Таблица 3 − Нормативы стоимости содержания автомобильных дорог, тыс. руб/км |
|
|
|||
Наименование |
|
|
Категория дороги |
|
|
федерального округа |
|
|
|
|
|
I |
II |
III |
IV |
V |
|
Центральный |
2441 |
1539 |
1370 |
1262 |
1202 |
Северо-Западный |
2082 |
1313 |
1169 |
1077 |
1026 |
Южный |
1633 |
1030 |
917 |
845 |
805 |
Приволжский |
1743 |
1099 |
979 |
901 |
858 |
Уральский |
1808 |
1140 |
1015 |
935 |
890 |
Сибирский |
1881 |
1186 |
1056 |
973 |
927 |
Дальневосточный |
2274 |
1434 |
1277 |
1176 |
1120 |
Таблица 4 − Нормативы стоимости ремонта автомобильных дорог, тыс. руб/км |
|
|
||||
Наименование |
|
|
Категория дороги |
|
|
|
федерального округа |
|
|
|
|
|
|
I |
II |
III |
IV |
V |
||
|
||||||
Центральный |
13668 |
7139 |
6858 |
6435 |
4697 |
|
Северо-Западный |
15217 |
7948 |
7634 |
7164 |
5229 |
|
Южный |
12363 |
6458 |
6203 |
5820 |
4248 |
|
Приволжский |
13293 |
6944 |
6670 |
6259 |
4568 |
|
Уральский |
14485 |
7566 |
7267 |
6819 |
4978 |
|
Сибирский |
15880 |
8294 |
7967 |
7476 |
5457 |
|
Дальневосточный |
16852 |
8802 |
8455 |
7934 |
5791 |
|
71
Таблица 5 − Нормативы стоимости капитального ремонта автомобильных дорог, тыс. руб/км |
|
|
||||
Наименование |
|
|
Категория дороги |
|
|
|
федерального округа |
I |
II |
III |
|
IV |
V |
|
|
|||||
|
|
|
|
|
|
|
Центральный |
54475 |
27015 |
24640 |
|
21671 |
14843 |
Северо-Западный |
60647 |
30076 |
27432 |
|
24127 |
16525 |
Южный |
49273 |
24435 |
22877 |
|
19602 |
13426 |
Приволжский |
52983 |
28630 |
26275 |
|
21078 |
14437 |
Уральский |
57731 |
28630 |
26113 |
|
22967 |
15731 |
Сибирский |
63289 |
31386 |
28627 |
|
25178 |
17245 |
Дальневосточный |
67165 |
33308 |
30380 |
|
26720 |
18301 |
Таблица 6. Расчет и формирование дорожных затрат по периодам
|
|
Дорожные затраты, тыс. руб |
|
||
№ п/п |
|
|
|
|
|
Капитальные вложения |
Содержание |
Ремонт и капитальный ремонт |
Итого |
||
|
|||||
|
|
|
|
|
|
0 |
|
|
|
|
|
1 |
|
|
|
|
|
2 |
|
|
|
|
|
3 |
|
|
|
|
|
… |
|
|
|
|
|
n |
|
|
|
|
|
72
4. Расчетсоциально-экономическогоэффекта
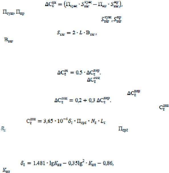
Социально-экономический эффект рассчитывают как сумму уменьшения потерь, непосредственно или косвенно связанных с работой автомобильноготранспорта:
|
|
(5) |
где |
– экономия транспортных затрат в t-м году; |
– уменьшение |
потерь, связанных со временем пребывания в пути пассажиров в t-м году;
– уменьшение потерь от ДТП в t-м году; |
– снижение потерь в |
|
сельскомхозяйствевt-мгоду; |
– снижениепотерьвсоциальнойсферев |
|
t-мгоду. |
|
|
Расчетэкономиитранспортныхрасходовведетсяпоформуле
Cat 365 |
m |
сL S jt |
пL , |
|
Nt S jt |
(6) |
|||
|
j 1 |
|
|
|
где Nt – среднегодовая суточная интенсивность движения автомобилей разного типа на участке, авт/сут; L – протяженность участка, км; Sjtс , Sjtп – средняя себестоимость 1 авт.-км пробега автомобилей j–го типа на участке существующей или проектной дороге;
Расчетная величина себестоимости пробега j-го типа автомобиля на 1 км в конкретных дорожных условиях находится из следующего выражения
S j Sперj |
Sпостj |
, |
(7) |
|
Vj |
||||
|
|
|
где Sперj, – расчетное значение переменных затрат на 1 км пробега
автомобиля j-го типа на участке (табл. 7); Sпостj – расчетное значение постоянных (независящих от пробега) затрат на 1 ч пребывания автомобиля
j-го типа в наряде (табл. 7); Vj- средняя техническая скорость движения j–го типа автомобиля на участке, км/ч.
