Материал: Углеродные наноматериалы, производство, свойства, применение (Мищенко), 2008, c.172

Внимание! Если размещение файла нарушает Ваши авторские права, то обязательно сообщите нам

Интенсивность, отн. ед.

2000

0

1020

нанотрубки –

графит – алмаз

Рис. 5.8. Термограмма:

1 – УНМ китайского производства; 2 – УНМ "Таунит"

30

 

 

 

 

 

 

 

 

 

 

 

 

 

 

 

 

 

 

 

 

 

 

 

 

 

40

2θ, град

50

 

60

 

70

 

 

80

 

 

 

 

 

 

 

 

 

 

 

 

 

 

 

 

 

 

 

 

 

 

 

 

 

 

 

 

 

 

 

 

 

 

 

 

 

Рис. 5.9. Результаты диагностики ("Bayer AG")

Интенсивность, отн. ед.

Рамановская микроскопия

нанотрубки

графит

алмаз

сажа

Рамановский сдвиг, см– 1

Интенсивность, %

 

Рамановская микроскопия

 

 

 

 

 

нанотрубки_1

 

 

нанотрубки_2

 

нанотрубки_3

 

 

 

 

 

 

 

 

 

 

 

 

 

 

 

 

 

 

 

 

 

 

 

 

 

 

 

 

– графит

 

 

 

 

 

 

 

 

 

 

 

 

 

 

 

 

 

 

 

 

 

 

 

 

 

 

 

 

 

– алмаз

 

 

 

 

 

 

 

 

 

 

 

 

 

 

 

 

 

 

 

 

 

 

 

 

 

 

 

 

– соотношение алмаза к графиту усреднен-

 

 

 

 

 

 

 

ное по 3-м измерениям

 

 

 

 

 

 

 

 

 

 

 

 

 

 

 

 

Рис. 5.9. Продолжение

Снижение веса, %

 

 

 

 

 

 

 

 

 

 

 

 

 

 

 

 

 

 

 

 

 

 

 

 

 

 

 

 

 

 

 

 

 

 

 

 

 

 

 

 

 

 

 

 

 

 

 

 

 

 

 

Температура, °С

Рис. 5.9. Окончание

Хочется особо отметить результаты комплексной диагностики, которая была выполнена по заказу наших партнеров из фирмы "Bayer AG" в Лаборатории "Bayer Industry Services" (Германия).

Иллюстрации результатов диагностики представлены на рис. 5.9 и в целом подтвердили ранее полученные данные. Как известно, существует большое количество различных видов нанокластеров, наносистем и наноструктур. Одной из

основных характерных черт таких объектов является наличие у них развитой поверхности. Поверхность конденсированного состояния вещества обладает столь большим разнообразием свойств и применений, что это стимулировало развитие известных и привело к появлению ряда новых специфических методов. Это, прежде всего, методы, основанные на регистрации электронов в различных применениях: дифракции электронов, полевые методы – полевая электронная и ионная спектроскопия (спектроскопия электронного и ионного проектора), различные виды электронной микроскопии, электронная РФС-, УФС- и Оже-спектроскопия, далее следует дифракция рентгеновского излучения с применением синхротронного излучения, методы EXAFS, XANS. Методы оптической, ИК- и спектроскопии комбинационного рассеяния, мессбауэровской спектроскопии весьма эффективны как для изучения состояния поверхности, так и для изучения внутренних слоев нанокластеров. Наконец, остаются, конечно, востребованными хорошо разработанные методы ЯМР и ЭПР радиоспектроскопии.

Основным прямым методом изучения структуры полимеров является рентгеноструктурный анализ (РСА) [4], позволяющий получить информацию о конформации молекул, их взаимном расположении в пространстве, оценивать фазовый состав системы, проводить анализ текстур, определять коэффициенты упаковки, величины плотности и т.д.

С помощью РСА могут быть оценены такие важнейшие параметры структуры, определяющие макросвойства материалов, как конформационные характеристики цепей, поперечные и продольные размеры областей когерентного рассеяния (кристаллитов, упорядоченных мезоморфных и неупорядоченных аморфных областей), степень ориентации макромолекул, степень кристалличности, параметры элементарных ячеек, тип кристаллографической решетки. В рентгенографии поликристаллов, а следовательно, и полимеров существует несколько методик оценки таких характеристик.

Межплоскостные расстояния d определяют по угловому положению максимума соответствующего рефлекса по уравнению Вульфа-Брэгга

2dsinθ = λ,

где θ – угол дифракции; λ = 0,15418 нм – длина волны медного характеристического рентгеновского излучения.

