Всі останні параметри такі, як і для некованого випрямляча.
Тиристори вибираємо із умови максимального оберненої напруги та найбільших струмів.
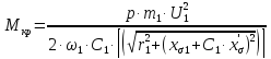
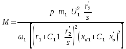
На
основі розрахунку маємо
В;
А;
А.
Силові вентилі вибираємо із запасом по оберненої напруги, В: при

В.
Вибираємо для випрямляча шість тиристорів типу ТБ171-160-9
Максимально
допустимі значення параметрів при 
Відкритий
струм в відкритому стані
А
Повторювана
імпульсна
напруга в
закритому
стані
В
Критична швидкість наростання напруги
в
закритому стані
В
Критична швидкість наростання струму
у
відкритому стані
А
Для охолодження використовуємо типовий радіатор типу О181 без примусового охолоджування
Діаметр різьби М24х1.5
Для типу корпусу SD7, ST7
застосування Д171,ДЛ171, Т171,ТЛ171, ТЛ271,ТЛ371, ТС171,ТБ271
Розсіювана потужність при природному охолодженні 80 Вт
Тепловий
опір при природному охолодженні 
Тепловий опір при примусовому охолодженні
(швидкість
повітря 6 м/с)
Перепад тиску 18 Па
Крутний момент не більше 60 Нм
Площа охолоджуючої поверхні 1249,94см2 Габаритні розміри 70×80×100 мм
Маса 0,700 кг
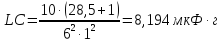
LC-фільтр
Коефіцієнт фільтрації фільтра:


де
коефіцієнт пульсації на виході випрямляча;
коефіцієнт
пульсації на навантажувачі;
Так
як
,
то вибираємо одноланковий LC-фільтр,
:


де
число пульсацій випрямленій напруги
за період;
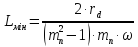
Мінімальна індуктивність, при якій забезпечена індуктивна реакція фільтра, Г:


де
- омічний опір дроселя
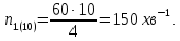
Вибираємо типовий дросель типу ED1W-0.25/200
Робоча напруга до 750В
Індуктивність дроселя L=0,25 мГн
Максимальний струм через дросель 200 А
Ємність конденсаторного фільтра, мкФ:

мкФ
Вибираємо конденсатор типу МБГО-1 ємністю 0.5 мкФ с робочою напругою 640 В.
Вибираємо
трифазну мостову схему інвертора струму,
для котрого коефіцієнт
[9].
Максимальна активна потужність на виході інвертора, Вт:

Вт
де
В - фазна напруга на виході інвертора;
– ККД
інвертного трансформатора (звичайно
його значення знаходиться в межах
0.8…0.9). Вибираємо без трансформаторну
схему інвертора, тому
.
Нехтуючи втратами в інверторі, маємо, Вт:
Вт
Мінімальний кут замикання, ел.град:


де
мкс
час вимикання IGBT-транзистора
Приймаємо
мкс;

Напруга на вході інвертора, В:
Напруга
на вході інвертора струму подається із
випрямляча. Тому приймаємо вхідну
напругу інвертора, вихідну напругу
випрямляча. Що раніше розраховувалася
яка дорівнює:

Вхідний струм на вході інвертора, В:
Вхідний
струм на вході інвертора струму подається
із випрямляча. Тому приймаємо вхідний
струм інвертора, вхідний струм випрямляча.
Що раніше розраховувалася який дорівнює:

Середній струм транзистора, А:


Максимальна пряма напруга на транзисторах, В:
В.
Середній струм транзистора, А:
А.
де
– коефіцієнт запасу по струму.
Максимальна пряма напруга, В:

В.
де
– коефіцієнт запасу по напругі
Вибираємо шість IGBT-транзистори типу МДТКИ-400-33
Робоча напруга 3300 В
Робочий струм 400 А
Час вмикання 0,62 мкс
Час вимикання 1,7 мкс
Час востановлення 0,2 мкс
Вибираємо шість діодів типу Д141-100Х-15
Максимально допустимий прямий струм 100 А
Постійна обернена напруга діода 900 В
Вибираємо мережевий дросель типу IR 190 для перетворювача частоти виходячи із споживаним струмом перетворювача частоти,
Номінальний струм 190А
Індуктивність дроселя 0,11 мГн
Максимальна потужність підключаемого
електродвигуна 75 кВт
Для того щоб перевірити двигун на те як він веде себе при частотному керуванні - необхідно побудувати механічну характеристику при частоті 50 гц, та при частоті 10 гц.
Визначаємо синхронну частоту обертання електродвигуна при частоті 50 гц, та 10 гц, хв-1:


Кутова
швидкість електродвигуна при частоті
50
та 10 гц,
:

Номінальне ковзання електродвигуна при частоті 50 та 10 гц, %:


Критичне ковзання електродвигуна при частоті 50 та 10 гц, %:


Визначаємо критичний момент електродвигуна при частоті 50 та 10 гц, Нм:



Механічна характеристика нелінійна, тому рекомендується задати значення ковзання
|
Ковзання для побудови механічної характеристики |
|||||||
|
0 |
0,047 |
0,093 |
0,14 |
0,348 |
0,6 |
0,8 |
1 |
6. Електромагнітний момент при змінному ковзанню при частоті 50 та 10 гц, Нм:
|
Поточний момент при 50гц |
|||||||
|
0 |
266,459 |
488,573 |
671,288 |
1051,545 |
1005,314 |
904,404 |
803,624 |
|
Поточний момент при 10гц |
|||||||
|
0 |
105,535 |
198,926 |
285,097 |
573,963 |
779,168 |
870,695 |
922,34 |
7. Визначаємо поточну частоту обертання двигуна, при змінних значень ковзань об/хв: