Материал: Задача оптимального управления опционами

Внимание! Если размещение файла нарушает Ваши авторские права, то обязательно сообщите нам

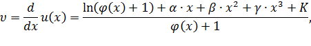
Приравняв правые части выражений, которые мы имеем для функции , получим линейное неоднородное дифференциальное уравнение первого порядка для производной функции полезности (функция ). Решение этого уравнения можно найти методом Бернулли.

В результате получаем вид первой производной u(x):


где K - константа.

Сама функция полезности - это интеграл от такого выражения, то есть


Поскольку в явном виде этот интеграл не берется, то можно, к примеру, представить подынтегральное выражение в виде полиномиального ряда, и тогда мы сможем легко проинтегрировать полученный многочлен.

Теперь, зная вид производной функции полезности, а также вид функции выплат для опционов, мы можем найти, как выглядит функция плотности вероятности наблюдаемого распределения базового актива. Для случая, когда подставляем функцию выплат для опционов-колл, получаем:


и для опционов-пут:


где N - нормировочная постоянная, K - страйк.

Таким образом, нам удалось решить поставленную задачу оптимального управления как задачу вариационного исчисления. В результате мы нашли вид первой производной функции полезности и вид функции плотности вероятности. Подставив эти функции вместо риск-нейтральной функции плотности вероятности в формулу для нахождения ожидаемых значений будущих выплат, дисконтированных с безрисковой ставкой процента (из главы 1.2.), мы получим готовую модель для оценки опционов. Остается лишь провести параметризацию этих функций на реальных рыночных данных, чему посвящена заключительная часть этой работы.

3.2 Оценка параметров физической функции плотности вероятности и функции полезности


Теперь, когда все теоретические аспекты работы изучены, а математический аппарат сформирован, можно приступать к практической части исследования. В данной главе нам предстоит оценить полученные из вариационной задачи функции физической плотности вероятности и первой производной функции полезности, чтобы, ссылаясь на формализм Якверта, подставить их в формулу, основанную на риск-нейтральной оценке, вместо RND и получить модель оценки опционов.

Параметры этих функций мы будем оценивать на основе данных по опционам на акции компании The Goldman Sachs Group, Inc. (GS) от 13 мая 2016 года со сроком исполнения 17 июня того же года, то есть время до экспирации опциона (τ) составляет 25/252 торговых дня.

Стоит напомнить, что в данной модели текущая стоимость портфеля равна единице, поэтому нормируем все остальные данные, то есть делим на спотовую цену акции, которая в этот день равнялась 155.34 долл. США. Вопрос о том, что взять в качестве цены акции, остается открытым. В этой работе берем скорректированную цену закрытия (т.е. с поправкой на дивиденды и дробление акций), поскольку она считается наиболее репрезентативной. В качестве премии по опциону берутся последние цены сделок в этот торговый день, аналогично предыдущим данным. Поскольку наша модель подразумевает дисконтирование с безрисковой ставкой процента ожидаемых будущих выплат по производному финансовому инструменту, то в качестве такой ставки примем доходность 10-летних казначейских облигаций США, которая на этот момент составляла r = 1.75%.

Для подбора оптимальных значений параметров ожидаемой физической функции плотности вероятности и первой производной функции полезности будет использован метод минимизации квадратов отклонений остатков наблюдаемой на рынке цены опциона от рассчитанной по нашей модели.

Для этого предварительно зададим начальные значения параметров, а также наложим несколько ограничений: добавим в ограничения риск-нейтральную функцию плотности вероятности как произведение искомых функций; приравняем площади функций плотности вероятности под интегралом единице; наложим ограничения на хвосты распределений. В результате мы найдем значения неизвестных параметров и получим численный вид искомых функций.

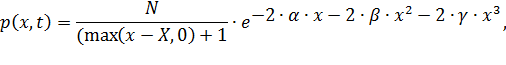
Напомним, что вид нашей функции плотности вероятности и первой производной функции полезности различается в зависимости от того, рассматриваем мы опционы на покупку или же на продажу, поскольку там присутствует функция выплат, которая разная для разных опционов. Поэтому имеет смысл оценивать эти функции на опционах-колл и опционах-пут.

