
|
|
|
|
y 4 x |
|
|
|
|
|
|
|
|
|
|
|
|
|
|
|
|
|
|
|||||||
|
|
|
|
|
|
|
, получим квадратное уравнение |
|||||||||||||||||||||||||
|
|
|
|
|
|
|
x2 4x 3 0. Дискриминант полу- |
|||||||||||||||||||||||||
|
|
|
|
|
|
|
ченного квадратного уравнения ра- |
|||||||||||||||||||||||||
|
|
|
|
|
|
|
вен |
|
D 4 2 |
4 1 3 16 12 4, |
||||||||||||||||||||||
|
|
|
|
|
|
|
следовательно, |
корни |
|
уравнения |
||||||||||||||||||||||
|
|
|
|
|
|
|
x |
4 |
|
|
|
|
|
|
4 |
|
|
3. |
||||||||||||||
|
|
|
|
|
|
|
4 |
|
1; |
x |
2 |
4 |
||||||||||||||||||||
|
|
|
|
|
|
|
|
|
|
|
|
|
|
|||||||||||||||||||
|
|
|
|
|
|
|
1 |
|
|
|
2 |
|
|
|
|
|
|
|
|
|
|
2 |
|
|
|
|
|
|
||||
|
|
|
|
|
|
|
|
|
|
|
|
|
|
|
|
|
|
|
|
|
|
|
|
|
|
|
|
|||||
|
|
|
|
|
|
|
Найденные значения x1 1 и x2 |
3 |
||||||||||||||||||||||||
|
|
|
|
|
|
|
будут |
|
соответственно |
|
искомыми |
|||||||||||||||||||||
|
|
|
|
|
|
|
значениями а и b. |
|
|
|
|
|
|
|
|
|
|
|
|
|||||||||||||
Рис. 2.12. Фигура, ограни- |
|
Таким |
|
образом, |
|
|
|
f1(x) |
3 |
, |
||||||||||||||||||||||
ченная графиками функций |
|
|
|
|
|
|
||||||||||||||||||||||||||
|
|
|
|
|
|
|
|
|
|
|
|
|
|
|
|
|
|
|
|
|
|
|
|
x |
||||||||
y 3 |
x и x y 4 0 |
|
f2(x) 4 x, a 1, |
b 3. Тогда |
|
|
|
|
|
|
|
|
||||||||||||||||||||
3 |
|
3 |
|
|
x2 |
|
|
3 |
|
|
|
|
9 |
|
|
|
|
|
|
|
1 |
|
|
|
|
|
|
|
||||
|
|
|
|
|
|
|
|
|
|
|
|
|
|
|
|
|||||||||||||||||
S 4 x |
|
dx |
|
4x |
|
|
|
|
12 |
|
3ln3 |
4 |
|
|
3ln1 |
|||||||||||||||||
|
|
|
|
|
||||||||||||||||||||||||||||
x |
|
2 |
3ln x |
|
|
2 |
2 |
|
||||||||||||||||||||||||
1 |
|
|
|
|
|
|
1 |
|
|
|
|
|
|
|
|
|
|
|
|
|
|
|
|
|
|
|||||||
|
|
|
|
|
|
|
|
|
|
|
|
|
|
|
|
|||||||||||||||||
12 9 3ln3 4 1 0 4 3ln3 ед2 .
2 2
Так как мы находим площадь, то в роли ед2 могут быть, например, см2, м2.
Задача 2.4. Найти площадь фигуры, ограниченной линиями:
2y 3 x, y x2, y 0.
Решение. Построим область, площадь которой необходимо най-
ти. Кривая y x2 представляет собой параболу; 2y 3 x − прямая линия, y 0 − уравнение оси Ох (рис. 2.13).
По рисунку легко заметить, что, двигаясь по области снизу вверх, мы пересекаем ни две, а три границы области. В связи с чем для нахождения площади S интересующей нас области необходимо в точке пересечения границ области разбить ее на две части, площади которых соответственно равны S1 и S2.
