Кутова швидкість обертання електродвигуна, 1/c:
;

Статичний момент при русі козлового крану з вантажем, Нм:
Нм.
Статичний момент при русі козлового крану без вантажу, Нм:
Нм.
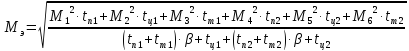
Приведення інерційних мас і моментів інерції окремих ланок до вала двигуна при русі крана з вантажем, кгм2:

Приведення інерційних мас і моментів інерції окремих ланок до вала двигуна при русі крана, без вантажу, кгм2:

де δ = 1,1...1,3 - коефіцієнт, що враховує моменти інерції окремих ланок передавального механізму.
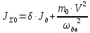
Конструктивний коефіцієнт, В/с:
;
=5,074
В/с.
де kt=1,44 - температурний коефіцієнт.
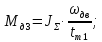
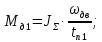
Номінальний момент двигуна, Нм:

Знаходимо час розвантажування для кожної з ділянок робочого циклу.
Час пуску механізму козлового крану з вантажем, с:

Час пуску механізму козлового крану без вантажу, с:

Час гальмування моста крана з вантажем, с:

Час гальмування моста крана без вантажу, с:

Розраховуємо динамічні моменти.
Динамічні моменти, що діють при пуску з вантажем і без нього, Нм:


Динамічні моменти, що діють при пуску з вантажем і без нього, Нм:


Розрахунок
навантажувальної діаграми,
:





За отриманими результатами будуємо навантажувальну діаграму (рисунок 1.3). Еквівалентний момент з урахуванням погіршення умов охолодження двигуна обчислимо по формулі:
Еквівалентний момент, Нм;


де
- коефіцієнт погіршення тепловіддачі
двигуна в перехідному режим
;

0=0,68 – коефіцієнт, що ураховує погіршення умов тепловіддачі в нерухомому стані двигуна.
Час усталеної роботи, с:


Перевірка двигуна за перевантажувальною здібністю здійснюється шляхом порівняння максимальних моментів на основі наступної залежності:
МнавmaxMmax,

