Материал: Управление разногласиями в организации

Внимание! Если размещение файла нарушает Ваши авторские права, то обязательно сообщите нам

Арифметический рост количества подчиненных ведет к геометрическому росту числа взаимосвязей, которые находятся под надзором руководства (с учетом хорошых связей между подчиненными). Для вычисления количества потенциальных взаимосвязей между руководством и подчиненными можно воспользоваться зависимостью:


Где С - число потенциальных взаимосвязей; n - число подчиненных.

Используя данную формулу, подсчитаем число потенциальных взаимосвязей при разном числе подчиненных (от одного до 7):

n

1

2

3

5

6

7

С

2

9

19

50

90

205


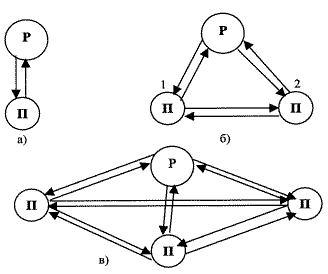
Покажем это при помощи иллюстрации в случае одного, двух либо трех подчиненных. Если у руководства один подчиненный, то мы имеем только 2 линии взаимосвязи: когда руководство обращается к подчиненному или, наоборот, когда подчиненный обращается к руководителю.

При наличии двух подчиненных число потенциальных взаимосвязей становится равным 9 (с учетом того, что руководство может передать что-то второму подчиненному через первого и наоборот), а в случае трех подчиненных это число увеличивается до 19 и др.

Бесспорно, что чем больше квалификация сотрудников, тем меньше число нужных производственных контактов между работниками, и тем значительнее непосредственных подчиненных у руководства. Причем у руководства низшего звена может быть значительнее подчиненных, чем у руководства высшего управляющего звена.

Рисунок 5. Взаимосвязь между руководителем (Р) и подчиненными (П): а - один подчиненный; б - два подчиненных; в - три подчиненных.

В каждой организации имеются основополагающие документы, регламентирующие штатный управленческий процесс: уставы, законодательные и нормативные акты, трудовые соглашения, должностные инструкции и др. При помощи данной документации устанавливается конкретный порядок и поддерживается трудовая и исполнителиская дисциплина. Но вместе с данным в компании постоянно происходят процессы, взаимосвязанные с несанкционированным управлением либо с самоуправлением.

Самоуправление является правом на внутреннее управление своими, местными силами, обеспечивающее автономную работа какой-либо системы. При самоуправлении управляющие факторы не влияют на управляемую систему извне, а появляются в ней самой. В технике самоуправляющиеся системы иногда называют приспосабливающимися, а в военной технике - самонаводящимися, к примеру, самонаводящиеся ракеты. В биологических системах это свойство получило название само регуляции. Оно выражается в способности систем устанавливать и поддерживать на конкретном и относительно постоянном уровне те либо другие физиологические либо биологические показатели.

Самоуправление присуще любой социальной системе, так как оно реализует потребность людей к свободомыслию, самовыражению и самоутверждению. В отличие от регламентного управления, иерархия подчинения в самоуправлении либо отсутствует вообще, либо выражена весьма слабо. Процесс самоуправления служит элементом демократизации общего управления при помощи прямого участия исполнителей в разработке стратегии развития компании, а значит, в нахождении оптимальных решений при достижении поставленной задачи.

Известны три принципа самоуправления.

Принцип сочетания управления и самоуправления образован на обязательном удовлетворении нужд и интересов сотрудников в части снабжения деятельности компании, безопасности и процветания организации. Соответственно с данным принципом в каждой компании управление и самоуправление должны сочетаться на каждом уровне управления: от руководства верхнего звена до исполнителя низшего звена.

Принцип вторичности образован на том, что самоуправление в компании не может быть первичным. Полностью самоуправляемая почти почти невозможна, так как любая компания должна руководствоваться законодательством и принятыми в обществе нормам, по-иному она будет ликвидирована. Даже предприниматель без образования юридического лица имеет право на полное самоуправление только в границах разрешенных сфер работы и налоговых регламентов. Принцип мягкой регламентации. Процесс самоуправления не может быть строго регламентирован законодательством и внутренними положениями компании. Самоуправление образовано на объективизме активных сотрудников. В случае жесткой регламентации со стороны административно-управленческих сотрудников самоуправление вырождается в обыкновенное управление с отчётливым соблюдением субординации и с неизбежной утратой порядка активизирующих нужд и интересов работников фирмы.

