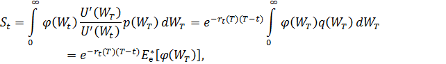
Тогда в день t равновесная цена рискового актива St с ликвидационной выплатой в момент T равна
под
наблюдаемой (субъективной) вероятностью. ![]()
- это
стохастический дисконтирующий фактор или предельная норма замещения между
потреблениями сегодня и в день T.
В условиях равновесия для инвестора будет оптимальным инвестировать все свое богатство в рисковый актив в каждый момент времени t < T, а затем потреблять конечную стоимость актива в день T, WT = ST.
Если
мы обозначим как p(.) субъективную функция плотности WT, то равновесную цену St
можно переписать как:
где функция
это риск-нейтральная плотность вероятности (RND).
Таким
образом, Якверт получил свое знаменитое соотношение, приравняв два
подынтегральных выражения, равных единице. Это сделано при условии того, что
цена находится в равновесии (т.е. представляет собой мартингальный процесс).
Дробь ![]()
- это
соотношение предельных полезностей будущего и текущего богатства, где в
знаменателе находится предельная полезность текущей цены. Поскольку текущая
цена в момент t нормированная, т.е. равна единице, то ее предельная
полезность равна некоторой постоянной C.
Теперь
рассмотрим, как Якверт восстановил функцию неприятия риска из двух
распределений. Он предполагал, что существует однопериодная экономика, где есть
один репрезентативный инвестор, обладающий одной единицей богатства, целью
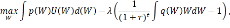
которого является максимизация полезности. Тогда задача максимизации полезности
от будущего богатства будет иметь вид:
где W - будущее богатство;
p - субъективная вероятность;
U - функция полезности;
λ - теневая цена бюджетного ограничения, которая, по сути, является множителем Лагранжа;
r - безрисковая ставка процента;
q - риск-нейтральная вероятность;
t - временной горизонт.
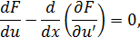
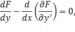
Дифференцируя по переменной W, получаем условие первого порядка, которое необходимо для равновесия.
Якверт говорит, что в условиях равновесия инвестор склонен удерживать рыночный
портфель. Тогда, если x
- это совокупные дивиденды от рыночного портфеля, которым он владеет, условие
равновесия будет выглядеть следующим образом:
Дальнейшее нахождение функции неприятия риска приводит к проблеме,
которая заключается в том, что мы не можем оценить теневую цену λ. Однако Якверт обходит эту проблему,
просто продифференцировав функцию полезности по "x" еще раз:
Теперь можно записать функцию абсолютного неприятия риска через
распределения риск-нейтральной и субъективной вероятности:
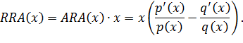
Аналогично можно получить и относительное неприятие риска RRA:
Стоить уточнить, что Якверт называл плотность вероятности объективного процесса субъективной, потому что никто на рынке не знает на самом деле, каким генератором в действительности порождены случайные цены. Вероятность, которая является физической, то есть которую мы наблюдаем, он называл субъективной, тем самым подчеркивая, что это реконструкция. Иначе говоря, это то, что получается в представлении лиц, принимающих решения на рынке, которые наблюдают за ценами опционов и имеют некоторую функцию полезности.
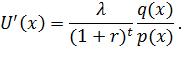
Таким образом, из формализма Якверта следует, что мы можем найти
риск-нейтральную функцию плотности, если нам известно наблюдаемая
(субъективная) функция плотности p(x), и мы знаем
функцию полезности индивида. Она будет иметь следующий вид:
где C - нормировочная постоянная.
Заметим, что в данной формуле финансовая переменная x (или как мы ее выше обозначали в качестве богатстваWT) всегда относится к следующему периоду. То есть мы всегда смотрим на предельную полезность в определенный момент в будущем, а функция p(x) каждый раз восстанавливается, то есть это реконструкция также для следующей точки во времени. Таким образом, в нашей модели и риск-нейтральная функция плотности, и наблюдаемая (субъективная) будут относиться к будущему периоду Т (сроку экспирации опциона).
Теперь, когда мы можем получить RND, зная наблюдаемую функцию плотности и функцию полезности, остается изучить предпосылки, исходя из которых можно будет найти функцию полезности.
В данном разделе рассмотрим подход к полезности индивида как функции с
ограниченным (конечным) изменением. Такой подход к функциям полезности
обусловлен условием их аддитивности, которое рассматривали в своих работах
Фишберн, Поллак, Тверски и другие исследователи. В терминах математики, функция
U является аддитивной функцией
полезности тогда и только тогда, когда существует n функций ui(xi) таких, что
где X обозначает вектор (x1, …, xn).
Итак, начнем с определения функции с ограниченным изменением. Функция f(x), определенная на отрезке a≤x≤b, называется функцией с ограниченным изменением, если существует такая постоянная C, что, как бы не был разбит отрезок [a, b] точками
a = x0 < x1
< … < xn
= b,
выполнялось неравенство
Для таких функций справедлива следующая теорема: "Всякая функция с ограниченным изменением может быть представлена как разность двух монотонно неубывающих функций".
Обратное утверждение, кстати говоря, тоже верно: любая функция, которую можно представить как разность двух монотонных функций, имеет ограниченное изменение. Если говорить о функции полезности, то, к примеру, во второй главе книжки "Handbook of the Equity Risk Premium" автор как раз представляет рекурсивно функцию полезности в виде разности двух неубывающих сумм с параметром.
Из указанной выше теоремы следует, что "всякая функция с ограниченным изменением имеет почти всюду конечную производную". Таким образом, в рамках данного подхода мы накладываем на функцию полезности условие конечного математического ожидания ее первой производной, то есть предельной полезности.