При прохождении первичного пучка через образец рентгеновские лучи частично поляризуются, что приводит к ослаблению интенсивности рассеяния в зависимости от угла дифракции. Для нахождения экспериментальной интенсивности Iэксп в отсутствие поляризации вводится поправка, которая в случае монохроматизации первичного пучка путем отражения от кристалла-монохроматора определяется выражением:

P(θ) = (1 + cos2 2α·cos2 2α) / (1 + cos2 2α),

где 2α – угол отражения от соответствующей плоскости кристалла.

Помимо этого, при взаимодействии рентгеновских лучей с веществом происходит частичное поглощение лучей образцом. Ослабление интенсивности зависит от природы рассеивающего вещества (атомного номера), от длины волны используемого излучения, формы образца и угла дифракции. В случае плоского образца, при съемке на прохождение, поправка на

поглощение может быть вычислена по формуле:

A(θ) = (1 – e– μlz) / (μlz),

где l – толщина образца; μ – линейный коэффициент поглощения; z = = (1 – cos 2θ) / cos2θ.

Размытие электронного облака, находящегося вместе с атомами вещества в тепловом движении, приводит к увеличению разности фаз между волнами, рассеянными различными частями атома, что, в свою очередь, приводит к дополнительному ослаблению дифрагированных лучей.

Методика съемки и определения размеров областей когерентного рассеяния разработана (ОКР) Зубовым [5] и основана на оценке дифракционного уширения линии с последующим расчетом по формуле Селякова-Шеррера: L = λКα1 / ( 0ист cosθ).

Рассчитанные по приведенной методике эффективные размеры кристаллитов практически не зависят от толщины исследуемого образца. Ошибка в определении L составляет 10 %. Оценка показала, что такая точность позволяет уверенно измерять размеры областей когерентного рассеяния до 100 нм.

Степень кристалличности определяют по формуле [6]:

С(%) = Ik / (Ik + KIa),

где Ik – интегральная интенсивность кристаллитных рефлексов; Ia – интегральная интенсивность аморфного гало; K – коэффициент, учитывающий поляризационный и монохроматический факторы.

В основе метода малоуглового рассеяния лежит явление рассеивания рентгеновских фононов на оптических неоднородностях образца (кластерах, порах) с размерами несколько десятков нанометров. Измеряется зависимость спада интенсивности рассеянного излучения от угла рассеяния в угловом диапазоне от нескольких угловых минут до нескольких градусов. На дифрактограмме в малоугловой области также могут проявляться дифракционные максимумы, соответствующие отражениям от атомных плоскостей с межплоскостным расстоянием от 10 до 50 нм. Периодическая структура может быть образована упаковкой полимерных кластеров, молекулярных агрегатов. Анализ кривой спада интенсивности рассеянного излучения дает возможность оценить средний размер кластера (области неоднородности), а также распределение кластеров по размерам и форме.

Известно, что атомная структура является для рентгеновских лучей трехмерной дифракционной решеткой, поэтому особенности трехмерного расположения атомов в пространстве находят свое отражение в наблюдаемых дифракционных картинах. Только производя обработку экспериментальных зависимостей интенсивности рассеяния рентгеновских лучей, можно получить количественную информацию об особенностях расположения атомов в той или иной фазе углерода. При

исследовании неупорядоченных углеродных фаз особую важность приобретают методы компьютерного моделирования атомной структуры. Сопоставление кривых распределения интенсивности рассеяния рентгеновских лучей экспериментальной и рассеянной кластером, – позволяет сделать заключение о том, насколько структура исследуемого материала соответствует расположению рассеивающих центров в модельном кластере.

5.2. ЭМИССИОННЫЕ СВОЙСТВА

Учитывая широкие возможности УНМ в электронной промышленности, были исследованы эмиссионные свойства УНМ "Таунит", на которых остановимся подробнее.

Высокие эмиссионные характеристики УНТ определяются в первую очередь большим значением аспектного отношения, благодаря чему электрическое поле в окрестности нанотрубки в сотни раз превышает среднее по объему значение, оцениваемое как отношение падения напряжения к величине межэлектродного промежутка. По этой причине автоэмиссионный ток с УНТ регистрируется при существенно более низких значениях приложенного напряжения по сравнению с традиционно используемыми автоэмиссионными катодами, изготовленными на основе макроскопических металлических острий [7].

