Материал: Задача оптимального управления опционами

Внимание! Если размещение файла нарушает Ваши авторские права, то обязательно сообщите нам

Итак, суть неструктурных моделей ценообразования опционов состоит в оценке риск-нейтрального распределения и дальнейшей его подстановке в вышеописанную формулу. Сами неструктурные подходы можно разделить на три типа моделей: непараметрические, полупараметрические и параметрические.

Суть параметрических моделей заключается в непосредственном выражении функционального вида риск-нейтральной функции плотности, однако без ссылки на какой-либо закон движения цены. К ним относятся модели-смеси различных распределений, (например, смесь логнормальных распределений или смесь гипергеометрических функций), а также большое количество распределений, учитывающих моменты третьего и выше порядка (обобщенное бета-распределение и т.д.).

Полупараметрические и непараметрические модели предлагают некоторое приближение к истинному виду RND. К примеру, риск-нейтральное распределение может быть получено как разложение Эджворта вокруг логнормальной плотности или, к примеру, как разложение в полиномы Эрмита.

Непараметрические модели не ставят своей целью получить явный вид риск-нейтральной функции плотности, а лишь пытаются наиболее точно описать реальный ценовой процесс. Эти модели включают в себя принцип максимальной энтропии для получения RND, биноминальные деревья, методы сплайновой подгонки и ядерной оценки, где вообще не делается никаких предположений относительно вида RND.

Итак, в данной главе мы изучили классическую модель ценообразования опционов Блэка-Шоулза-Мёртона, разобрали ее основные достоинства и недостатки, а затем рассмотрели альтернативный метод оценки опционов, согласно которому цену производного финансового инструмента можно вычислить как ожидаемое значение будущих выплат, дисконтированном по безрисковой ставке. В результате мы получили формулу для оценки опционов, которую можно использовать, если нам известен вид риск-нейтральной функции плотности вероятности. Забегая вперед, можно сказать, что данная формула нам пригодится для постановки задачи оптимального управления, теорию которой мы рассмотрим в следующей главе.

2. Теория оптимального управления для оценки опционов и основные предпосылки

.1 Теория оптимального управления


В данной главе будет изучена теория оптимального управления, затем продемонстрирован метод постановки и решения задачи оптимального регулирования как задачи вариационного исчисления, а также рассмотрены необходимые теории и предпосылки, благодаря которым представляется возможным применение этой задачи для оценки производных финансовых инструментов, в частности, опционов.

Математическая теория оптимального управления зародилась в 1950-х годах в качестве специального отдела теории дифференциальных уравнений. Ее основы заложены в работах двух школ - советского академика Л.С. Понтрягина и американского ученого Р. Беллмана. В то время развитие современных методов в соответствующих разделах классической математики и механики было вызвано к жизни потребностями таких новых областей науки и техники, как освоение космического пространства, сверхзвуковая авиация и автоматизация управления производственными процессами с применением вычислительных машин. Именно блестящее открытие Л.С. Понтрягина и его сотрудников - принцип максимума, которое дает строгое математическое обоснование теории оптимального управления, отвечающей запросам новой техники, а также метод динамического программирования Беллмана, с успехом применяются для синтеза оптимальных режимов управления многочисленными техническими объектами.

После того как были установлены принцип максимума и метод динамического программирования, появилась тенденция рассматривать теорию оптимального управления в рамках вариационного исчисления. В данной исследовательской работе мы тоже пойдем по этому пути. Для этого в первую очередь выясним, что представляет собой задача оптимального управления, а уже затем рассмотрим связь теории оптимальных процессов с классическими вариационными задачами.

Фундаментальные понятия в теории оптимального управления - это система (объекта) и управление. Не вдаваясь в детализацию понятия системы, можно отметить, что систему обычно рассматривают как упорядоченное представление об объекте исследования с точки зрения поставленной цели. Упорядоченность заключается в целенаправленном выделении составляющих ее элементов, установлении их взаимодействия и взаимосвязи между собой и с внешней средой. Состояние системы - это еще один не менее важный термин, который непосредственно относится к любой системе. Всякая система (которая изменяется во времени определенным образом), может находиться в одном из некоторого числа конечных состояний в каждый момент времени. Именно переход из одного состояния в другое с течением времени говорит о функционировании данной системы.

