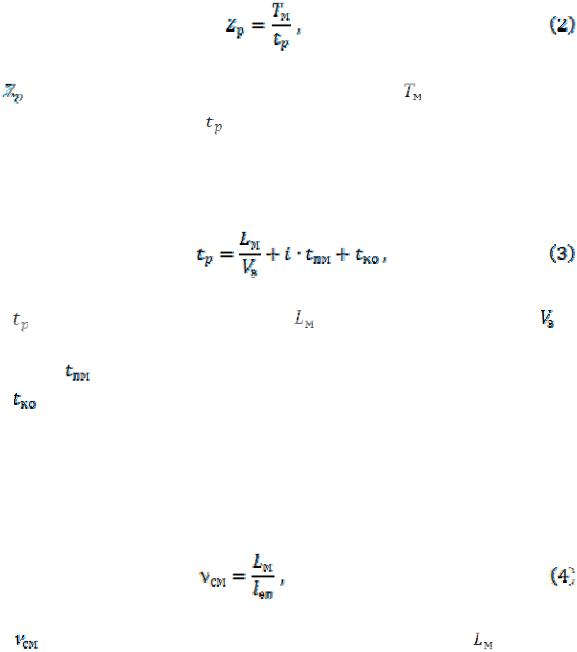
Количество рейсов автобуса за день.
Этот показатель рассчитывается делением времени работы автобуса на маршруте на время одного рейса:
где − |
кол |
чество |
рейсов |
автобуса |
за день; − время |
|
работы |
|
автобуса на маршруте, час; − время одного рейса. |
|
|
||||||
С |
рейса |
автобуса |
представляет собой |
сумму |
||||
Время |
одного |
|||||||
|
в дв жен |
в простоях на промежуточных и конечных |
||||||
остановках |
|
: |
|
|
|
|
||
времени |
|
|
|
|
||||
где |
– время одного рейса, час; |
– длина маршрута, |
км; – |
|||||
эксплуатационная скорость, км/ час;i – количество промежуточных |
||||||||
остановок; |
автобуса |
|
|
|
||||
|
– среднее время простоя на промежуточной остановке, |
|||||||
мин; – время простоя на конечной остановке, мин. |
|
|
||||||
В |
формуле 1 |
остается |
неизменным коэффициент сменности |
|||||
|
|
|
|
А |
|
|
||
пассажиров за рейс на маршруте. Он рассчитывается в данном случае |
||||||||
делением длины маршрута на среднюю длину поездки одного |
||||||||
пассажира: |
|
|
|
Д |
||||
|
|
|
|
|
||||
где |
– коэффициент сменности пассажиров за рейс; |
– |
длина |
|||||
маршрута, км;
– длина поездки одного пассажираИ, км.
По результатам расчетов технико-эксплуатационных показателей работы подвижного состава на маршруте составляется табл. 1.
11
Таблица 1
Технико-эксплуатационные показатели работы автобуса на маршруте
|
|
Показатель |
|
Формула |
Значение показателя |
|
||
|
|
|
|
|
|
|
|
|
|
1.Время одного рейса, час. |
|
|
|
|
|
|
|
|
|
|
|
|
|
|
|
|
|
2. Количество рейсов |
|
|
|
|
|
|
|
|
|
|
|
|
|
|
|
|
|
3. Коэффициент сменности |
|
|
|
|
|
|
|
|
пассаж ров |
|
|
|
|
|
|
|
|
4. Про звод тельность |
|
|
|
|
|
|
|
|
одного автобуса, пасс. |
|
|
|
|
|
|
|
|
подвижного |
|
|
|
|
|
|
|
|
5. Кол чество |
|
|
|
|
|
|
|
Ссостава |
|
|
|
|
|
|
||
|
на маршруте, ед. |
|
|
|
|
|
|
|
|
|
б |
|
|
|
|
||
|
|
2.3. Показатели производственной программы |
|
|
||||
|
|
по эксплуатации автобусов на маршруте |
|
|
||||
|
Автомоб ле-дни в эксплуатации за год |
|
|
|
|
|||
|
|
А |
(5) |
|
||||
|
|
|
, |
|
|
|
||
|
где |
– количество авто усов, находящихся в эксплуатации на |
||||||
|
конкретном маршруте, ед.; |
– дни календарные, ( к =365). |
|
|
||||
|
Годовое количество часов работы автобусов на маршруте |
|
|
|||||
|
|
|
, |
|
|
(6), |
|
|
|
|
|
|
|
И |
|||
|
где |
– годовое количество автомобилеД-часов в эксплуатации, час.; |
||||||
|
– |
автомобиле-дни в эксплуатации за год, |
а-дни; – режим |
|||||
работы автобусов на маршруте, час.