Эмиссионные свойства нанотрубки в значительной степени определяются ее работой выхода. Экспериментальные значения этого важного параметра, определенные разными авторами, значительно различаются между собой. Это связано с различиями в электронной структуре нанотрубок, полученных в неидентичных условиях, что отражается на работе выхода электрона. Кроме того, на поверхности нанотрубки могут присутствовать либо в виде сорбентов, либо в виде присоединенных аддуктов такие радикалы, как СО, ОН, NO и т.п., которые привносят дополнительные состояния в электронный спектр нанотрубок и могут влиять на работу выхода электрона. В свете вышесказанного для исследования эмиссионных свойств УНТ целесообразно привлечение экспериментальных методов, обладающих повышенной чувствительностью к энергетическому состоянию тонких поверхностных слоев материалов, к числу которых относится метод экзоэлектронной эмиссии [8].

Экзоэлектронная эмиссия УНМ "Таунит" измерялась в вакууме ≈ 10–6 Па после возбуждения электронной бомбардировкой в течение 15 с при токе пушки 10 нА и энергии электронов 3 кэВ. Образцы готовились осаждением нанопорошка из спиртовой суспензии на медную подложку и отжигались в вакууме при температуре 400 °С с выдержкой в течение 10 мин. Регистрация термостимулированной эмиссии электронов (ТСЭЭ) осуществлялась детектором ВЭУ-6 при скорости нагрева 0,3 °С/с. В качестве образцов сравнения использовали таблетки прессованного мелкозернистого графита фирмы "Balzers" (отечественный аналог – реакторный графит МПГ-6). Количество примесей в образце сравнения – до 3 %, при этом порядка 2…2,3 % составлял азот. Для обработки экспериментальных кривых ТСЭЭ использовано оригинальное программное обеспече-

ние [9].

Результаты измерений представлены на рис. 5.10. Спектр ТСЭЭ УНМ "Таунит" состоял из ряда перекрывающихся максимумов в температурном диапазоне 20…200 °С, в то время как для образцов прессованного графита за эмиссионную активность ответственны ловушки, делокализация электронов с которых происходит в интервале температур 200…350 °С. Высокую интенсивность, сложный спектр и повышенную термическую стабильность центров захвата в образцах прессованного графита по сравнению с УНМ "Таунит" можно связать с повышенной концентрацией в нем примесных центров захвата. Обращает на себя внимание сравнительно низкая эмиссионная активность прессованного графита при температурах ниже 150 °С, где наиболее вероятно проявление в ТСЭЭ центров захвата адсорбционного происхождения.

Из полученных экспериментальных результатов следует, что максимумы ТСЭЭ в температурном интервале 60…200 °С, вероятно, связаны с поверхностными центрами захвата типа дефект– химически связанный адсорбат, на что косвенно указывают низкие значения актива-

 

100

 

 

 

 

 

3

 

 

 

 

 

100

 

 

 

 

 

3

 

 

 

 

 

сс

 

 

 

 

 

/ с

2

 

 

 

 

 

3 ,имп,10./

 

 

 

 

 

3 ,

 

 

 

 

 

/

 

 

 

 

 

импимп, с./

 

 

 

 

 

 

3

 

 

 

 

Интенсивность×х103

 

 

 

 

 

 

х

 

 

 

 

 

 

 

 

 

 

Интенсивность×10

0

 

 

 

0

 

 

 

 

 

 

50

 

 

 

 

 

 

 

 

 

 

 

 

 

 

 

 

 

 

1

 

 

 

 

 

 

0 0

 

 

 

 

 

0

 

 

 

 

 

 

100

200

 

300

 

00

100

200

3000

 

 

0

100

200

 

300

 

 

Температура

 

 

 

 

 

Температура, °С

 

 

 

0

 

 

 

 

Температура,

0

 

 

 

 

мпература,

 

 

 

 

С

 

 

 

 

,

°С

 

 

 

 

 

а)

 

 

 

 

 

б)

 

 

 

 

 

 

 

 

 

 

 

Рис. 5.10. Спектры ТСЭЭ:

 

 

 

 

 

 

а

прессованного графита фирмы "Balzers"; б

УНМ "Таунит"

ционного барьера (≈ 0,8…1 эВ). Аномально высокие значения энергии активации (≈ 2,8 эВ) для пика с температурой максимума при 40…50 º С свидетельствуют о том, что термоактивационный процесс в указанном температурном интервале не может быть описан уравнениями фор-мальной кинетики и имеет иную природу.

Обнаруженные электронные центры захвата на поверхности УНТ могут вносить заметный вклад в эмиссионные процессы при использовании УНТ в качестве автокатодов – влиять на пороговое значение напряжения, обусловливать флуктуации тока автоэмиссии и различные постэмиссионные эффекты, что имеет большое значение с практической точки зрения.

5.3. СВОЙСТВА ФРАКТАЛЬНЫХ ОБРАЗОВАНИЙ

Интересные результаты получены при исследовании фрактальных образований (клубков), состоящих из УНМ "Таунит"

[10, 11].

