Для защиты человека от вибрации, снижения её уровня используется виброизоляция.
Виброизоляцией называют метод вибрационной защиты, заключающийся в том, что между источником вибрации и защищаемым обьектом устанавливают деформируемое устройство, называемое виброизолятором, которое в необходимой степени снижает передаваемую вибрацию.
Для снижения действия вибрации на операторов строительных и дорожных машин используют виброзащитные сиденья, виброзащитные кабины, и т.д.
Санитарные нормы первой группы ограничивают вибрацию, передаваемую на руки работающих. Вторая группа санитарных норм ограничивает вибрацию рабочих мест.
Таблица 1
Предельно допустимые значения виброскорости, действующей на руки
Граничные значения частот, Гц |
Среднеквадратическое значение |
|
виброскорости, см/с |
До 11 |
5 |
11-22 |
5 |
22-45 |
3.5 |
45-90 |
2.5 |
90-180 |
1.8 |
180-355 |
1.2 |
355-710 |
0.9 |
710-1400 |
0.63 |
1400-2800 |
0.45 |
Таблица 2
Предельно допустимые величины вибрации рабочего места (пола, сиденья, рабочей площадки и т.п.)
Граничные значения частот, Гц |
|
Среднеквадратическое значение |
|
|
виброскорости, см/с |
11-22 |
|
0.35 |
22-45 |
|
0.22 |
45-90 |
|
0.27 |
90-180 |
|
0.35 |
180-355 |
|
0.35 |
|
- 70 - |
|
Для вибрации с частотой ниже 11 Гц установлены предельно допустимые значения виброперемещения в виде допустимого полуразмаха колебаний.
|
Таблица 3 |
Допустимое значение виброперемещений |
|
|
|
Основная частота, Гц |
Полуразмах колебаний, мм |
До 1 |
0.6 |
2 |
0.5 |
3 |
0.4 |
4 |
0.2 |
5 |
0.1 |
6 |
0.08 |
8 |
0.05 |
10 |
0.04 |
В табл. 2 и 3 нормы даны для случая непрерывного воздействия вибрации в течение всего рабочего дня.
Если продолжительность такого воздействия не превышает 20 % от рабочего времени в смену, то допустимые значения виброскорости и виброперемещения увеличиваются в 1,5 раза.
- 71 -
Часть 2. КОНТРОЛЬНЫЕ МАТЕРИАЛЫ
2.1. Варианты индивидуальных заданий для выполнения контрольных работ
Задача 1
На рис. 38 изображен вибрационный механизм эксцентрикового типа для сортировки сыпучих материалов. При ускорениях близких к ускорению свободного падения, сыпучий материал испытывает состояние «виброкипения».
Найдем параметры кривошипно-шатунного механизма, обеспечивающих виброускорения, равные ускорению свободного падения.
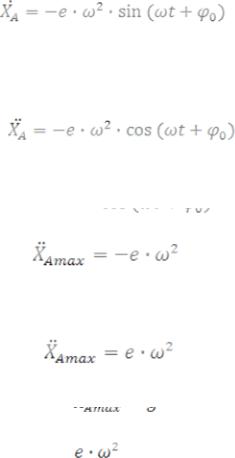
Проекция точки А кривошипа ОА на ось х может быть определена из уравнения
. |
(95) |
Рис. 38. Вибрационный механизм эксцентрикового типа для сортировки сыпучих материалов:
1 – кривошип, вращающийся с угловой скоростью ω; 2 – шатун; 3 – повзун; 4 – виброгрохот;
5 – подающее устройство;
6 – ёмкость для неотсортированного материала
- 72 -
Проекция точки А на ось х будет определять величину перемещения виброгрохота 4 вдоль оси х (виброперемещение).
Продифференцировав выражение для ХА (уравнение 95) получим выражение для виброскорости:
. |
(96) |
Продифференцировав уравнение (96) еще раз, получим выражение для виброускорения:
. |
(97) |
Максимальные значения виброускорения мы получим, приняв максимальное большое значение 







=1.
. |
(98) |
Пренебрегая знаком «минус» в выражении 98, получим
. |
(99) |
Приняв в уравнении (99) 



, получим
= g. |
(100) |
Выражение (100) мы используем для определения режимов работы вибрационного механизма, обеспечивающих работу виброгрохота в режиме «виброкипения» сыпучего материала.
1.1. Исследование влияния частоты вращения кривошипа на величину виброускорения сыпучего материала
1.1.1. Задавшись значением эксцентриситета (e=ОА). (см. табл. 4) найти значение частоты вращения кривошипа, обеспечивающей состояние «виброкипения» сыпучего материала.
Определим из формулы (100) величину угловой скорости кривошипа
- 73 -
. (101)
где g = 9,81 м/с2 – ускорение свободного падения; e – длина кривошипа, м; ω – угловая скорость кривошипа, рад/с.
Полученную угловую скорость кривошипа в радианах в секунду нужно перевести в обороты в минуту:
. |
(102) |
В результате получим минимальную частоту вращения кривошипа (об/мин), при которой сыпучий материал переходит в состояние «виброкипения»
1.1.2. Полученное значение частоты вращения кривошипа окру-
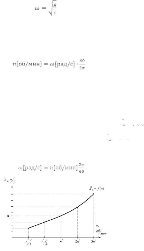
глить до ближайшего целого значения n* и вычислить значения n*/3, n*/2, n*, 2n* и 3n*.
По полученным пяти точкам построить график 







(рис. 39).
Для построения графика пользоваться формулой 





; где e – длина кривошипа, м; ω – угловая скорость кривошипа, рад/с;
Для расчета угловой скорости пользоваться формулой
. |
(103) |
Рис. 39. Зависимость виброускорения от частоты вращения кривошипа
- 74 -