Общий пробег автобусов на маршруте за год
, (7)
где
– годовой пробег автобусов на количество автобусов в эксплуатации на количество рейсов одного автобуса за день;
маршруте, км;
– маршруте, ед.;
– 

– длина маршрута,
12
км;
– нулевой пробег одного автобуса за день, км;
– количество календарных дней, дн.
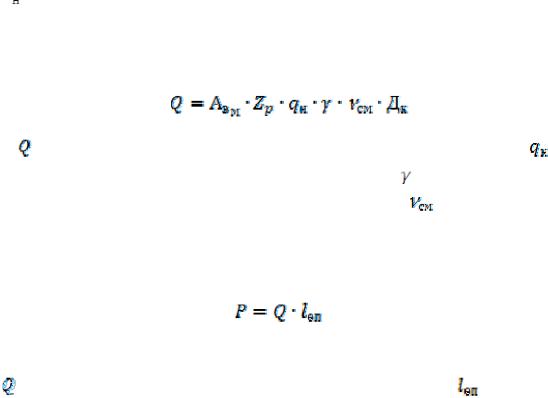
Объем перевозок на маршруте за год
С |
|
|
, |
|
|
|
(8) |
|
|||
|
|
|
|
|
|
|
|
|
|||
|
где |
– годовой объем |
перевозок |
|
на маршруте, пасс.; |
– |
|||||
|
номинальная вмест мость |
автобуса, |
пасс.; |
– |
коэффициент |
||||||
|
|
я пассаж ровместимости автобуса; |
– |
коэффициент |
|||||||
|
использован |
|
|
|
|
|
|
|
|
|
|
|
сменности пассаж ров за рейс. |
|
|
|
|
|
|
|
|
||
|
Выполненная транспортная работа на маршруте |
|
|
|
|||||||
|
|
работа |
|
|
|
|
|
(9) |
|
||
|
|
|
|
, |
|
|
|
|
|
|
|
|
где Р – |
годовая транспортная |
автобусов на маршруте, |
пасс. |
|||||||
|
км; – годовой о ъем перевозок на маршруте, пасс.; |
– средняя |
|||||||||
|
|
А |
|
|
|
|
|
||||
|
дальность ездки пассажиров на маршруте, км. |
|
|
|
|
|
|||||
|
Полученные результаты проведенных расчетов основных |
||||||||||
|
объемных показателей ра оты |
подвижного состава на маршруте |
|||||||||
|
оформляются в табл. 2. |
|
Д |
|
|
||||||
|
|
|
|
|
|
|
|
|
|
||
|
|
|
|
|
|
|
|
|
Таблица 2 |
||
|
Годовые объемные показатели эксплуатации автобуса на маршруте |
||||||||||
|
|
|
|
|
|
И |
|||||
|
|
Показатель |
|
|
|
Формула |
|
|
Значение |
|
|
|
|
|
|
|
|
|
|
|
Показателя |
|
|
|
1. Автомобиле-дни в эксплуатации за год, |
|
|
|
|
|
|
|
|||
|
а-дн. |
|
|
|
|
|
|
|
|
|
|
|
2. Автомобиле-часы в эксплуатации за год, |
|
|
|
|
|
|
|
|||
|
а-час. |
|
|
|
|
|
|
|
|
|
|
|
3. Общий пробег автобусов на маршруте за год, |
|
|
|
|
|
|
|
|||
|
км |
|
|
|
|
|
|
|
|
|
|
|
4. Объем перевозок на маршруте за год, пасс. |
|
|
|
|
|
|
|
|||
|
|
|
|
|
|
|
|
|
|||
|
5. Транспортная работа на маршруте, пасс.км |
|
|
|
|
|
|
|
|||
13
2.4. Расчет эксплуатационных затрат
на перевозку пассажиров на маршруте
После выполнения расчетов технико-эксплуатационных и |
|
С |
|
объемных показателей работы автобусов на маршруте переходим к |
|
расчету экономических показателей. К экономическим показателям |
|
работы автобусов на маршруте относятся: |
|
- общ е затраты на эксплуатацию подвижного состава на |
|
маршруте; |
|
убытки |
|
- себесто |
мость перевозок; |
- выручка на маршруте; |
|
- |
(пр ыль). |
Расчет затрат на эксплуатацию подвижного состава при |
|
перевозке пассаж ров на городском пассажирском транспорте |
|
провод тся по |
щепр нятой методикеформирования себестоимости |
по статьям затрат на пассажирском транспорте. Группировка затрат по статьям мости перевозок предусматривает расчет:
- фонда оплаты труда;
- суммы переменных затрат (в состав переменных затрат входят |
||||||||
себесто |
|
|
|
|
||||
затраты на топливо, смазочные и эксплуатационные материалы, |
||||||||
затраты на ремонтный фонд, затраты на восстановление износа и |
||||||||
|
