Материал: 1_metodichka_po_khimii

Внимание! Если размещение файла нарушает Ваши авторские права, то обязательно сообщите нам

Лиганды, как правило, не связаны друг с другом, и между ними действуют силы отталкивания. В отдельных случаях наблюдается межмолекулярное взаимодействие лигандов с образованием водородных связей.

Лигандами могут быть различные неорганические и органические ионы и молекулы. Важнейшими лигандами являются ионы CN-, F- , Cl-, Br-, I-, OH-, SO3S2-, C2O42-, CO32-, молекулы H2O, NH3, CO, карбамида (NH2)2CO, органических соединений – этилендиамина NH2CH2CH2NH2, α-аминоуксусной кислоты NH2CH2COOH и этилендиаминтетрауксусной кислоты (ЭДТА):

и другие.

Дентатность лиганда

Чаще всего лиганд бывает связан с комплексообразователем через один из своих атомов одной двухцентровой химической связью. Такого рода лиганды получили название монодентатных. К числу монодентатных лигандов относятся все галогенид-ионы, цианид-ион, аммиак, вода и другие.

Некоторые распространенные лиганды типа молекул воды H2O, гидроксид-иона OH-, тиоцианат-иона NCS-, амид-иона NH2-, монооксида углерода CO в комплексах преимущественно монодентатны, хотя в отдельных случаях (в мостиковых структурах) становятся бидентатными.

Существует целый ряд лигандов, которые в комплексах являются практически всегда бидентатными. Это этилендиамин, карбонат-ион, оксалат-ион и т.п. Каждая молекула или ион бидентатного лиганда образует с комплексообразователем две химические связи в соответствии с особенностями своего строения:

:

Например, в комплексном соединении [Co(NH3)4CO3]NO3 бидентатный лиганд – ион CO32- образует две связи с комплексообразователем – условным ионом Co(III), а каждая молекула лиганда NH3 – только одну связь:

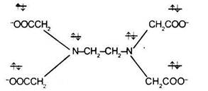
Примером гексадентатного лиганда может служить анион этилендиаминтетрауксусной кислоты:

Полидентатные лиганды могут выступать в роли мостиковых лигандов, объединяющих два и более центральных атома.

Число лигандов, окружающих центральный ион, называется координационным числом (КЧ). Координационное число может иметь значения 2; 3; 4; 5; 6 и т.д. вплоть до 12 (например, для некоторых соединений редкоземельных металлов). Наиболее часто встречаются координационные числа 2; 4; 6. Координационные числа выше 8 встречаются реже.

Значение кч комплексообразователя зависят от многих факторов:

- от природы лиганда и его электронных свойств;

- агрегатного состояния;

- концентрации компонентов;

- температуры раствора;

но обычно оно равно удвоенному заряду иона комплексообразователя.

Между значениями координационного числа и степенью окисления элемента-комплексообразователя существует определенная зависимость. Так, для элементов-комплексообразователей, имеющих степень окисления +1 (Ag1, Cu1, Au1, I1 и др.) наиболее характерно координационное число 2 – например, в комплексах типа [Ag(NH3)2]+, [Cu(CN)2]-, [IBr2]-.

Элементы-комплексообразователи со степенью окисления +2 (Zn2, Pt2, Pd2, Cu2 и др.) часто образуют комплексы, в которых проявляют координационное число 4, такие как [Zn(NH3)4]2+, [PtCl4]2-, [Pd(NH3)2Cl2]0, [ZnI4]2-, [Cu(NH3)4]2+.

В аквакомплексах координационное число комплексообразователя в степени окисления +II чаще всего равно 6: [Fe(H2O)6]2+, [Mg(H2O)6]2+, [Ni(H2O)6]2+.

Элементы-комплексообразователи, обладающие степенью окисления +3 и +4 (Pt4, Al3, Co3, Cr3, Fe3), имеют в комплексах, как правило, КЧ=6. Например, [Co(NH3)6]3+, [Cr(OH)6]3-, [PtCl6]2-, [AlF6]3-, [Fe(CN)6]3-.

Известны комплексообразователи, которые обладают практически постоянным координационным числом в комплексах разных типов. Таковы кобальт (III), хром (III) или платина (IV) с КЧ=6 и бор (III), платина (II), палладий (II), золото (III) с КЧ=4. Тем не менее, большинство комплексообразователей имеет переменное координационное число. Например, для алюминия (III) возможны КЧ=4 и КЧ=6 в комплексах [Al(OH)4]- и [Al(H2O)2(OH)4]-.

Координационные числа 3, 5, 7, 8 и 9 встречаются сравнительно редко. Есть всего несколько соединений, в которых КЧ равно 12 – например, таких как K9[Bi(NCS)12].