179
Рис. 2.13. Фигура, ограниченная графиками функций |
|
|||
|
|
2y 3 x, y x2, y 0 |
|
|
Чтобы найти абсциссу точки пересечения границ области, необ- |
||||
ходимо составить и решить систему уравнений: |
|
|||
y x2, |
2x2 3 x 2x2 x 3 0. |
|
||
|
|
|||
2y 3 x |
|
|
|
|
Найдем |
корни |
полученного |
квадратного |
уравнения |
2x2 x 3 0. Его дискриминант |
D 12 4 2 3 1 24 25, сле- |
||||||||||||||
|
1 |
|
|
|
3 |
; |
|
|
|
1 |
|
|
1. |
||
довательно, корни уравнения x |
25 |
x |
|
25 |
|||||||||||
4 |
|
|
|
|
|
|
|
||||||||
1 |
|
|
|
2 |
|
|
|
2 |
4 |
|
|
|
|||
Нас интересует значение x2 1, так как именно оно принадлежит |
|||||||||||||||
указанной области в отличие от значения x |
|
3 |
(см. рис. 2.13). То- |
||||||||||||
|
|||||||||||||||
|
|
1 |
2 |
|
|
|
|
|
|
|
|||||
1
гда площадь криволинейной трапеции S1 x2dx (в данной области х
0
принимает значения от 0 до 1).
Для нахождения S2 необходимо знать абсциссу точки пересечения прямых 2y 3 x и y 0. Подставив в первое уравнение значение y 0, получим значение x 3. Выразив из уравнения прямой
2y 3 x |
y |
1 |
3 x , получим S2 |
3 |
1 |
3 x dx. Таким образом: |
|
|
|||||||
|
2 |
||||||
|
2 |
|
1 |
|
|||
|
|
1 |
3 |
1 |
3 x dx |
x |
3 |
|
|
1 |
|
1 |
|
|
x |
2 |
|
|
3 |
|
S S S |
2 |
x2dx |
|
|
|
|
|
|
3x |
|
|
|
|
|
||||||
|
|
|
|
|
|
|
|
|
||||||||||||
1 |
|
|
2 |
|
3 |
|
|
|
2 |
|
2 |
|
|
|
|
|||||
|
|
0 |
1 |
|
|
|
0 |
|
|
|
1 |
|
||||||||
|
|
|
|
|
|
|||||||||||||||
|
|
|
|
180 |
|
|
|
|
|
|
|
|
|
|
|
|
|
|
|
|
|
1 |
|
1 |
|
9 |
9 |
3 |
1 |
|
|
1 |
|
1 |
2 |
1 |
1 |
4 |
ед |
2 |
. |
|||
|
|
|
|
|
|
|
|
|
|
|
|
|
|
|
|
|
|
||||||
3 |
2 |
2 |
2 |
3 |
2 |
3 |
3 |
|
|||||||||||||||
|
|
|
|
|
|
|
|
|
|
|
|
|
|||||||||||
Как и в предыдущем примере, в роли ед2 могут быть см2, м2.
Задача 2.5. Найти площадь фигуры, ограниченной эллипсом,
x 4cost,
y 6sint.
Решение. В данном примере кривая (эллипс), ограничивающая фигуру на плоскости (рис. 2.14), задана параметрически, следователь-
t2
но, необходимо воспользоваться формулой S y(t)x (t)dt. Найдем
t1
t1 и t2. Для этого построим эллипс и проследим, каким образом меняется параметр t (в данном примере в роли параметра t выступает угол).