1.3 Структурирование управления организационными системами

Доля деловой организации, которая реализует функции управления, состоит из множества взаимодействующих звеньев и является управляющей системой, которая обеспечивает в границах организации исполнение порядка специфичных функций.

Понятие «организация» предусматривает установление последовательности взаимодействия некоторых элементов, которые входят в состав организационных систем.

Сегодня главным принципом построений разнообразных организационных систем - биологическая, технологическая, социальная - является иерархия. Понятие "иерархии" в дословном переводе с греческого языка переводится как «священная власть» был введен в использование полтора тысяч лет назад, в 5 веке нашей эры и использовался для характеристик организаций христианских общин.

По мере общественного развития применение этого понятия и интерпретация его значения конкретно переменились. Нас будет интересовать использование принципов иерархии к социальной системе, в том числе и к деловой организации.

В нынешней теории организаций определение "иерархии" используется, в большинстве случаев, для отображения вертикального подчинения между разными уровнями управления фирм: иерархии полномочий управления, иерархии функций и функциональных обязанностей - согласно подчинениям по деятельности, функциональные подчинения.

С иерархиями полномочий по управлению организацией близко связанно распределение ответственностей и компетенций, взаимосвязанных с работой компании. Отношения подчинений или отсутствия подобного подходяще изображается при помощи графических отображений, которые строятся по таким принципам как: если звено Б системы подчиняется звену А, то это обозначается стрелкой, устремленной вниз, а если звенья Б и В взаимосвязаны между собой конкретной системой слаженности на одном уровне, то эта связь отображается горизонтальной линией.

Рисунок 6. Графическое отображение вертикальных и горизонтальных связей в системе

Бесспорно, что в сложных структурах управления данное деление является чисто условным. В границах деловой организации иерархии предусматривают распределения полномочий властных или функциональных характеров не только вертикально, но и по горизонтально.

Согласованность по горизонтали определено разделениями функциональных обязанностей. Так к примеру, плановые и коммерческие отделы, бухгалтерия и отделы по работе сперсоналом в иерархической схеме распределения полномочий по управлению организацией находятся на одном уровне. По роду исполняемых функций они располагаются во взаимных контактах. В схемах функциональной согласованности это будет отображено присутствием горизонтальной связи между ними.

В первый раз модели отчетливой иерархической структуры управления были разработаны в начале 20 века немецким ученым Максом Вебером в теории бюрократии как наиболее результативной для того времени управляющей системы компании. Главным принципиальным положением теории было отчетливый раздел обязанностей и полномочий, из которых следовали такие требования к системе управления как:

•Применение квалифицированных специалистов на всех уровнях выполнения;

•Следование иерархиям управления, т. е. нижестоящая степень обязана подчиняться вышестоящему уровню;

•Присутствие формальных норм и правил для исполнения персоналом своих целей;

•Разработка квалификационных требований для всех должностных лиц.

Постепенно термин "бюрократии" превратился в нарицательное определение. Бюрократическая система лишилась множества черт своей рациональности и обернулась в группы людей, взаимосвязанных с управлением (чиновников).

Сегодня данное определение определяет вид управленческой деятельности, при котором сотрудники управленческого звена ставят свой индивидуальный или корпоративный интерес больше интересов организации и страны. Данное отношение к делу содействует развитию чиновничьего диктата как в финансовой области, так и в социальной.

Нынешний тип иерархической структуры управления имеет множество видов. Приведем краткое описание главных организационных структур.

Линейные структуры управления являются наиболее приемлемыми только для простой формы компании. Еее характерной чертой является: прямое влияние на все элементы организации и сосредоточение в одних руках всех функций управления. Данная схема хорошо функционирует в незначительных организациях при значительном профессионализме и авторитете руководства.

Рисунок 7. Линейные структуры управления.

В незначительных организациях с отчетливым разделением функциональных обязанностей приобрели также распространения структур в виде колец, звезд и колес.

Рисунок 8.Варианты структур: а - кольцо; б - звезда; в - колесо. Р - руководство; И - исполнитель

Линейно-функциональные структуры управления образованы на так называемых "шахтных" принципах построения и специализации управленческих процессов в зависимости от обязанностей, которые возложенны на замов руководства - функциональных менеджеров. К ним относят: коммерческого директора, заместителя директора по персоналу, по производственным вопросам, руководство информационных отделов, отделов по маркетингу и др.

