Материал: Задача оптимального управления опционами

Внимание! Если размещение файла нарушает Ваши авторские права, то обязательно сообщите нам

Задача оптимального управления опционами

Оглавление

Введение

. Методы оценки опционов

.1 Классическая модель Блэка-Шоулза-Мёртона

.2 Неструктурные модели оценки опционов

. Теория оптимального управления для оценки опционов и основные предпосылки

.1 Теория оптимального управления

.2 Вариационные методы в задачах об оптимальном управлении

.3 Связь между риск-нейтральной и физической плотностью вероятности

.4 Функция полезности как функция с ограниченным изменением

. Построение модели оценки опционов и ее применение на практике

.1 Постановка и решение задачи оптимального управления как задачи вариационного исчисления

.2 Оценка параметров физической функции плотности вероятности и функции полезности

Заключение

Список использованной литературы

Введение


В современной финансовой науке большая доля исследований посвящена оценке производных финансовых инструментов. Одним из видов таких инструментов является опцион, который представляет собой контракт, дающий его владельцу право, но не обязательство, купить или продать подлежащий актив по заранее установленной цене в определенный момент в будущем или на протяжении определенного промежутка времени до наступления этого момента.

На сегодняшний день существует огромное количество моделей, с помощью которых можно найти цену опциона. Чаще всего в рамках этих моделей опционы оцениваются в риск-нейтральном мире, в котором ожидаемая доходность любого актива равна безрисковой процентной ставке. Самой известной является классическая модель ценообразования опционов Блэка-Шоулза-Мёртона. Несмотря на всю ее популярность, эту модель едва ли можно применять на практике ввиду большого количества нереалистичных предпосылок, одной из которых является предположение о том, что цена подлежащего актива подчиняется логнормальному распределению. Тем не менее, в финансовой литературе существует много альтернативных способов и теорий, с помощью которых представляется возможным оценивать опционы. Одним из таких способов является задача оптимального управления, которую мы и рассмотрим в данной работе.

Теория оптимального управления появилась в 50-х годах прошлого столетия в связи с необходимостью решения различных экономических задач, будь то поиск наилучшего (т.е. оптимального) управления летательными аппаратами, технологическим процессом на производстве и т.д. В настоящее время оптимальное управление уже стало обширной самостоятельной теорией в науке, которую, кроме всего прочего, используют для оценки таких производных контрактов как опционы. Несмотря на то, что чаще всего в литературе по количественным финансам задачу оптимального управления используют для оценки американских опционов и решают ее методом динамического программирования, в данной исследовательской работе мы решили пойти творческим путем и ставить задачу оптимального управления как задачу вариационного исчисления.

Для того, чтобы можно было решить такую задачу, рассмотрим формализм Якверта, согласно которому существует взаимосвязь между риск-нейтральной плотностью, физической ожидаемой плотностью и функцией неприятия риска, которая получается из функции полезности индивида. На функцию полезности, в свою очередь, будут наложены некоторые ограничения. Решив задачу оптимального управления, мы найдем вид функции плотности вероятности и первой производной функции полезности. Подставив их вместо риск-нейтральной функции плотности в модель, основанную на предположении о том, что цена производного финансового инструмента представляет собой дисконтированную с безрисковой ставкой будущую выплату по этому инструменту, мы получим готовую модель для оценки опционов.

Более того, если мы реконструируем и затем оценим функцию распределения базисного актива, на который выставлен опцион, то сможем изучать природу ожиданий участников рынка, т.е. извлекать информацию об ожиданиях инвесторов относительно цены этого актива непосредственно из премий по опциону. Таким образом, результаты данного исследования могут найти практическое применение.

Актуальность работы обусловлена тем, что эффективное прогнозирование динамики цен на рынке всегда будет оставаться одной из важнейших проблем, которые пытается решить финансовый аналитик. Более того, за последние 30 лет производные финансовые инструменты получили огромную популярность на финансовых рынках. Фьючерсы и опционы активно торгуются на биржах по всему миру. Множество различных видов форвардных контрактов, свопов, опционов и других деривативов выпускаются в обращение финансовыми институтами, менеджерами фондов и корпоративными казначеями на внебиржевые рынки. Сам рынок деривативов просто огромен, его объем во много раз превышает рынок акций, а стоимость базовых активов, по которым выписываются контракты, в несколько раз превышает мировой ВВП. Таким образом, мы находимся на том этапе, когда люди, работающие в финансах, просто обязаны знать, как работают опционы, как они используются, и, что самое главное, как их оценивать.

Объектом работы является оценка стоимости производных финансовых инструментов.

Предметом исследования является теория оптимального управления как способ оценки опционов.