Центральный атом вместе с координированными лигандами образуют внутреннюю координационную (т.е. комплексную) сферу, которую при записи формулы заключают в квадратные скобки. Остальные ионы, не разместившиеся во внутренней сфере, находятся на более далеком расстоянии от центрального иона, составляя внешнюю координационную сферу. Изображая формулу комплексного соединения, внешнесферные ионы располагают за квадратными скобками. Например, в соединениях [Cu(NH3)4](OH)2 и K2[HgI4] внешнесферными ионами являются соответственно ионы OH- и K+. В нейтральных комплексах [Cr(NH3)3(NCS)3]0 и [Pd(NH3)2Cl2]0 внешняя сфера отсутствует.

Обычно внешнюю сферу составляют простые одноатомные или многоатомные ионы. Однако возможны случаи, когда комплексное соединение состоит из двух и более внутренних сфер, выполняющих функции катионной и анионной части соединения. Здесь каждая из внутренних сфер является внешней по отношению к другой.

Например, в соединениях [Cu(NH3)4][PtCl6] и [Ni(NH3)6]2[Fe(CN)6] формально функции внешнесферных ионов могут выполнять:

- комплексные катионы [Cu(NH3)4]2+ и [Ni(NH3)6]2+,

- комплексные анионы [PtCl6]2- и [Fe(CN)6]4-.

Комплексные соединения, имеющие внешнюю сферу, являются сильными электролитами и в водных растворах диссоциируют практически нацело на комплексный ион и ионы внешней сферы. При обменных реакциях комплексные ионы переходят из одних соединений в другие, не изменяя своего состава.

Во внутренней сфере связь комплексообразователя с лигандами имеет донорно-акцепторное происхождение и является ковалентной. Роль акцептора электронов выполняет комплексообразователь, имеющий свободные орбитали и достаточно большой положительный заряд ядра, а роль донора выступают лиганды, способные отдавать комплексообразователью неподеленную электронную пару. Ионы, находящиеся во внешней сфере, связаны с комплексным ионам в основном силами электростатическогого взаимодействия.

Определение заряда (z) основных частиц комплексного соединения на примере: K[Al(OH)4].

Заряд внутренней сферы комплексного соединения равен алгебраической сумме зарядов комплексообразователя и всех лигандов:

[Al3+(OH-)4]z -?, z=+3+4×(-1)= -1, т.е [Al(OH)4]-.

Наоборот, зная заряд комплексного иона и заряды лигандов [Al(OH)4]-), можно определить степени окисления комплексообразователя: х+ (-1)×4= -1; х= +3. Степень окисления алюминия +3.

Заряд внутренней сферы компенсируется ионами внешней сферы комплексного соединения. В приведенном примере внутренней координационной сферой является [Al(OH)4]-. Заряд аниона в этом случает компенсирует катион К+, находящиеся во внешней координационной сфере.

Классификация лигандов

В качестве лигандов выступают молекулы или ионы, содержащие донорные атомы (наиболее распространенные N, Р, О, галогены), способные отдавать комплексообразователю неподеленную электронную пару.

Число мест, занимаемых каждым лигандом во внутренней сфере комплексного соединения, называется координационной ёмкостью (дентатностью) лиганда. Она определяется числом электронных пар лиганда, которые участвуют в образовании координационной связи с центральным атомом.

По числу связей, образуемых лигандами с комплексообразователем, лиганды делятся на моно-, ди- и полидентатные::

1. К монодентатным относятся анионы F-, Сl-, Вг-, I-, H-, CN-, NO-, SCN- и т.д., нейтральные молекулы (NH3, амины, например, первичные RNH2 (R - органический радикал), молекулы воды и т.д.), имеющие только один донорный атом.

2. К бидентатным лигандам относятся молекулы или ионы, содержащие две функциональные группы, способные быть донором двух электронных пар. Например,

Молекула этилендиамина Дианион щавелевой кислоты

3. К полидентатным лигандам можно отнести 6-дентатный лиганд тетраанион этилендиаминтриуксусной кислоты (ЭДТА):

5.6. Классификация и номенклатура комплексных соединений

Классификация комплексных соединений

Существует несколько систем классификации комплексных соединений, которые основываются на различных принципах.

1. По знаку заряда комплекса:

1. Катионные комплексы образованы в результате координации вокруг положительного иона нейтральных молекул (H2O, NH3 и др.).

[Zn(NH3)4]Cl2 - хлорид тетраамминцинка (II)

[Co(NH3)6]Cl2 - хлорид гексаамминкобальта (II)

2. Анионные комплексы: в роли комплексообразователя выступает атом с положительной степенью окисления, а лигандами являются простые или сложные анионы.