Решив вариационную задачу, мы получили, что наша функция плотности, если мы берем опцион на покупку, выглядит следующим образом:


а первая производная функции полезности, соответственно:


Как мы видим, функция выплат зависит от страйка опциона, а, следовательно, и эти две функции тоже будут зависеть от страйка. Получается, что для каждой цены исполнения у нас своя частная спецификация функции плотности и функции полезности. То есть мы тем самым разделяем всю совокупность субъектов рынка на когорты, которые работают с разными ценами исполнения. Получившийся результат можно соотнести с тем фактом, что на рынке наблюдается разная вмененная волатильность для разных страйков, тот самый эффект "улыбки". Тем самым мы возвращаемся к старому методологическому спору между Дж. Хиксом и Фр. Модильяни в середине XX века, которые пытались объяснить "нормальный" вид кривой доходности (т.е. привычную конфигурацию, когда доходность растет при удалении во времени). Один утверждал, что само время влияет на предпочтения, т.е. чем дальше во времени горизонт инвестирования, тем больше риск, а другой - что она определяется разным отношением к риску со стороны качественно разнородных участников рынка. Таким образом, мы будем придерживаться второй точки зрения, то есть на разных страйках у разных участников рынка разные отношения к риску и разные видения картины мира.

Итак, оценив функцию плотности вероятности и первую производную функции полезности на опционах фут, получим следующие результаты, которые можно представить графически.





На рисунках 1-3 представлена вся совокупность функций наблюдаемой плотности вероятности pC(x,n), риск-нейтральной qC(x,n) и первой производной функции полезности υC(x,n) для всех n=15 цен исполнения опционов (n =0…14, 0 соответствует наименьшему страйку=130, 14 - наибольшему=200). На рисунке 4 красной линией изображена физическая pC(x,0), а синей - риск-нейтральная функции плотности qC(x,0) для одной цены исполнения, равной 130$ в ненормированном виде. Как мы видим, ожидаемая функция плотности в обоих случаях немного отклоняется от риск-нейтральной, находясь немного правее и выше, то есть имеет большую премию за риск, что соответствует результатам, к которым приходили в своих работах различные исследователи.

Теперь рассчитаем математическое ожидание для физической и риск-нейтральной функций плотности, а также среднее квадратическое отклонение для p(x) по следующим формулам:


Индекс k здесь означает соответствие функций p(x) и q(x) определенному страйку (k =0…14).


На рисунке 5 по основной оси Y изображены красными сплошными столбиками математические ожидания для всех наблюдаемых функций плотности вероятности mpk, а черными - для риск-нейтральных mpk. По дополнительной оси Y синей линией показаны страйки Xk. Как мы можем видеть на этом рисунке, в случае оценки функций по наблюдаемым опционам на покупку, существует прямая зависимость между страйком и математическим ожиданием. Иными словами, функции p(x), соответствующие большей цене исполнения, имеют большее математическое ожидание, т.е. в представлении инвесторов, к которым мы относим эти функции, цена подлежащего актива должна вырасти сильнее. Также на этом рисунке проиллюстрирован тот факт, что у физической функции плотности математическое ожидание больше, чем у риск-нейтральной, которая соответствует безрисковой оценке. Это соотношение выполняется для всех функций плотности, кроме двух, которые соответствуют самым высоким ценам исполнения.

Что касается стандартного отклонение функций p(x), то оно также увеличивается с ростом страйка (Рисунок 6).


Рисунок 7. Функция полезности u(x), цена исполнения = 130

Теперь восстановим вид функций полезности, зная их первые производные. Для этого разложим функции υ(x) в полиномиальный ряд, чтобы можно было легко их проинтегрировать. В качестве весовой функции выступает функция равномерного распределения, определенная на отрезке от 0 до 2, что совпадает с областью определения ликвидационной стоимости нашего портфеля и всех найденных функций. Ортонормировка проводится методом моментов с использование матриц Гамбургера и Ганкеля. Графический вид функции полезности, полученный инегрированием функции υ(x,0) для той же цены исполнения = 130, представлен на рисунке 6.

Теперь для того, чтобы попытаться извлечь какую-либо общую информацию об ожиданиях всего рынка, а не отдельных его участников, необходимо каким-то образом объединить построенные функции распределения ликвидационной стоимости инвестиционного портфеля, соответствующие разным страйкам. Будем считать, что их совместное распределение представляет собой взвешенную сумма всех функций p(x), где весами выступает либо объем, либо открытая позиция.

Если Vk - это объемы торгов по опционам с соответствующими ценами исполнения, тогда совместная функция плотности вероятности P(x) будет равна:


а ее график выглядит следующим образом:

Рисунок 8. Совместная функция плотности вероятности P(x)

 

Зная совместное ожидаемое фактическое распределение базового актива (т.е. акции, на которую выставлен опцион), попытаемся выявить скрытую информацию об ожиданиях рынка на будущее. Поскольку мы оцениваем теоретические цены опционов по наблюдаемым ценам, которые соответствуют определенному горизонту инвестирования, т.е. определенному сроку до исполнения, то мы можем получить информацию о неявных рыночных ожиданиях в отношении того горизонта инвестирования, который будет совпадать со временем исполнения опциона. С этой целью посчитаем моменты первого, второго и третьего порядка для общей функции плотности вероятности. Полученные значения представлены в таблице 1.

