На выходном конце тихоходного вала редуктора установлена жёстко-компенсирующая муфта.
Так как внешние нагрузки, действующие на вал расположены в различных плоскостях составляем расчётные схемы для вала в горизонтальной плоскости (рисунок 3.1, б) и вертикальной плоскости (рисунок 3.1, г). Для каждой расчётной схемы определяем реакции опор и строим эпюры изгибающих моментов.
Рассматриваем горизонтальную плоскость:
Составляем уравнение моментов сил относительно опоры A
; (6.2)
Отсюда определяем
реакцию
:
, (6.3)
Н.
Составляем уравнение моментов сил относительно опоры B:
; (6.4)
Отсюда определяем
реакцию
:
, (6.5)

Рисунок 6.1 – Расчётная схема и эпюры моментов тихоходного вала редуктора
Строим эпюру изгибающих моментов в горизонтальной плоскости (рисунок 6.1, в):
Н∙м;
Н∙м.
Рассматриваем вертикальную плоскость:
Определяем момент
от осевого усилия
:
Составляем уравнение моментов сил относительно опоры A;
. (6.8)
Отсюда определяем
реакцию
:
, Н, (6.9)
Н.
Составляем уравнение моментов сил относительно опоры B:
. (6.10)
Отсюда определяем
реакцию
:
(6.11)
Н.
Строим эпюру изгибающих моментов в вертикальной плоскости (рисунок 3.1, д):
Н∙м,
Н∙м.
Строим суммарную эпюру изгибающих моментов (рисунок 3.1, е).
Н·м,
Н·м.
Строим эпюру крутящих моментов (рисунок 3.1, ж).
Условие усталостной выносливости вала согласно [3] выглядит в виде
, (6.12)
где
‑ коэффициент
запаса для вала по усталостной
выносливости;
‑ допускаемый
коэффициент запаса для вала по усталостной
выносливости
= 1,5.
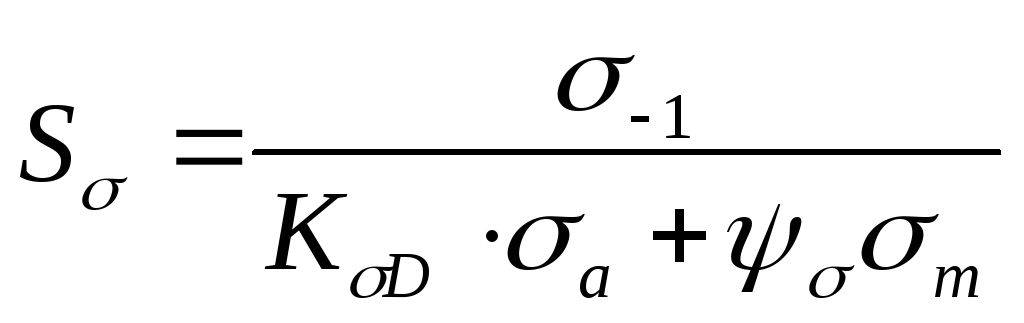
Коэффициент запаса для вала по усталостной выносливости определяется по формуле
, (6.13)
где
‑ коэффициент
запаса для вала по усталостной выносливости
по напряжения изгиба;
‑ коэффициент
запаса для вала по усталостной выносливости
по напряжения кручения.
Коэффициенты запаса для вала по усталостной выносливости по напряжения изгиба и кручения определяются по формулам:
, (6.14)
, (6.15)
где
и
‑ пределы
усталостной выносливости по
напряжениям изгиба
и кручения соответственно;
и
‑ амплитуды
циклов напряжений изгиба и кручения
соответственно;
и
‑ средние
напряжения циклов напряжений изгиба и
кручения соответственно;
и
‑ коэффициенты,
корректирующие влияние средние напряжения
циклов напряжений изгиба и кручения на
усталостную выносливость;
и
‑ коэффициенты
концентрации напряжений.
Пределы усталостной выносливости по напряжениям изгиба и кручения определяются в зависимости от предела прочности материала вала по формулам:
, МПа,
(6.16)
, МПа,
(6.17)
МПа,
МПа.
Напряжения изгиба изменяется по знакопеременному циклу для которого амплитуда цикла напряжений изгиба равна максимальному значению напряжений изгиба, а среднее напряжение цикла напряжений изгиба равно нулю, т.е:
,
![]()
, (6.18)
где
‑ максимальное
значение напряжений изгиба.
Максимальное значение напряжений изгиба определяется для опасного сечения вала. Опасным сечением вала является сечение, на которое действуют наибольшие изгибающий и крутящий моменты. В нашем случае опасным сечением (согласно рисунку 5.1) будет сечение в опоре В. Для данного сечения напряжения изгиба определяются по формуле:
, (6.19)
где
‑ осевой
момент сопротивления опасного сечения.
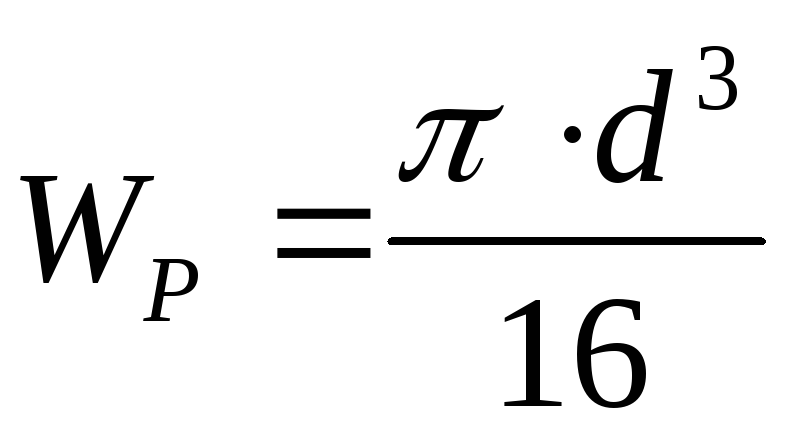
Для вала круглого сечения осевой момент сопротивления определяется по формуле:
, (6.20)
где
‑ диаметр
вала в опасном сечении;
м3.
Тогда :
Па
= 101,99 МПа.
Напряжения кручения изменяется по отнулевому циклу для которого амплитуда цикла напряжений кручения равна среднему напряжению цикла напряжений кручения и составляет половину максимального значения напряжений кручения.
, (6.21)
где
‑ максимальное
значение напряжений кручения.
Максимальное значение напряжений кручения определяется для опасного сечения вала по формуле:
, (6.22)
где
‑ полярный
момент сопротивления опасного сечения.
Для вала круглого сечения полярный момент сопротивления определяется по формуле:
, (6.23)
м3.
Тогда :
Па = 7,81 МПа.
Коэффициенты, корректирующие влияние средние напряжения циклов напряжений изгиба и кручения на усталостную выносливость определяются в зависимости от предела прочности материала вала по формулам:
, (6.24)
, (6.25)
,
.
Коэффициенты концентрации напряжений определяются по формулам:
, (6.25)
, (6.26)
где
,
‑ эффективные
коэффициенты концентрации напряжений;
,
‑ коэффициенты
учитывающие размеры вала;
,
‑ коэффициенты
учитывающие качество (шероховатость)
поверхности;
‑ коэффициент
учитывающий наличие поверхностного
упрочнения.
Эффективные коэффициенты концентрации напряжений зависят от вида концентратора напряжений. Для рассматриваемого вала в опасном сечении концентратором напряжений является канавка для выхода шлифовального круга, выполняемая на рассматриваемой шейке вала (рисунок 5.2).