K2[BeF4] – тетрафторобериллат (II) калия

Li[AlH4] – тетрадигдроалюминат (III) лития

K3[Fe(CN)6] – гексацианоферрат (III) калия

3. Нейтральные комплексы образуются при координации молекул вокруг нейтрального атома, а также при одновременной координации вокруг положительного иона - комплексообразователя отрицательных ионов и молекул.

[Ni(CO)4] – тетракарбонилникель

[Pt(NH3)2Cl2] – дихлородиамминплатина (II)

Комплексное соединение [Pt(NH3)2Cl2] внешней сферы не имеет и заряд комплекса равен 0.

2. По принадлежности комплексного соединения к определенному классу соединений:

Есть и вещества, не диссоциирующие на ионы, т.е. неэлектролиты

3. По природе лиганда:

- аквакомплексы (лигандом выступает вода: [Co(H2O)6]Cl2, [Al(H2O)6]Cl3 и др.),

- аммиакаты (лигандом выступает аммиак, например: [Cu(NH3)4]SO4, [Co(NH3)6]Cl3, [Pt(NH3)6]Cl4 и др.),

- ацидокомплексы (анионы - кислоты). К ним относятся комплексные соли: K2[PtCl4], комплексные кислоты: H2[CoCl4], H2[SiF6].

- гидроксокомплексы (ОН), например: Na2[Zn(OH)4], Na2[Sn(OH)6] и др.

- карбонилы - комплексные соединения, в которых лигандами являются молекулы оксида углерода (II): [Fe(CO)5], [Ni(CO)4].

- комплексы с макроциклическими лигандами, внутри которых размещается центральный атом (хлорофилл, гемоглобин, цианокобаламин).

4. По внутренней структуре комплекса:

- моноядерные – если комплекс содержит только один атом металла --комплексообразователя (пример, PdCl4 – имеет один атом палладия);

- многоядерные или полиядерные – если он содержит два или более атомов металла (комплекс платины [Pt2(NH3)2Cl4] – содержащий два атома платины.

Если полиядерные комплексы содержат атомы металла одинаковой химической природы, то они называются гомометаллическими:

Если же в полиядерном комплексе имеются атомы металла-комплексообразователя разной химической природы, то такие комплексы называются гетерометаллическими. Так, из двух биядерных комплексов:

 

Для комплексных соединений, содержащих во внутренней сфере различные лиганды, характерна геометрическая изомерия, когда при одинаковом составе внутренней сферы лиганды в ней располагаются по-разному относительно друг друга.

Геометрические изомеры комплексных соединений отличаются не только по физическим и химическим свойствам, но и биологической активностью. Цис-изомер Pt(NH3)2Cl2 имеет ярко выраженную противоопухолевую активность, а транс-изомер – нет.

Номенклатура комплексных соединений.

Название комплексных солей образуют по общему правилу: сначала называют анион, а затем – катион в родительном падеже

Названия комплексных соединений образуются аналогично названиям обычных солей с той лишь разницей, что указываются лиганды и степень окисления центрального атома. К названиям лигандов-анионов добавляют суффикс -о (сульфато-, хлоро-, бромо-, циано-, и т.д.). Наиболее важные лиганды-молекулы: Н2О - аква, NН3 - аммин, СО - карбонил.

Число монодентатных лигандов указывают греческими числительными: 1 - моно (часто не приводится), 2 - ди, 3 - три, 4 - тетра, 5 - пента, 6 - гекса. Для полидентатных лигандов (например, этилендиамин, оксалат) используют бис-, трис-, тетракис- и т.д.

Затем называют комплексообразователь, используя корень его латинского названия и окончание -ат (примеры: цинкат, хромат, феррат), после чего римскими цифрами указывают (в скобках) степень окисления комплексообразователя.

После обозначения состава внутренней сферы называют внешнюю сферу.

В названии нейтральных комплексных частиц комплексообразователь указывается в именительном падеже, а степень его не указывается, так как она однозначно определяется, исходя из электронейтральности комплекса.

Если присутствуют несколько лигандов, они перечисляются в алфавитном порядке и префиксы не изменяют этот порядок, например [CrCl2(H2O)4]+- тетрааквадихлорохром (III)-ион (хотя рекомендуют сначала указывать название отрицательно заряженных лигандов, а затем названия нейтральных молекул).

Примеры:

K3[Fe(CN)6] – гексацианоферрат (III) калия

(NH4)2[PtCl4(OH)2] – дигидроксотетрахлороплатинат (IV) аммония

[Сr(H2O)3F3] - трифторотриаквахром

[Сo(NH3)3Cl(NO2)2] - динитритохлоротриамминкобальт

[Pt(NH3)4Cl2]Cl2 - хлорид дихлоротетраамминплатины (IV)

[Li(H2O)4]NO3 - нитрат тетрааквалития