Материал: 1853

Внимание! Если размещение файла нарушает Ваши авторские права, то обязательно сообщите нам

Аутопсихологическая компетентность соотносится с понятием профессионального самосознания, самопознания и саморазвития:

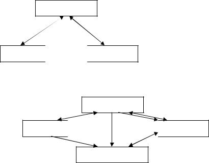
Схема 12. Педагогические способности

ПРОЕКТИРОВОЧНО-ГНОСТИЧЕСКИЕ СПОСОБОНОСТИ

Педагогическое целеполагание

Педагогическое мышление

 

 

 

 

 

РЕФЛЕКСИВНО-ПЕРЦЕПТИВНЫЕ СПОСОБНОСТИ

 

 

 

Рефлексия

Такт

Направленность

 

 

 

И.А. Зимняя на основании проведенных исследований (Н.В. Кузьмина, А.К. Маркова, А.Я. Никонова, Н.А. Аминов, С.К. Кондратьева, Л.М. Митина и др.) перечисляет условия эффективности деятельности педагога, которые выступая в качестве задатков, являются самостоятельным компонентом структуры субъекта и могут быть объектом диагностирования профпригодности человека:

оптимальный (по возрастным показателям) уровень интеллектуального развития по всем входящим в структуру функциям

– мнемической, логической, сенсорно-перцептивной и атенционной (в терминах Б.Г. Ананьева);

синтетический, целостный, поленезависимый когнитивный стиль с высоким показателем дифференциации (Г.А. Берулава);

гибкость и конвергентность мышления; активность, высокий темп реакции, лабильность, амбивертность;

эмоциональная устойчивость, высокий уровень саморегуляции (Зимняя Педагогическая психология: 88).

В наиболее обобщенном виде педагогические способности были представлены В.А. Крутецким (1997: 294-299):

1. Дидактические способности – способности передавать учащимся учебный материал, делая его доступным для детей, преподносить им материал или проблему ясно и понятно, вызывать интерес к предмету, возбуждать у учащихся активную самостоятельную мысль. Учитель с дидактическими способностями умеет в случае необходимости соответствующим образом реконструировать, адаптировать учебный материал, трудное делать легким, сложное — простым, непонятное, неясное — понятным...

Профессиональное мастерство, как мы его понимаем сегодня, включает способность не просто доходчиво преподносить знания, популярно и понятно излагать материал, но и способность организовать самостоятельную работу учащихся, самостоятельное получение

146

знаний, умно и тонко «дирижировать» познавательной активностью учащихся, направлять ее в нужную сторону.

2.Академические способности – способности к соответствующей области наук (к математике, физике, биологии, литературе и т.д.). Способный учитель знает предмет не только в объеме учебного курса, а значительно шире и глубже, постоянно следит за открытиями в своей науке, абсолютно свободно владеет материалом, проявляет к нему большой интерес, ведет хотя бы очень скромную исследовательскую работу.

3.Перцептивные способности – способности проникать во внутренний мир ученика, воспитанника, психологическая наблюдательность, связанная с тонким пониманием личности учащегося и его временных психических состояний. Способный учитель, воспитатель по незначительным признакам, небольшим внешним проявлениям улавливает малейшие изменения во внутреннем состоянии ученика.

4.Речевые способности – способности ясно и четко выражать свои мысли и чувства с помощью речи, а также мимики и пантомимики. Речь способного учителя на уроке всегда обращена к учащимся. Сообщает ли учитель новый материал, комментирует ли ответ ученика, выражает ли одобрение или порицание, речь его всегда отличается внутренней силой, убежденностью, заинтересованностью в том, что он говорит. Выражение мысли ясное, простое, понятное для учащихся.

5.Организаторские способности – это, во-первых, способности организовать ученический коллектив, сплотить его, воодушевить на решение важных задач и, во-вторых, способности правильно организовать свою собственную работу. Организация собственной работы предполагает умение правильно планировать и самому контролировать ее. У опытных учителей вырабатывается своеобразное чувство времени — умение правильно распределять работу во времени, укладываться в намеченные сроки.

6.Авторитарные способности – способность непосредственного эмоционально-волевого влияния на учащихся и умение на этой основе добиваться у них авторитета (хотя, конечно, авторитет создается не только на этой основе, а, например, и на основе прекрасного знания предмета, чуткости и такта учителя и т.д.). Авторитарные способности зависят от целого комплекса личностных качеств учителя, в частности его волевых качеств (решительности, выдержки, настойчивости, требовательности и т.д.), а также от чувства ответственности за обучение и воспитание школьников, от убежденности учителя в том, что он прав, от умения передать эту убежденность своим воспитанникам.

7.Коммуникативные способности – способности к общению с детьми, умение найти правильный подход к учащимся, установить с

147

ними целесообразные, с педагогической точки зрения, взаимоотношения, наличие педагогического такта.

8.Прогностические способности – способность предвидения последствий своих действий, в воспитательном проектировании личности учащихся, связанном с представлением о том, что из ученика получится в будущем, в умении прогнозировать развитие тех или иных качеств воспитанника.