Целью данной работы является постановка и решение задачи оптимального управления как задачи вариационного исчисления для нахождения вида функции полезности совместно с функцией плотности вероятности, которые мы рассматриваем в качестве функций управления в нашей задаче.

В соответствие с целью были определены следующие задачи: на основе детального анализа существующих способов оценки опционов показать несостоятельность классической модели Блэка-Шоулза-Мёртона; разобраться с теорией оптимального управления, научиться решать задачу оптимального управления в рамках задач вариационного исчисления; установить взаимосвязь между риск-нейтральной, физической функциями плотности вероятности и функцией полезности; для наложения необходимых ограничений на функционал представить функцию полезности как функцию с ограниченным изменением; составить и решить задачу оптимального управления для оценки опционов; проверить полученную модель на практике.

Основными источниками, использованными в данной работе для подготовки теоретической базы, послужили следующие книги: Введение в оптимальное управление (В.Д. Ногин); Вариационное исчисление (И.М. Гельфанд, С.В. Фомин); Элементы теории функций и функционального анализа (А.Н. Колмогоров, С.В. Фомин); Financial Modelling Under Non-Gaussian Distributions (Eric Jondeau, Ser-Huang Poon and Michael Rockinger); Options, Futures and Other Derivatives (John C. Hull).

Все расчеты были произведены в программном обеспечении MachCad 13 и MachCad 15, что позволило существенно упростить вычисления и обработку данных.

1. Методы оценки опционов

.1 Классическая модель Блэка-Шоулза-Мёртона


Существует множество моделей оценки справедливой стоимости опционов, однако самой известной является модель ценообразования опционов Блэка-Шоулза-Мёртона. Разработанная в начале 1970-х годов, эта модель имела огромное влияние на финансовую систему в целом, а также на способы определения теоретической стоимости и хеджирования деривативов трейдерами. Фишер Блэк и Майрон Шоулз использовали модель CAPM, чтобы определить связь между требуемой рыночной доходностью на опцион с требуемой доходностью на акцию. Подход Роберта Мёртона был более общим, поскольку не был основан на предпосылках модели CAPM. Более того, Мёртон первым опубликовал работу, раскрывающую математическое обоснование модели, а также ввел термин "модель ценообразования опционов Блэка-Шоулза".

Рассмотрим основные предпосылки, лежащие в основе этой модели:

·    на рынке отсутствует арбитраж, то есть невозможно получить безрисковую прибыль;

·        можно брать и давать любое количество денег в долг по безрисковой ставке;

·        можно занимать и давать в долг любое количество, даже дробное, акций (это включает возможность короткой продажи);

·        по всем вышеперечисленным операциям отсутствуют транзакционные издержки;

·        ставка доходности по безрисковому активу остается постоянной в течение всего срока действия опциона;

·        по подлежащему активу не выплачиваются дивиденды;

·        цена базового актива St подчиняется геометрическому броуновскому движению, которое задается стохастическим дифференциальным уравнением вида:

 

dSt = St µdt + St σdWt, (1.1)

где dSt обозначает мгновенное изменение цены, µ - это ожидаемая доходность актива, σ - волатильность ценового процесса, и Wt - это винеровский процесс такой, что dWt ~ N(0, dt).

В основе логики вывода этой модели лежит так называемая концепция безрискового хеджирования. Рассмотрим ее подробнее.

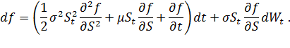
Предположим, что цена производного актива равна ft(St,t). Чтобы получить динамику ценового процесса f, применим Лемму Ито:

 (1.2)

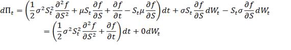
Теперь составим портфель, состоящий из 1 единицы производного актива и короткой позиции по fS единицам подлежащего актива. Стоимость портфеля Πt в таком случае будет равна:

Πt = f - fS St,

с ценовой динамикой

 

dtΠt = d f - fS dSt .

Если подставить в данное уравнение dtf и dSt, полученные выше из уравнений (1.1) и (1.2), мы имеем:

 (1.3)

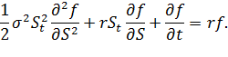
Динамика этого портфеля является безрисковой, поскольку выражение dWt имеет нулевой коэффициент. Чтобы избежать арбитража, мгновенная доходность этого портфеля должна быть равна безрисковой ставке доходности. Отсюда получаем, что изменение стоимости портфеля равно:

 

dtΠt = rtΠt dt = r(f - fS St) dt, (1.4)

Приравняв выражения (1.3.) и (1.4.), мы получим:

(1.5)

Это и есть фундаментальное дифференциальное уравнение в частных производных Блэка-Шоулза-Мёртона. С помощью замены некоторых переменных можно свести это уравнение к уравнению теплопроводности, решить которое можно, используя преобразования Фурье. Затем, если разделить решение на две части и обратно заменить переменные, то мы получим знаменитую формулу Блэка-Шоулза-Мёртона для цен европейских опционов на покупку и на продажу:

 

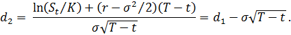
ft (St, t) = Ct (St, t) = St N (d1) - K e -r (T - t)N (d2)

ft (St, t) = Pt (St, t) = K e -r (T - t)N (-d2) - St N (-d1),

где

 

 

Функция N(x) - это кумулятивная функция распределения вероятностей стандартного нормального распределения, St- текущая цена базового актива, K - это страйк опциона, (T - t) - время до исполнения.