Как мы видим, "премия" в математическом ожидании для физической плотности в достаточно велика, что, возможно, может нам говорить о том, что участники рынка ждут роста текущей цены акции. Что же касается стандартного отклонения и коэффициента асимметрии, то здесь однозначного сказать ничего нельзя.

Таблица 1. Моменты совместной физической функции плотности.


Математическое ожидание

Стандартное отклонение

Асимметрия

P(x)

1.113

0.22

-1.344


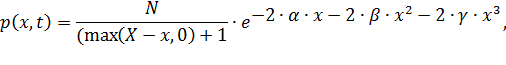
Однако не будем забывать, что на рынке торгуются не только опционы на покупку, но также и на продажу, поэтому имеет смысл оценивать распределения не только по опционам-колл, но также принять во внимание опционы-пут. Оценив функции плотности, которые имеют вид


и первые производные функции полезности


мы получим новые значения параметров функций плотности вероятности физических, риск-нейтральных и первых производные функций полезности. В отличие от функций, оцененных на опционах на покупку, эти функции имеют завышенное математическое ожидание, как это обычно бывает. Это соответствует тому факту, что когда мы склеиваем вмененную волатильность, наши оценки со стороны опционов на покупку и на продажу всегда смещены в противоположные стороны. Т.е. это тот же эффект, который прослеживается для вмененной волатильности.

Также основным отличием является то, что математическое ожидание и среднеквадратическое отклонение этих функций, наоборот, уменьшается с ростом цены исполнения. Это связано с тем, что инвесторы, покупая опционы со стайком намного превышающим текущую цену ожидают снижения цены подлежащего актива, что позволит им получить большую прибыль.

Для того, чтобы проиллюстрировать работоспособность нашей модели, рассмотрим небольшую последовательность будущих опционов на акции компании Goldman Sachs, т.е. соответствующие разным временным горизонтам. с двумя ценами исполнения (155 и 160), ближайшими к текущей цене самой акции. Для страйка=160, мы имеем цепочку из 11 опционов, время исполнения первого из которых - 20 мая 2016 года, а последнего - 19 января 2018. управление опцион вероятность вариационный

Эти функции соответствуют функция плотности вероятности с наименьшим и наибольшим математическим ожиданием, которые мы также рассчитали по уже известной формуле и изобразили на рисунке 10 (по оси их изображен порядковый номер k опциона, где 0 соответствует опциону с ближайшей ценой исполнения, а 10 - самой дальней).

Рисунок 9. Функции плотности вероятности pC(x,6) и pC(x,10) со сроком исполнения 07.01.2016 и 01.19.2018.

Как мы видим, математическое ожидание для физических функций плотности, соответствующих разным срокам исполнения, имеют выраженную прогнозную динамику, при этом для первых десяти опционов оно меньше единице, а для самого отдаленного опциона со сроком исполнения 19 января 2018 года больше единицы.

Рисунок 10. Математические ожидания физических функций плотности pC(x,k), соответствующих разным сроком исполнения

Прямолинейного здесь ничего не может быть, потому что цены опционов в равновесном случае - это ожидаемая к моменту Т (сроку их исполнения) стоимость базового актива, обратно продисконтированная с помощью риск-нейтральной плотности. По идее, если рынок информационно эффективен, то наша восстановленная функция распределения для подлежащего актива не должна различаться в зависимости от того, какой срок исполнения у опционов, по которым мы ее оцениваем. В противном случае можно говорить о наличии какой-то информации.

Тогда, если у нас получается, скажем, что две реконструкции при разных сроках исполнения разные, т.е. если норма разности этих двух функций окажется выше какого-то критического уровня, то рынок не информационно эффективен. А раз он неэффективен, то мы можем предугадать, куда пойдут рыночные ожидания, сравнивая статистики этих реконструкций.

Также рассчитаем среднеквадратические отклонения наших функций. Изобразим на рисунке 11 по основной оси X средние квадратические отклонения sk, посчитанные нами для оцененных функций плотности вероятности, а по дополнительной - вмененную волатильность IVk, значения которой предоставляет финансовый портал www.finance.yahoo.com. Как мы видим, динамика и порядок величин волатильности, полученной из нашей модели, а также предоставленной сайтом, примерно совпадают. Однако наблюдаются некоторые несоответствия, которые можно трактовать как то, что опционы торгуются по завышенной или же заниженной по отношению к объективной цене.