Так как в построенной нами области имеются симметричные части, то достаточно найти площадь одной из них S1, а затем умножить ее на количество симметричных частей. В нашем случае их 4. То есть S 4S1, значение x меняется от 0 до 4 (a=0,b=4). Найдем значения t1 и t2 из условий [см. формулу (2.26), случай параметрического задания кривой]: a x(t1), b x(t2) 0 4cost1,
Рис. 2.14. Фигура, |
|
|
4 4cost |
|
t |
|
|
, t |
|
0. |
|
|
|
|
|
|
||||||||||||||||||||
|
|
|
|
|
|
|
|
|
|
|
||||||||||||||||||||||||||
|
|
|
|
|
|
|
|
|
2 |
1 |
2 |
|
2 |
|
|
|
|
|
|
|
|
|
|
|
||||||||||||
ограниченная эллипсом |
|
|
|
Таким образом: |
|
|
|
|
|
|
|
|
|
|
|
|
|
|||||||||||||||||||
|
|
|
|
|
|
|
|
|
|
|
|
|
|
|
|
|
|
|
|
|
|
|
|
|
|
|
|
|||||||||
0 |
|
|
|
|
|
|
|
|
|
|
|
|
|
0 |
|
|
|
|
|
|
|
|
|
0 |
|
|
|
2 |
tdt |
|
|
|||||
S1 6sint 4cost dt 24 sint sint dt |
24 sin |
|
|
|
||||||||||||||||||||||||||||||||
|
|
|
|
|
|
|
|
|
|
|
|
|
|
|
|
|
|
|
|
|
|
|
|
|
|
|
|
|
||||||||
|
2 |
|
|
|
|
|
|
|
|
|
|
|
|
|
|
2 |
|
|
|
|
|
|
|
|
|
|
2 |
|
|
|
|
|
|
|
|
|
|
|
|
0 1 cos2t |
|
|
|
|
|
|
|
|
|
|
|
|
|
|
|
|
|
1 |
|
|
|
|
|
|
|
||||||||
|
|
|
|
|
|
|
0 |
|
|
|
|
|
|
|
|
|
|
|
|
|
|
|
0 |
|
|
|
||||||||||
24 |
|
|
|
|
|
dt 12 |
1 cos2t dt 12 t |
|
|
sin2t |
|
|
|
|||||||||||||||||||||||
|
2 |
|
2 |
|
||||||||||||||||||||||||||||||||
|
|
|
|
|
|
|
|
|
|
|
|
|
|
|
|
|
|
|
|
|
|
|
|
|
|
|
|
|
|
|||||||
2 |
|
|
|
|
|
|
|
|
|
2 |
|
|
|
|
|
|
|
|
|
|
|
|
|
|
|
|
|
|
2 |
|
|
|
||||
|
|
|
|
|
|
|
|
|
1 |
|
|
6 ед |
2 |
S 4S1 |
4 6 |
24 ед |
2 |
|
||||||||||||||||||
12 0 |
|
|
|
|
|
sin |
|
|
|
. |
||||||||||||||||||||||||||
2 |
2 |
|
|
|||||||||||||||||||||||||||||||||
|
|
|
|
|
|
|
|
|
|
|
|
|
|
|
|
|
|
|
|
|
|
|
|
|
|
|
|
|
|
|
|
|
|
|||
181
Вроли ед2 могут быть, например, см2, м2.
Вобщем случае площадь фигуры, ограниченной эллипсом, за-
данным уравнением |
x2 |
|
y2 |
1 (неявное |
задание) или |
x acost, |
||
|
|
|
|
|||||
a2 |
b |
2 |
||||||
|
|
|
|
y bsint, |
||||
где 0 t 2 (параметрическое задание), |
может быть найдена по |
|||||||
формуле S a b. |
|
|
|
|
|
|
|
|
Эллипс является частным случаем окружности при равенстве его полуосей (a = b). Тогда если радиус окружности равен R R a b , то площадь ограниченного ею круга вычисляется по формуле
S R2 , или S |
d2 |
, где d 2R − диаметр окружности. |
|
||
4 |
|
|
Заметим, что форму в виде эллипса применяют при изготовлении щек (см. гл. 6) определенной толщины, которые соединяют коренную шейку с шатунной шейкой коленчатого вала.
Контрольные вопросы
1.Сформулируйте определение определенного интеграла.
2.Назовите условие существования определенного интеграла.
3.Назовите основные свойства определенного интеграла.
4.В чем заключается геометрический смысл определенного интеграла?
5.В чем заключается физический смысл определенного интеграла?
6.С помощью какой формулы находят значение определенного интеграла?
7.Назовите и поясните формулу интегрирования заменой переменной в определенном интеграле и формулу интегрирования по частям. Чем они отличаются от формул замены переменной и интегрирования по частям в неопределенном интеграле? На что необходимо обращать особое внимание при использовании этих формул?
8.В чем заключается суть метода интегральных сумм?
9.Какие геометрические приложения определенного интеграла вы знае-
те?
10.Какие физические и механические приложения определенного интеграла вы знаете?
182