Рисунок 9. Линейно-функциональные структуры управления

Линейно-штабные структуры управления представляют собой комбинированные структуры, сочетающие свойства линейной и линейно-функциональной структуры. Они предусматривают формирование специальных отделов (штабов) в помощь линейным руководствам для решения тех либо других целей, данные штабы готовят руководителям проекты решений по соответственным вопросам. Штабы не наделяются исполнителиной властью. Руководство само принимает решение и доводит его до всех отделов. Штабные схемы наиболее разумна, если нужно реализовать линейное управление (единоначалие) по основным позициям организации.

Рисунок 10. Линейно-штабные структуры управления

Матричные структуры управления представляют собой решетчатые организации, построенные на принципах двойного подчинения исполнителей: с одной стороны, прямому руководству функциональной службы, которая предоставляет сотрудников и техническую помощь руководителям проектов, с другой - руководителям проектов (целевой программы), которые наделены нужными полномочиями для реализации процессов управления соответственно с намеченным сроком, ресурсом и качеством. Матричные схемы используются при сложном, наукоемком производстве продукции, данных, услуг, знаний.

Рисунок 11. Матричные структуры управления

Программно-целевые структуры управления предусматривают формирование специальных органов управления краткосрочными и долгосрочными программами. Она направленна на снабжение всей полноты линейных полномочий в границах реализуемых программ.

Товарные структуры управления являются одним из вариантов программно-целевой структур. Они предусматривают возлагается на руководства, ответственного за программу выпуска определенного товара, всей ответственности за качество и сроки исполнения работ. Этот руководство наделяется всеми правами распоряжения в части производственной, сбытовой и вспомогательной работы, взаимосвязанной с изготовлением определенного товара либо ассортимента товаров. Проектные структуры управления основываются при разработках компанией проектов, под которыми понимаются любые процессы направленные изменений в системе управления либо в компании в общем, к примеру, модернизация производства, освоение новых технологий, строительство объектов и др. Управление проектом включает установление его задач, создание структуры, составление планов и организацию работ, координацию действий исполнителей. Одной из форм проектного управления является создание специального отделы - проектной команды, работающей на временной основе.

Функционально-объектные структуры управления предусматривают выделение в функциональных отделах наиболее высококвалифицированных работников, которые в дополнение к их функциональным обязанностям назначаются на руководящие должности определенной деятельности или объекта в данном отделе. Внутри отделов данные специалисты являются старшими при исполнении порученной деятельности не только в границах неизменно зафиксированных за ними функции, но и по всем иным проблемам.

Видом иерархического типа организации управления является очень сложные и разветвленные структуры, получившие определение дивизиональных структур управления, основные разработки которых относятся к 20-м годам, а пик реального применения - к 70-80гг. ХХ века.

Нужность новейшего подхода к организации управления была порождена острым ростом величины компаний, диверсификацией их работы и усложнением технологического процесса в условии активно изменяющейся внешней среды. Основными перестройки структур по данной модели начали крупные компании, которые в границах своих гигантских компаний (корпораций) стали формировать производственные отделения, дав им конкретную самостоятельность в реализации оперативной работы. При этом руководство оставило за собой права строгого контроля по общекорпоративным проблемам стратегий развития, научно-исследовательской разработке, инвестиции и др. По данной причине этот вид структуры часто характеризуется как совмещение централизованных координаций с децентрализованными управлениями (децентрализация при сохранении координации и контроля).

Основными фигурами в управлении компаниями с дивизиональной структурой становится не руководство функциональных отделов, а руководство, которое возглавляет производственное отделение. Структуризация компании по отделениям производят, как правило, по одному из таких критериев как:

•По выпускаемых товаров либо предоставляемым услугам;

•По ориентации на покупателя (покупательская специализация);

•По обслуживаемой территории (региональная специализация).

В итоге расширения границ оперативно-хозяйственной самостоятельности отделы могут разбираться как "центр доходов", активно применяющие данную им свободу для увеличения результативности деятельности.

В это же время дивизиональная структура управления приводит к росту иерархичности, т.е. вертикали управления, взаимосвязанной с нужностью создания промежуточного уровня менеджмента для координации деятельности отделений, групп и др., в которых управление строится по линейно-функциональным принципам. Повторение функции управления на разнообразных уровнях приводит к увеличению расходов на содержание аппарата управления.

В условиях рыночной экономики и жгучей конкуренции наиболее интенсивно развивается структура управления органического вида. Основным достоинством данных гибких структур является их способность стремительно подлаживаться к изменяющемся внешним условиям и модификации целевой установки.