Предварительно оценили насыпную плотность материала, которая составила (0,42…0,45) г/см3, и эффективную плотность (пикнометрическим способом в толуоле), которая составила 1,6 г/см3.

Было установлено, что порошок из УНВ при комнатной температуре и атмосферном давлении начинает самоорганизовываться в микроскопические "колючие" округлые гранулы, размер которых порядка 0,1 мм. Процесс гранулирования продолжается, если мелкие гранулы вместе с небольшим количеством порошка поместить в цилиндрическую мензурку и медленно (1 оборот за 2 c) вращать вокруг горизонтальной оси. Через 300 c подобного вращения первоначальные микроскопические гранулы размером 0,1 мм взаимодействуют и "слипаются", достигая миллиметрового размера. Продолжая процесс вращения мензурки с порошком УНВ, через 30…60 мин удается получить одну или две гранулы в виде "бочки" диаметром 9…10 мм и длиной до 12 мм. Поверхность такого цилиндрического образования шероховатая и более рыхлая по сравнению с внутренними центральными слоями. Плотность большого клубка, определенная гидростатическим методом, оказалась равной 1,3 ± 0,05 г/см3. Материал клубка из УНВ допускает механическую обработку режущим инструментом, однако острое гладкое без зазубрин лезвие не разрезает клубок, поскольку отсутствует пластическая деформация нановолокон.

Из материала клубка УНВ были вырезаны образцы прямоугольного сечения размером 2,8 ´ 5 ´ 2,8 мм, на которых проведены измерения микротвердости. При измерении микротвердости алмазная пирамидка под нагрузкой входила в объем материала, но после снятия нагрузки характерный отпечаток от пирамидки отсутствовал, что свидетельствует о хорошей упругости материала фрактального клубка. Эти же образцы использовали для определения упругой деформации при действии на них сжимающей нагрузки. Модуль упругости рассчитывался по выражению

Е = lF , DlS

где l – упругая деформация, равная 0,11×10–3 м при деформирующей силе F = 24,5 Н; l = 2,35×10–3 м – первоначальная дли-

на; S = 14×10–6 м2.

Полученные данные показывают, что упругая деформация фрактального клубка составляет 4,25 %. Модуль упругости оказался равным 37,4 МПа, что характерно для рыхлых фрактальных структур, организованных из органических молекул, взаимодействующих между собой силами Ван-дер-Ваальса. Высокие значения упругой деформации свидетельствуют о возможности использования таких сред для управления акустическими сигналами.

Средняя массовая плотность вещества d в сфере радиуса R фрактального кластера определяется выражением:

 

 

r

3−D

 

 

d = d0

 

0

 

,

 

 

 

 

R

 

где d0 и r0 – плотность и размер единичного углеродного нановолокна; D – фрактальная размерность кластера, характеризует функцию распределения пор по размерам и, кроме того, служит для определения коэффициента поглощения электромагнитных волн в фрактальной твердотельной пористой среде.

 

 

 

r

 

 

Используя экспериментальные значения d = 1,3 г/см3, d0 = 1,6 г/см3 и отношение

» 10–2 , получаем D = 2,95.

 

0

 

 

 

 

 

 

R

 

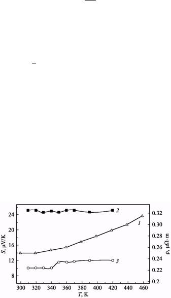
На рис. 5.11 представлена зависимость удельного электрического сопротивления ρ(Т) фрактальной структуры, полученной из углеродных нановолокон (кривая 1). Полученные значения ρ = 250µS × m в пять раз больше сопротивления графита ρ = 52µS × m. Измерения коэффициента Зеебека S проведены методом горячего зонда. На рис. 5.11 представлена зависимость S(T). Кривая 2 получена для поверхностных, а кривая 3 – для внутренних слоев фрактального клубка. Все значения S отрицательны. Представленные данные показывают, что более рыхлая поверхностная фрактальная структура имеет более высокие значения S = 24µV / K по сравнению с S = 11µV / K внутренних слоев фрактального клубка, что свидетельствует о возможности получения более высоких значений S в рыхлых фрактальных структурах.

Рис. 5.11. Температурные зависимости:

1 – удельного электрического сопротивления (ρ); 2 – коэффициента Зеебека (S) на поверхности; 3 – коэффициента Зеебека в объеме фрактального клубка из УНМ

Таким образом, фрактальный клубок из углеродных нановолокон представляет собой сенсорную систему, которая может работать при использовании как термоэлектрических, так и акустических сигналов.