(8)
где р – ежегодный прирост интенсивности движения, N0 – начальная интенсивностьдвижения, авт/сут.
Расчет выполняется для каждого вида автотранспортных средств: грузовыхавтомобилей, легковыхавтомобилей, автобусов.
Расчет эффекта от сокращения времени пребывания в пути пассажиров выполняетсятолькодлялегковыхавтомобилейиавтобусовпоформуле
(9)
где – цена пассажиро – часа, руб. (принимаем 320 руб); R –
пассажировместимость автобуса или легкового автомобиля, чел. (по табл. 7);

– коэффициентиспользованияпассажировместимости(
=0,8).
73
Расчет эффекта от доходов сельского хозяйства определяется по формуле
|
|
(10) |
где |
– удельные потери в сельском хозяйстве до и после |
|
строительства |
автомобильной дороги, руб.; |
– площадь района |
тяготениядоипослестроительстваавтомобильнойдороги, м2.
(11)
где – ширина района тяготения (от 15 до 25 км в зависимости от категориидороги), м.
Общий размер сельскохозяйственных потерь в среднем составляет 50% оттранспортныхрасходов, т.е.
Потери в социальной сфере |
(12) |
могут быть определены |
моделированием влияющих факторов или учтены с помощью региональных
коэффициентовквеличинеэкономиипотерьнатранспорте |
. |
|
(12) |
Расчет потерь от дорожно-транспортных происшествий |
|
производятпоследующейформуле |
|
, |
(14) |
где – количество ДТП на 1 млн. авт.- км в t-м году; |
- средние потери |
отодногоДТПвt-мгоду, руб.. |
|
Более точно количество дорожно-транспортных происшествий для автомобильных дорог можно определить по формуле
(15)
где – итоговый коэффициент аварийности (устанавливается путем построениялинейногографикакоэффициентоваварийности).
74
Таблица 7 − Показатели себестоимости пробега и простоя автотранспортных средств
|
|
|
Стои- |
|
Грузо- |
|
расходыПеременные, км/руб |
|
назатраты топливо |
|
назатраты смазочные материалы |
|
износназатраты шин |
|
иТОназатраты ЭР |
|
затратыПостоянные, час/руб |
|
амортизация |
|
накладные расходы |
|
платазаработная водителя |
|
простояСебестоимость час/руб, |
|
|
|
|
мость |
|
|
|
|
|
|
В том числе |
|
|
|
|
|
|
В том числе |
|
|
|
|
|
||||
|
|
|
|
подъем- |
|
|
|
|
|
|
|
|
|
|
|
|
|
|
|
|
||||||
|
|
|
авто- |
|
|
|
|
|
|
|
|
|
|
|
|
|
|
|
|
|
|
|
|
|
|
|
|
|
Марка, |
|
ность |
|
|
|
|
|
|
|
|
|
|
|
|
|
|
|
|
|
|
|
|
|
|
|
№ |
мобиля |
|
|
|
|
|
|
|
|
|
|
|
|
|
|
|
|
|
|
|
|
|
|
||
|
|
(т) / пасса- |
|
|
|
|
|
|
|
|
|
|
|
|
|
|
|
|
|
|
|
|
|
|||
|
модель |
(тыс. |
|
|
|
|
|
|
|
|
|
|
|
|
|
|
|
|
|
|
|
|
|
|
||
|
п/п |
|
жиро- |
|
|
|
|
|
|
|
|
|
|
|
|
|
|
|
|
|
|
|
|
|
||
|
автомобиля |
руб.) |
|
|
|
|
|
|
|
|
|
|