А |
|
|
|
||||
|
|
|
Д |
|
||||
ремонта шин, амортизация подвижного состава); |
|
|
|
|||||
- суммы постоянных расходов; |
|
|
|
|
|
|||
Расчет |
фонда |
оплаты |
|
труда |
водителей |
и |
||
кондукторов(структура)маршруте |
проводится |
на |
основании |
|||||
действующей системы |
оплаты |
труда |
и численности водителей и |
|||||
|
|
|
|
|
И |
|||
кондукторов, работающих на заданном маршруте. На муниципальных |
||||||||
предприятиях |
пассажирского |
транспорта действует |
повременно- |
|||||
премиальная система оплаты труда. Заработная плата начисляется в соответствии с «Положением по оплате труда водителей и кондукторов», разработанном на предприятии. Фонд оплаты этих категорий персонала состоит из тарифной и надтарифной частей заработной платы.
Общий фонд оплаты труда водителей и кондукторов на маршруте рассчитывается следующим образом. Тарифная часть рассчитывается исходя из действующих часовых тарифных ставок водителей и кондукторов по маркам автобусов с учетом фактически отработанного времени на маршруте.
14
Надтарифная часть будет рассчитываться в соответствии имеющегося соотношения на предприятиях между тарифной и надтарифной частями заработной платы. В расчетах это соотношение можно принять равным 1,35–1,45.
С |
|
|
|
|
|
|||
|
Расчет переменных затрат на эксплуатацию подвижного |
|||||||
состава на маршруте. Затраты на топливо рассчитываются на |
||||||||
основан |
действующ х норм расхода топлива для каждой марки |
|||||||
подвижного состав, с учетом увеличения действующих норм расхода |
||||||||
топлива в зав |
с мости от условий эксплуатации. |
|
|
|||||
топливо |
|
|
|
|
||||
где |
|
надбавка |
|
|
|
|||
– затраты на |
, руб.; |
– норма расхода топлива на 100 |
||||||
км |
пробега, |
л тр; |
– |
|
при работе |
в городе, |
% |
|
(устанавл |
вается с |
учетом численности |
населения |
города, |
= |
|||
5%); |
|
|
|
А |
|
|
||
|
– над авка при ра оте, требующей частных остановок, |
|||||||
связанных с посадкой и высадкой пассажиров, % ( |
= 8–10%); |
– |
||||||
предельная величина над авки при работе в зимнее время, % ( =15– |
|||
20,0 %, рассчитывается по сроку действия зимней надбавки в течение |
|||
|
|
Д |
|
года, мес.); – стоимость 1 литра топлива, руб.; – пробег автобусов |
|||
на маршруте, км. |
|
|
|
|
Затраты на смазочные и эксплуатационные материалы для |
||
|
|
|
И |
подвижного состава рассчитываются на основании затрат на топливо |
|||
в процентном соотношении, принимаются в размере от 3 до 7,5 % в |
|||
зависимости от марки подвижного состава. |
|
||
|
|
|
,(11) |
где |
– затраты на смазочные и эксплуатационные материалы для |
||
подвижного состава, руб./км;

– затраты на топливо, руб./км;
–
процент соотношения между расходом по топливу и смазочными материалами для подвижного состава, %.
Затраты по ремонтному фонду (техническое обслуживание и ремонт подвижного состава включают затраты: на материалы, запасные части и заработную плату ремонтным рабочим) рассчитываются на основании фактических затрат по этой статье.
15