де Мнавmax– найбільший за робочий цикл момент навантажувальної діаграми, Mmax – найбільший припустимий момент для даного типа двигуна.
Згідно розрахунку двигун вибраний правильно.
Рисунок 1.3 – Навантажувальна діаграма електропривода пересування козлового крану
Системи управління крановими механізмами відносяться до категорії пристроїв, що знаходяться під безперервним контролем оператора, тому у цих системах вибір моменту початку операції, швидкісних параметрів і моменту закінчення операції здійснюється особою, керуючим механізмом. У свою чергу система управління повинна забезпечувати необхідну послідовність перемикань для реалізації бажаних швидкісних параметрів, запобігти при цьому неприпустимі перевантаження та забезпечити необхідний захист.
Усі різноманіття різних систем управління може бути розділене на наступні групи.
За способом керування:
керовані безпосередньо силовими кулачковими контролерами, де весь процес управління, включаючи вибір необхідних прискорень, здійснюється виключно оператором;
керовані кнопковими постами, де можливості управління обмежені конструктивними особливостями поста;
керовані складним комплектним пристроєм (магнітним контролером з використанням перетворювача енергії або без нього). В цьому випадку оператор вибирає тільки необхідні швидкості, а процеси розгону, гальмування та необхідні проміжні перемикання здійснюються автоматично.
За умовами регулювання:
з регулюванням швидкості нижче номінальної;
з регулюванням швидкості вище номінальної та нижче номінальної;
з регулюванням прискорення та уповільнення.
Параметри регулювання систем управління нерозривно пов'язані з регулювальними властивостями привідних електродвигунів.
У крановому електроприводі використовується чотири типи
електродвигунів:
електродвигуни постійного струму з послідовним або незалежним збудженням. Вони допускають регулювання швидкості, прискорень і уповільнень шляхом регулювання напруги та струму збудження, яка підводиться до якоря двигуна;
асинхронні електродвигуни змінного струму з фазним ротором. Вони дозволяють здійснювати регулювання швидкості, прискорення і уповільнення, зокрема, шляхом введення в ланцюг ротора резисторів;
асинхронні електродвигуни змінного струму з короткозамкненим ротором. При постійній частоті мережі вони мають практично постійну частоту обертання, а при регульованій частоті мережі допускають регулювання частоти обертання відповідно до зміни частоти перетворювача;
асинхронні електродвигуни змінного струму з короткозамкненим ротором і двома або трьома обмотками на статорі з різним числом полюсів. Вони допускають регулювання швидкості відповідно до зміни числа пар полюсів обмоток. Для цих двигунів за конструктивними особливостями найбільший можливий діапазон регулювання 6:1 при постійній частоті.
Відповідно до наведеної класифікації в крановому електроприводі існують і використовуються наступні системи управління.
Системи безпосереднього управління за допомогою силових кулачкових контролерів. Найбільш поширеною в крановому електроприводі є система управління на основі використання силових кулачкових контролерів.
Управління електродвигунами постійного струму здійснюється кулачковими контролерами, що мають різні схеми відповідно їх призначення.
Для механізмів підйому застосовується несиметрична схема контролера з потенціометричним включенням якоря двигуна на положеннях спуску, а для механізмів пересування використовується симетрична схема контролера з послідовно включеними опорами (К-Д).
Управління асинхронними електродвигунами змінного струму з фазним ротором здійснюється кулачковими контролерами, що мають однотипну конструкцію, але мають різні схеми включення (К-АДФ).
Контролери здійснюють комутацію обмоток статора, а також комутацію ступенів опорів в ланцюзі ротора.
Усі контролери змінного струму дозволяють здійснювати регулювання швидкості електродвигунів з фазним ротором в діапазоні 2,5: 1 за рахунок введення в ланцюг ротора регулювальних ступенів опорів.
Основна сфера застосування силових кулачкових контролерів-управління найбільш простими електроприводами легкого і середнього режимів роботи з діапазоном регулювання швидкості не більше 3:1 і невеликим числом включень на годину.
Системи управління крановими електроприводами з використанням магнітних контролерів. Ці системи застосовуються для установок постійного (МК-Д) і змінного (МК-АДФ) струмів. У цих системах використовуються різні пристрої регулювання швидкості з релейно-контакторними схемами включення обмоток електродвигунів і резисторів.
У складі магнітних контролерів для комутації ланцюгів застосовуються контактори з електромагнітним приводом постійного та змінного струмів, електромагнітні реле напруги, часу та струму, резистори, напівпровідникові випрямлячі та інші пристрої комутації та управління. Операції з управління в цих системах здійснюються за допомогою командоконтролерів.
Вибір магнітних контролерів здійснюється з урахуванням роду струму мережі живлення та типу кранового механізму, потужності при заданих режимах крана, умов експлуатації, реалізації необхідного діапазону регулювання швидкості.
Обмеженням застосування магнітних контролерів, як правило, є реалізований з їх допомогою діапазон регулювання з урахуванням наявної системи живлення.
Застосування більш складних систем з електро-машинними або статичними перетворювачами енергії визначається більш високими вимогами до умов регулювання або обмеженнями, пов'язаними з системами живлення.