9.Способность к распределению внимания одновременно между несколькими видами деятельности имеет особое значение для работы учителя. Способный, опытный учитель внимательно следит за содержанием и формой изложения материала, за развертыванием свой мысли (или мысли ученика), в то же время держит в поле внимания всех учащихся, чутко реагирует на признаки утомления, невнимательности, непонимания, замечает все случаи нарушения дисциплины и, наконец, следит за собственным поведением (позой, мимикой и пантомимикой, походкой).

Как заметила И.А. Зимняя (Педагогическая психология), «педагогические способности в своем содержании, во-первых, включают многие личностные качества и, во-вторых, раскрываются через определенные действия, умения. При этом есть умения, которые включаются в содержание нескольких способностей, например, входящее в дидактическую способность умение организовывать самостоятельную работу учащихся есть, по сути, умение организовать работу других. Оно входит в организаторскую способность. Умения, раскрывающие перцептивную способность, очень близки к умениям, входящим в способность к распределению внимания, и т.д. Это может свидетельствовать о том, что в основе определенных учительских действий (умений), а тем более их совокупности, с помощью которой реализуется та или иная педагогическая функция, могут лежать несколько способностей» (с. 88).

Роль педагога в современном образовательном процессе

отличается от его роли в прошлом. «Процедура обучения, способ связи обучаемого и обучающего, ученика и учителя – это не перекладывание знаний из одной головы в другую, не вещание, просвещение и преподнесение готовых истин. Это нелинейная ситуация открытого диалога, прямой и обратной связи… Это – ситуация пробуждения собственных сил обучающегося, инициирование его на один из собственных путей развития» (Князева, Курдюмов 1997). По их мнению, образование должно рассматриваться как гештальтобразование, "…стимулирующее, или пробуждающее образование, открытие себя или сотрудничество с самим собой и другими людьми" (Там же).

148

Л.С. Выготский (1996: 57 – далее) рассматривает образование как трехсторонний активный процесс (в нем активны не только педагог и учащийся, но и учебная среда), и это позволяет не проводить разделения воспитания и образования в процессе взаимодействия субъектов образовательного процесса. Активное отношение педагога и учащихся со средой (в частности, с учебной и иной информацией) можно представить в виде следующих схем:

Схема 13. Взаимодействие субъектов образовательного процесса

информация

педагог учащиеся

Схема 14. Взаимодействие субъектов образовательного процесса

информация

педагог учащиеся

учебная среда

Активность субъектов образовательного процесса выражается в мыслительной переработке поступающих данных: педагог организует информацию в учебные блоки, имеющие свойство полезности и оказывающие педагогическое воздействие на обучающихся (на схеме – учебная среда), обучающиеся, в свою очередь, при помощи педагога, а затем самостоятельно, производят анализ и синтез поступающей информации, определяют оперативную применимость информации и переводят ее в структуры собственного знания. Конечно, не вся поступающая информация подвергается такой переработке (эти случаи обозначены однонаправленной стрелкой).

Организацию действий учащихся по переработке поступающей информации педагог может осуществлять более эффективно, опираясь на теорию разграничения информации и знания. Еще Сенека заметил: «Съеденная пища лишь обременяет желудок, покуда остается такой, какой была; только изменившись, она превращается в силу и кровь (…) Пусть будет так же со всем, что питает наш разум: нельзя, чтобы почерпнутое оставалось нетронутым. Его нужно переварить, иначе это

149

пища будет для памяти, а не для ума». Отождествление информации, подаваемой в учебном процессе, со знаниями является неоправданным (Архангельский 1980).

Знания представляют собой систему понятий. Понятия существуют в сознании в виде ассоциаций представлений, которые нельзя передавать в том виде, в каком они существуют. «Следовательно, мы неизбежно приходим к выводу, что знания не передаются от одного человека к другому. Они формируются в сознании каждого человека в результате его собственной деятельности, состоящей из внешних и внутренних действий» (Бельдиян 1996: 3). В учебном процессе передается информация о знаниях.

Информация – это линейно (словесная информация) или нелинейно (наглядная информация) организованная система знаков, передающая сообщение, воспринимаемое и распознаваемое получателем, которой соответствуют в сознании отправителя и получателя определенные представления. Но если информацию можно отождествить с представлением, которое возникает в результате восприятия цепочки знаков, то знание – это система преобразования представлений, система перевода одних представлений в другие. В этой системе представлений отражаются свойства изучаемого объекта и особенности деятельности человека по его освоению. Эта деятельность фиксируется в категориях и классификациях, к которым обучающийся относит представление об объектах. Поэтому в процессе обучения преподаватель передает двоякую информацию − о содержании сообщения и о способе переработки информационных представлений в знания. Сообщающая функция информации может быть передана и техническими средствами обучения, организующая функция выполняется только учителем.

Превращение информационной (текстовой) семантики в знания проводится поэтапно. В.М. Бельдиян выделяет следующие этапы:

1)переструктурирование старого знания с целью осмысления новой информации;

2)формирование новых умений. По своей сути умения являются как бы внешними аналогами понятия. В основе понятий лежит генерализация (переход от частного к общему с последующей конкретизацией). В основе умения также лежит генерализация как перенос действия с одного вида деятельности на другой;

3)дифференциация новых и старых представлений;

4)вывод из сформированных представлений. Конечным результатом внутренних (мыслительных) перестроек представлений, вызываемых получаемой информацией, становится получение знаний как системы взаимосвязанных понятий.

150