Системы бывают двух типов: неуправляемые, на которые человек не способен оказывать никакого воздействия, и управляемые, состояние которых может меняться при определенном воздействии человека в зависимости от преследуемых им целей. Под управлением в таком случае понимается воздействие, которое способно изменить текущее состояние системы, а значит, и ее дальнейшее функционирование, причем таким образом, что в результате такого изменения достигаются заранее поставленные цели.

Итак, если у нас есть некоторая система, для которой необходимо найти наилучший с той или иной точки зрения режим работы, то это ведет к определенной математической задаче, которую можно записать следующим образом.

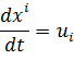
Пусть следующая система дифференциальных уравнений описывает закон изменения состояния некоторого объекта с течением времени

 (2.1)

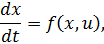
или в форме векторов

 2.2

где f i (x, u) - это определенные и непрерывные функции для всех x Î X и всех u Î Ω (Ω - некоторая фиксированная область k-мерного пространства). Поскольку мы рассматриваем объект, состояние которого в каждый момент времени может быть однозначно охарактеризовано определенным конечным набором n числовых параметров, а наша система эволюционирует во времени, то эти числовые параметры x1, …, xn являются функциями времени t. Далее, задав функцию u = u (t), значения которой принадлежат Ω, мы получим новую систему

 (2.2)

которая имеет определенное решение при заданном начальном значении x(t0) = x0.

Функции  называются функциями управления. Если мы зададим эти функции на отрезке времени от t0 до t1 и начальное значение x0 в момент t0, то у нас получится некоторая траектория, то есть решение нашей системы (2.1).

Совокупность функций ui (t) отрезка [t0, t1] и начальной точки x0 называется "управлением" и будет обозначаться следующим образом:


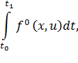
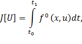
Далее, пусть у нас имеется некоторая функция f 0 (x1, …, xn, u1, …, uk), для которой определены ее частные производные


для всех x Î X и всех u Î Ω. Тогда, если каждому управлению U поставить в соответствие число

 (2.4)

то мы получим, что J[U] будет являться функционалом (то есть функцией, аргумент которой тоже функция), определенным на множестве управлений. Управление U = (u(t), t0, t1, x0) можно считать оптимальным в том случае, если для любого произвольного управления


переводящего данную точку x0 в точку x1 (т. е. для которого соответствующая траектория x*(t) удовлетворяет условию x*() = x1), выполняется неравенство

. (2.5)

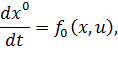
Наша задача заключается в поиске необходимых условий оптимальности управления (и отвечающей этому управлению траектории). Для ее решения добавим к системе уравнений


еще одно уравнение


в котором функция f0 (x, u) определяет тот функционал (2.4), который надо минимизировать. Вместе с этим дополним начальные условия

 (2.6)

еще одним условием

 (2.7)

Очевидно, что если U - некоторое допустимое управление и x = x(t) - решение системы

 (2.8)

соответствующее этому управлению и начальным условиям (2.6), (2.7), то

 

Таким образом, задачу оптимального управления можно сформулировать следующим образом: найти такое реализующее определенную цель допустимое управление U, при котором решение x(t) системы (2.8), удовлетворяющее начальным условиям (2.6), (2.7), давало бы возможно меньшее значение x0 (t1), то есть для которого функционал J[U] принимает наименьшее возможное значение.

Итак, мы ознакомились с теорией оптимального управления, научились составлять задачу оптимального управления, а также выяснили, какие начальные условия задавать и какой функционал нужно минимизировать. В следующем разделе мы покажем, как задачу оптимального управления можно представить в виде задачи вариационного исчисления.

2.2 Вариационные методы в задачах об оптимальном управлении


Как мы уже говорили ранее, очень часто теорию оптимального управления рассматривают в рамках вариационного исчисления, поэтому становится необходимым рассмотреть связь задачи об оптимальном управлении с традиционными задачами вариационного исчисления.