Главным и, пожалуй, единственным неоспоримым преимуществом модели оценки опционов Блэка-Шоулза-Мёртона является простота ее вычисления. Однако, несмотря на всю ее популярность, она имеет множество недостатков, которые, прежде всего, связаны с нереалистичностью ее предпосылок. На самом деле, ни одно из предположений, заложенных в основе этой модели, полностью не выполняется в реальном мире. Чаще всего модель используется только как примерное приближение, поскольку слепое использование модели приводит к недооценке множества рисков. Например, недооценка выбросов приводит к риску экстремального изменения или "риску хвостов"; предположение об отсутствии транзакционных издержек недооценивает риск ликвидности; предпосылка о стационарности процесса приводит к риску волатильности; из предпосылки о непрерывности времени и непрерывности торговли следует так называемый "риск разрыва".

Несмотря на то, что существуют различные способы захеджировать все эти риски, модель Блэка-Шоулза все равно можно назвать несостоятельной. Следствием одной из предпосылок этой модели, а именно то, что цены подлежащего актива подчиняются броуновскому движению, является логнормальность распределения цен. В результате этого волатильность, выведенная из формулы Блэка-Шоулза-Мёртона (так называемая вмененная волатильность), должна быть постоянной для всех цен исполнения и на всех сроках до погашения исполнения. Однако практика показывает, что это совсем не так. Если изобразить зависимость вмененной волатильности σ от цены исполнения K на графике, то окажется, что опционы, чья цена исполнения намного выше и ниже наблюдаемой цены базового актива, имеют более высокую волатильность, чем опционы, у которых страйк примерно равен цене акции. В результате этого график будет иметь форму так называемой "улыбки".

Таким образом, мы видим, что предположение о логнормальности распределения цен не выполняется, а это значит, что нам нужна более общая модель ценообразования опционов.

Существует огромное количество финансовой литературы, посвященной оценке опционов. Все подходы, которые там описываются, можно разделить на две основные категории: структурные и неструктурные. Модели, относящиеся к первому подходу, предоставляют полное описание динамики цены базового актива, а иногда и их волатильности. Напротив, неструктурные модели ничего нам не говорят о динамике цен, поэтому являются более привлекательными для нас.

.2 Неструктурные модели оценки опционов


В литературе по количественным финансам существует подход, использующий риск-нейтральную оценку, благодаря которому можно получить общую формулу для оценки производных финансовых инструментов. Этот подход строится на предположении о нейтральности инвесторов к риску (т.е. они не требуют дополнительной премии за риск). Следовательно, в таком риск-нейтральном мире любой актив должен приносить доходность, равную безрисковой ставке. Для того, чтобы перейти от оценки в реальном мире к риск-нейтральной, необходимо использовать так называемую мартингальную меру. В основе этой идеи лежит концепция совершенного хеджирования и принцип отсутствия арбитража.

В своих работах Харрисон и Плиска показали, что отсутствие арбитража равносильно существованию эквивалентной мартингальной меры. Если любая операция может быть захеджирована, что возможно только при условии полноты рынка, то существует уникальная мартингальная мера и, следовательно, цена любого производного финансового инструмента определяется как дисконтированная по безрисковой ставке ожидаемая выплата по этому инструменту в момент его исполнения, под этой мартингальной мерой.

Чтобы стало более понятно, рассмотрим европейский опцион-колл. Ожидаемые выплаты в момент исполнения опциона в риск-нейтральном мире будут равны



где  - функция выплат для опционов на покупку (0 будет принимать в том случае, если текущая (ST) цена меньше цены исполнения (K), то есть когда опцион умирает),

 - некоторая функция плотности вероятности, по которой мы взвешиваем эту функцию выплат.

Цена опциона-пут, соответственно, будет равна:


Поскольку считается, что опционы являются составной частью хорошо захеджированного портфеля, заведомо приносящего безрисковую ставку (а такую ставку приносит портфель, если его держатели не требуют вознаграждения за риск, а, следовательно, они риск-нейтральны), то и функция плотности вероятности такая, которая соответствует риск-нейтральному распределению. Таким образом, q(St) - это так называемая риск-нейтральная плотность вероятности (RND).