Система змінного струму з тиристорним регулятором напруги. Через тиристорний регулятор напруги отримує живлення обмотка статора асинхронного електродвигуна з фазним ротором (ТРН-АДФ). Ця система займає проміжне положення між МК-АДФ і системами з більш складними перетворювачами енергії. При автоматичному регулюванні напруги зі зворотним зв'язком по швидкості система ТРН-АДФ дозволяє досягти регулювання швидкості в діапазоні 10:1, але при цьому в системі необхідно мати тахометричний контроль частоти обертання з усіма пов'язаними з цим незручностями (передача через тролеї малопотужних сигналів). Такі системи можуть ефективно використовуватися для механізмів горизонтального переміщення з відносно високими, значеннями моментів інерції рухомих частин, коли застосування електродвигуна з фазним ротором майже неминуче. При використанні в системах ТРН-АДФ тиристорних регуляторів напруги з'являється можливість безтокової комутації статорних обмоток електродвигунів, що значно підвищує термін служби та зносостійкість електроприводів. Основним недоліком такої системи є застосування тахогенератора, а також необхідність у висококваліфікованому обслуговуванні блоків електроніки регуляторів.
Система генератор-двигун. Система Г-Д з усіх систем з електромашинні перетворювачами енергії набула найбільшого поширення в кранових електроприводах. Серед систем управління, що володіють високими регулювальними властивостями, система Г-Д до недавнього часу була найбільш ефективною для забезпечення широкого діапазону регулювання при всіх умовах навантаження кранового електроприводу.
У крановому електроприводі склалося кілька типових рішень використовуваних, як правило, для великих і відповідальних установках, якими є рудно-вугільні перевантажувачі, великі монтажні крани, плавучі крани.
Система Г-Д складається з електродвигуна постійного струму який отримує живлення від генератора постійного струму з регульованою напругою. Електродвигун має незалежне збудження з регульованим струмом збудження, завдяки чому в системі здійснюється двозонне регулювання швидкості: в сторону зменшення шляхом зміни напруги генератора і в бік збільшення шляхом зменшення струму збудження двигуна. Широкий діапазон регулювання може забезпечуватися без застосування тахогенераторів або інших пристроїв контролю швидкості.
Управління електроприводом по системі Г-Д здійснюється шляхом зміни значення і напрямку струму збудження генератора. Застосовуються два типи систем управління:
з релейно-контакторним регулюванням в ланцюгах збудження електричних машин;
з безконтактним регулюванням струмів збудження за допомогою магнітних підсилювачів або тиристорних регуляторів.
За способом живлення головного ланцюга системи управління також мають два виконання:
з постійно замкнутим головним ланцюгом, коли якір електродвигуна постійно з'єднаний з якорем генератора;
система зкомутованої головним ланцюгом, коли від одного генератора по черзі можуть отримувати харчування кілька електродвигунів, що відключаються або підключаються за допомогою контакторів при рівності нулю напруги генератора.
Системи Г-Д володіють хорошими регулювальними характеристиками, порівняно невисокою вартістю та високим рівнем терміну служби. Однак при їх застосуванні необхідно розміщувати в обмежених приміщеннях кранових установок обертові перетворювальні агрегати, що є основною умовою, що обмежує їх застосування. Крім того, системи Г-Д вимагають регулярного обслуговування та підвищених витрат на профілактичний догляд.
Системи з тиристорними перетворювачами напруги і двигунами постійного струму. Система ТП-Д є досить близьким аналогом системи Г-Д, де замість електромашинного перетворювача постійного струму використовується тиристорний пристрій, що представляє собою один або два випрямляча з регульованим напругою за рахунок зміни кута відкриття тиристорів. Оскільки регульований випрямляч може проводити струм тільки в одному напрямку, то кранові системи з ТП мають три виконання:
з реверсивним випрямним пристроєм, в якому використовуються два зустрічно-включених випрямляча. Якір електродвигуна отримує живлення від одного випрямляча і працює в режимі споживання енергії при куті регулювання до 90° або в режимі рекуперація при протилежному напрямі обертання та куті регулювання понад 90°. При живленні від другого випрямляча здійснюються також два режими, але при протилежному напрямку струму, завдяки чому забезпечується робота в усіх чотирьох квадрантах механічних характеристик;
з одним випрямним пристроєм, в якому для зміни напрямку струму використовується контактний реверс головного ланцюга. Таке перемикання здійснюється автоматично без струму, як тільки напруга на якорі електродвигуна стає вище напруги, створюваного випрямлячем, або по команді оператора при закритому випрямлячі;
з одним випрямним пристроєм, який забезпечує роботу електродвигуна в режимах споживання енергії і рекуперації при зміні напрямку обертання (I і IV квадранти). Для забезпечення роботи в II і III квадрантах проводиться зміна напрямку струму в обмотці збудження електродвигуна.
Перша система є найбільш універсальною, але в той же час вона вимагає найбільших габаритів перетворювача. Найбільш ефективно використання цієї системи для потужності двигуна 100-300 кВт. Друга система має найменші масогабаритні показники, але можливість її застосування обмежується конструктивними параметрами контактного перемикаючого пристрою при потужності електродвигуна не більше 100 кВт. Третя система має ряд недоліків, пов'язаних з необхідністю реверсування струму в обмотці збудження, і застосовується в основному для потужних електроприводів (потужністю вище 300 кВт), що мають мале число включень в годину (наприклад великі ливарні крани).
У всіх системах ТП-Д застосовується пристрій для регулювання струму в обмотці збудження електродвигуна.
Системи ТП-Д володіють хорошими регулювальними властивостями. При діапазоні регулювання 8:1 вони не вимагають застосування тахогенераторів для контролю швидкості, однак вони є відносно складними агрегатами з високою вартістю одиниці встановленої потужності і вимагають кваліфікованого обслуговування. Недоліком системи ТП-Д є погіршення ними якості електроенергії в мережі, особливо при малопотужних джерелах живлення. При живленні від джерела потужністю менше 300% потужності електродвигуна виникають перешкоди які можуть перевищити допустимий рівень.