Это условие соответствует знаменитому результату американского экономиста Джозефа Стиглица. В своей работе Стиглиц доказал, что, для того, чтобы по крайней мере часть торгуемых производных финансовых инструментов была информационно эффективна, функция полезности репрезентативного лица, принимающего решения, должна принадлежать к семейству функций с постоянной величиной относительного неприятия риска RRA = 0 (Constant Relative Risk Aversion).
Итак, в данной главе была разобрана теория оптимального управления и показан способ решения задачи оптимального управления как простейшей задачи вариационного исчисления, рассмотрена связь между наблюдаемой, риск-нейтральной функцией плотности и функцией полезности, а также введена предпосылка конечного математического ожидания функции полезности в русле подхода к ней как функции с ограниченным изменением. Теперь, когда все теоретические аспекты работы изучены, можно приступить к составлению и решению задачи оптимального управления для оценки опционов, а также проверке полученной модели на практике.
В предыдущих главах была разобрана вся необходимая теоретическая база, а в данной главе построим модель, с помощью которой можно будет оценивать опционы.
В нашей задаче оптимального управления будем управлять своим отношением к риску (через функцию полезности) и вероятностной картиной мира (через наблюдаемую функцию плотности вероятности, представляющую субъективную картину мира с точки зрения участника рынка). Такой подход можно обосновать, ссылаясь на литературу по методологии экономической науки, в которой присутствует идея о выборе не только отношения к факту, но и методу выработки этого отношения. Иными словами, лицо, принимающее решения, сам выбирает точку зрения (функцию полезности), то есть точка зрения не привинчена к лицу, принимающему решения.
Нам известно из первой главы, что цена производного финансового инструмента равна ожидаемым будущим выплатам, продисконтированным с безрисковой ставкой, которые нужно взвесить по риск-нейтральной функции плотности. Поскольку RND - это ненаблюдаемая функция плотности, и вообще существует она только в риск-нейтральном мире, во второй главе мы обратились к формализму Якверта, благодаря которому можно найти эту функцию плотности, зная наблюдаемую функцию плотности и функцию полезности индивида, точнее ее первую производную. Тогда в нашей формуле для оценки производных финансовых инструментов мы можем заменить RND вот такой функцией:
Таким образом, инвестор может выбирать функцию полезности, а от нее же зависит весовая функция, т.е. функция риск-нейтральной плотности. Получается, что объективно у нас это физическая плотность, а риск-нейтральная подстраивается под выбранную спецификацию функцию полезности.
Итак, мы получили задачу оптимального управления, которая ставится как вариационная. Решение этой задачи подразумевает нахождение неизвестной функции полезности, вернее ее предельной полезности, и плотности вероятности распределения подлежащего актива, которые бы отвечали целевой задаче по минимизации расходов на вхождение в позицию.
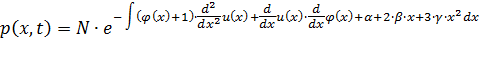
Чтобы решить задачу вариационного исчисления, первым делом необходимо составить функционал. В нашем случае функционал будет состоять из финансовой переменной x, ее функции распределения и функции плотности вероятности; выражения, которым задается цена опциона; энтропии по Шеннону; ограничений на моменты функции плотности вероятности субъективного распределения; условия конечного математического ожидания производной функции полезности.
Стоит уточнить, что энтропия является мерой неопределенности.
Руководствуясь принципом Infomax,
согласно которому рыночные цены несут в себе максимум информации, мы требуем,
чтобы исторические цены наблюдаемого процесса показывали наибольшую
неопределенность, что соответствуем максимуму информационной энтропии.
Информационная энтропия по Клоду Шеннону определяется выражением
где минус соответствует уменьшению неопределенности с каждым новым сообщением, то есть уменьшению энтропии. Тогда для максимизации энтропии по Шеннону данное подынтегральное выражение должно входить в наш минимизируемый функционал без знака "минус".
Что касается ограничений на моменты, то они нужны для того, чтобы искомое распределение как можно точнее описывало наблюдаемый процесс. Для этого ограничимся первыми тремя моментами - математическим ожиданием, стандартным отклонением и асимметрией. Поскольку ограничения по центральным и начальным моментам дают одинаковый результат, то для упрощения дальнейших выкладок целесообразнее использовать начальные моменты распределения.
В результате наложения всех ограничений функционал примет следующий вид:
где t - время,
x - цена подлежащего актива,
y = y(x) - функция распределения вероятности цены подлежащего
актива,

функция плотности вероятности наблюдаемого распределения,
α, β, γ - имеют природу множителей Лагранжа при ограничениях на первый, второй и третий центральные моменты,
u = u(x) - функция полезности,

первая производная функции полезности (предельная полезность),
![]()
-
функция выплат по производному финансовому инструменту,
![]()
- цена
производного финансового инструмента, где для упрощения конструкции был изъят
элемент exp(-r·τ), поскольку время все равно сохраняется через функцию плотности,
![]()
-
условие конечного математического ожидания первой производной функции
полезности в русле подхода к полезности как функции с ограниченным изменением
(поскольку наш функционал интегрируется, то такое выражение под интегралом есть
ни что иное как математическое ожидание производной функции полезности ![]()
).
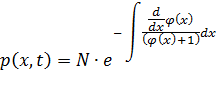
Решив
первое уравнения, которое имеет вид
относительно
функции плотности вероятности, мы получили:
Из
второго уравнения Эйлера-Лагранжа
тоже
выражаем функцию плотности как
Поскольку
функцию выплат ![]()
для
опционов мы знаем, то остаются неизвестными функция плотности ![]()
, которая
является производной некоторой функции распределения по "x", и функция ![]()
, которая
является первой производная функции полезности ![]()
, также
по "x".