|
|
|
|
|
|
|
|
|
|
|
|
||
|
|
|
вмести- |
|
|
|
|
|
|
|
|
|
|
|
|
|
|
|
|
|
|
|
|
|
||
|
|
|
|
|
|
|
|
|
|
|
|
|
|
|
|
|
|
|
|
|
|
|
|
|
|
|
|
|
|
|
|
мость |
|
|
|
|
|
|
|
|
|
|
|
|
|
|
|
|
|
|
|
|
|
|
|
|
|
|
(чел) |
|
|
|
|
|
|
|
|
|
|
|
|
|
|
|
|
|
|
|
|
|
|
|
|
|
|
|
|
|
|
|
|
|
|
|
|
|
|
|
|
|
|
|
|
|
|
|
|
1 |
|
2 |
3 |
4 |
5 |
6 |
7 |
8 |
9 |
10 |
11 |
12 |
13 |
14 |
|
|||||||||||
I Легковые автомобили |
|
|
|
|
|
|
|
|
|
|
|
|
|
|
|
|
|
|
|
|
|
|
|
|
||
|
|
|
|
|
|
|
|
|
|
|
|
|
|
|
|
|
|
|
|
|
|
|
|
|
|
|
I.9 |
|
ВАЗ-2108 |
318 |
/4 |
3,74 |
2,91 |
0,21 |
0,16 |
0,46 |
162,8 |
19,73 |
25,02 |
118,05 |
197,84 |
|
|||||||||||
I.10 |
|
ВАЗ-2109 |
340 |
/4 |
3,77 |
2,91 |
0,21 |
0,16 |
0,49 |
164,53 |
21,14 |
25,34 |
118,05 |
199,58 |
|
|||||||||||
I.11 |
|
ВАЗ-21099 |
363 |
/4 |
3,59 |
2,73 |
0,18 |
0,16 |
0,52 |
166,24 |
22,55 |
25,64 |
118,05 |
201,34 |
|
|||||||||||
I.12 |
|
ВАЗ-2110 |
401 |
/4 |
3,52 |
2,59 |
0,18 |
0,19 |
0,56 |
169,1 |
24,92 |
26,13 |
118,05 |
204,28 |
|
|||||||||||
I.13 |
|
ВАЗ-2121 |
252 |
/4 |
5,25 |
4,38 |
0,32 |
0,19 |
0,36 |
158,08 |
15,67 |
24,36 |
118,05 |
192,77 |
|
|||||||||||
I.21 |
|
ЗАЗ-969 |
23 |
|
/4 |
|
3,47 |
|
2,91 |
|
0,39 |
|
0,14 |
|
0,03 |
|
140,39 |
|
1,41 |
|
20,93 |
|
118,05 |
|
176,98 |
|
I.22 |
|
ЗАЗ-970 |
23 |
|
/4 |
|
3,47 |
|
2,91 |
|
0,39 |
|
0,14 |
|
0,03 |
|
140,39 |
|
1,41 |
|
20,93 |
|
118,05 |
|
176,98 |
|
I.23 |
|
ЗАЗ-1102 |
53 |
|
/4 |
|
2,98 |
|
2,56 |
|
0,21 |
|
0,14 |
|
0,07 |
|
142,64 |
|
3,3 |
|
21,29 |
|
118,05 |
|
177,88 |
|
I.27 |
|
BMW 750 |
2394 |
|
/4 |
|
9,66 |
|
5,01 |
|
1,26 |
|
0,38 |
|
3,01 |
|
321,39 |
|
148,86 |
|
54,48 |
|
118,05 |
|
364,25 |
|
|
|
Chevrolet |
|
|
|
|
|
|
|
|
|
|
|
|
|
|
|
|
|
|
|
|
|
|
|
|
I.28 |
|
Suburban |
1008 |
|
/5 |
|
10,14 |
|
6,76 |
|
1,72 |
|
0,38 |
|
1,28 |
|
216,23 |
|
62,67 |
|
35,51 |
|
118,05 |
|
257 |
|
I.29 |
|
Chevrolet Tahoe |
1008 |
|
/4 |
|
9,92 |
|
6,58 |
|
1,68 |
|
0,38 |
|
1,28 |
|
216,2 |
|
62,67 |
|
35,48 |
|
118,05 |
|
257 |
|
I.30 |
|
Ford Club Wagon |
1260 |
|
/5 |
|
11,15 |
|
7,28 |
|
1,86 |
|
0,44 |
|
1,57 |
|
235,57 |
|
78,35 |
|
39,17 |
|
118,05 |
|
276,5 |
|
I.31 |
|
Ford Explorer |
1210 |
|
/4 |
|
8,08 |
|
4,94 |
|
1,26 |
|
0,38 |
|
1,5 |
|
231,21 |
|
75,2 |
|
37,96 |
|
118,05 |
|
272,57 |
|
I.32 |
|
Ford Galaxy |
756 |
|
/4 |
|
6,13 |
|
3,82 |
|
0,98 |
|
0,38 |
|
0,95 |
|
196,47 |
|
47 |
|
31,42 |
|
118,05 |
|
237,5 |
|
I.33 |
|
Ford Maverick |
756 |
|
/4 |
|
5,85 |
|
3,29 |
|
1,23 |
|
0,38 |
|
0,95 |
|
196,44 |
|
47 |
|
31,39 |
|
118,05 |
|
236,84 |
|
75