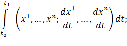
Очевидно, что интеграл


который был рассмотрен выше в качестве функционала, зависит от n + k функций x1, …, xn; u1, …, uk, т. е. определен на некотором классе кривых в (n+k+1)-мерном пространстве. Наши функции x1, …, xn; u1, …, uk связаны уравнениями (2.1). В таком случае, у нас получается задача на условный экстремум. Поскольку оптимальная траектория x(t), которую мы ищем, начинается в точке x0 и кончается в точке x1 (это граничные условия), то в указанном (n+k+1)-мерном пространстве допустимыми будут являться те кривые, концы которых лежат на двух (k+1)-мерных плоскостях, определяемых заданными значениями  и  координат x1, …, xn.

Таким образом, задачу об оптимальном управлении можно рассматривать как видоизменение задачи на условный экстремум. Только ее особенность заключается в том, что в задачах об оптимальном регулировании заранее фиксируется определенный класс допустимых управлений, значения которых лежат в некоторой фиксированной области.

Теперь рассмотрим простейшую вариационную задачу и покажем, что она представляет собой частный случай задачи об оптимальном управлении.

Допустим у нас есть функционал вида

 (2.10)

и наша задача заключается в отыскании среди кривых, проходящих через точки

 и

той, на которой этот функционал достигает минимума.

Чтобы представить такую задачу как задачу оптимального управления, достаточно функционал (2.10) переписать в виде

 (2.11)

а уравнения

 (2.12)

взять в качестве системы (2.1). Таким образом, мы получили задачу вариационного исчисления, в которой подынтегральное выражение не зависит явно от t. Как решать такие задачи нам известно, подробно рассмотреним этот вопрос в 3 главе.

Теперь, когда мы умеем решать задачи оптимального управления как задачи вариационного исчисления, остается выяснить, как с их помощью можно оценивать опционы. В литературе по количественным финансам чаще всего используют задачу оптимального управления, называемую задачей об оптимальной остановке, для оценки американских опционов, либо, наоборот, оценивают вмененную волатильность цены базового актива методом динамического программирования. Тем не мене, в данном исследовании было решено пойти другим путем. Однако, прежде чем мы приступим к постановке и решению нашей задачи оптимального управления, необходимо изучить некоторые дополнительные теории и предпосылки.

.3 Связь между риск-нейтральной и физической плотностью вероятности


В данной части исследования мы рассмотрим формализм Йенса Якверта, согласно которому существует связь между агрегированным (т.е. в масштабах всего рыка) риск-нейтральным и субъективным (наблюдаемым) распределениями вероятностей и функцией неприятия риска. В своей работе Якверт утверждает, что в каждом состоянии мира риск-нейтральная вероятность равна субъективной, умноженной на поправку на неприятие риска. Субъективной вероятностью в данном случае служит предположение инвестора о вероятности наступления определенного события, а риск-нейтральной - это цена, умноженная на безрисковый доход, которую инвестор заплатил бы для получения 1$ в этом состоянии мира (цена умножается на безрисковую доходность, чтобы получить распределение вероятностей, равное единице). Если инвестор является нейтральным к риску, то эти две вероятности равны между собой. Когда вводится поправка на избегание риска, то учитываются такие предпочтения инвестора, когда он ценит 1$ больше в том случае, если его богатство находится на низком уровне.

Якверт получил свое знаменитое соотношение из условия равновесного ценообразования, при котором риск-нейтральная функция плотности (RND) может быть выражена в терминах стохастического дисконтирующего фактора или ядра ценообразования. В таком случае цена актива представляет собой мартингал под физическим вероятностым распределением агрегированного потребления, умноженный на стохастический дисконтирующий фактор.

Рассмотрим подробнее эту идею. Предположим, что в нашей экономике существует единственный товар S, который можно потреблять и инвестировать, а все значения выражаются в единицах этого товара; отсутствует дополнительный экзогенный доход; все инвесторы стремятся максимизировать функцию полезности, при условии соблюдения обычных бюджетных ограничений. Они могут потреблять товар в день t или же в некоторый фиксированный день T в будущем. Существует только один рисковый актив и одна безрисковая облигация, которыми можно торговать в любой момент от t до T. Введем следующие обозначения: U(.) - функция полезности, WT -конечная стоимость богатства инвестора в момент времени T. Также предполагается, что является U возрастающей строгой функцией для всех допустимых значений W, и дважды дифференцируемой. Единственная информация об активах, которой руководствуется инвестор, принимая решение - это функция плотности вероятности WT.