Материал: записка

Внимание! Если размещение файла нарушает Ваши авторские права, то обязательно сообщите нам

Коэффициент долговечности

‑ для шестерни:

;

‑ для колеса:

.

По рекомендациям [3] при <1 принимают  = 1. Поэтому принимаем  = 1, =1.

Допускаемые контактные напряжения:

‑ для шестерни: МПа;

‑ для колеса: МПа.

Так как коническая прямозубая передача величину допускаемых контактных напряжений определяют по формуле:

, (2.7)

 МПа.

Окончательно принимаем допускаемые контактные напряжения для передачи  МПа.

Так как цилиндрическая косозубая передача величину допускаемых контактных напряжений определяют по формуле:

, (2.8)

 МПа.

Окончательно принимаем допускаемые контактные напряжения для передачи  МПа.

Определяем допускаемые напряжения изгиба по формуле:

, (2.9)

где  ‑ предел выносливости по напряжениям изгиба, МПа;

 ‑ коэффициент безопасности;

 ‑ коэффициент учитывающий влияние двустороннего приложения нагрузки;

 ‑ коэффициент долговечности.

Предел выносливости по напряжениям изгиба рассчитывается по формулам из таблицы 8.8, [3]:

Для колес при улучшении:

, (2.10)

 МПа.

Для шестерен при улучшении:

.

Коэффициент безопасности выбирается по таблице 8.8, [3] в зависимости от термообработки.

При улучшении для колеса выбираем  = 1,75.

При закалке для шестерни выбираем  = 1,75.

Коэффициент долговечности рассчитывается по формуле:

, (2.11)

где  циклическая долговечность ( = 4·106 для всех сталей [3]);

 ‑ эквивалентное число циклов перемены напряжений изгиба.

Эквивалентное число циклов перемены напряжений изгиба рассчитывается по формуле:

, (2.12)

где  ‑ коэффициент режима работы (по таблице 8.9, [3] для легкого режима работы  = 1);

Тогда:

‑ для шестерн:

;

‑ для колеса:

.

Коэффициент долговечности:

‑ для шестерни

;

‑ для колеса

.

По рекомендациям [3] при <1 принимают  = 1. Поэтому принимаем  =1,  = 1.

Коэффициент учитывающий влияние двустороннего приложения нагрузки в нашем случае при одностороннем приложении нагрузки .

Тогда допускаемые напряжения изгиба:

Для шестерни

МПа.

Для колеса

МПа.

2.2 Проектный расчёт быстроходной передачи

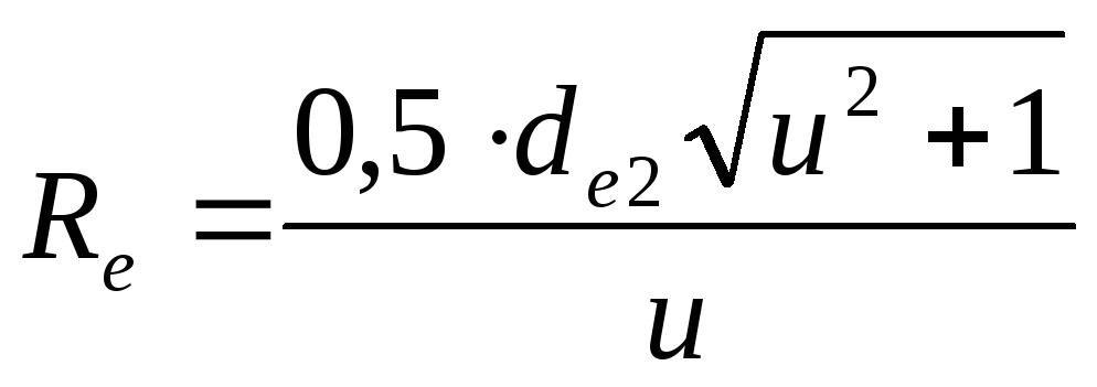
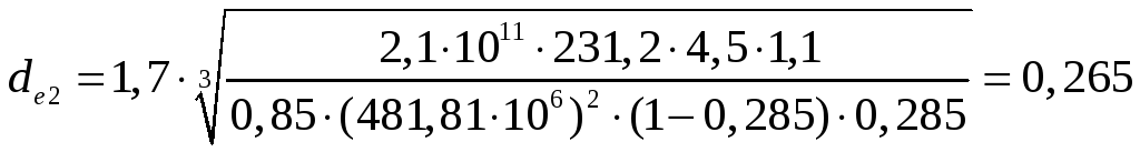
Проектный расчёт конической прямозубой передачи ведем относительно внешнего делительного диаметра колеса по формуле:

, (2.13)

где  – приведенный модуль упругости материала шестерни (для сталей  = 2,1·1011 Па);

 - крутящий момент на валу колеса, Н∙м;

 – коэффициент ширины зубчатого венца относительно внешнего конусного расстояния;

 – опытный коэффициент, характеризующий понижение прочности зубьев конической передачи по сравнению с цилиндрической ();

 ‑ передаточное отношение передачи;

 ‑ коэффициент концентрации нагрузки.

Коэффициент ширины зубчатого венца относительно внешнего конусного расстояния принимаем согласно рекомендациям [3].

Коэффициент выбирается по графикам (рисунок 8.15, [3]) в зависимости от твердости поверхности зубьев колеса и шестерни, вида расположения опор и отношения .

В нашем случае при этом 1,1.

Тогда,

 м = 265 мм.

Определяем внешнее конусное расстояние:

, (2.14)

 мм.

Определяем ширину зубчатого венца:

, (2.15)

мм.

Принимаем мм.

Определяем углы делительных конусов:

, (2.16)

;

, (2.17)

.

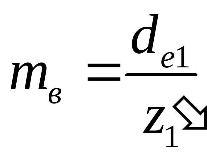
Определяем внешний делительный диаметр шестерни:

, (2.18)

мм.

По графику (рис. 8.36, [3]) принимаем (при  = 4,4) и далее определяем число зубьев шестерни . Принимаем .

Определяем модуль во внешнем сечении:

, (2.19)

мм.

Определяем модуль в среднем сечении:

, (2.20)

 мм.

Определяем число зубьев колеса:

, (2.21)

.

Окончательно принимаем число зубьев колеса .

Определяем средний делительный диаметр шестерни и колеса:

, (2.22)