Материал: Удосконалення технології виробництва кальвадосів з яблучної сировини

Внимание! Если размещение файла нарушает Ваши авторские права, то обязательно сообщите нам

 

Витрата рідини у верхній та нижній частинах, кг/год:


2.9.6.3 Розрахунок діаметра ректифікаційної колони

Знаходимо температури для нижньої та верхньої частини колони для рідини і пари з таблиці «Залежність температури від рівноважних складів пари та рідини» (табл.2.13).

Тоді температура для верхньої та нижньої частини колони для рідини становить, :

Температура для верхньої та нижньої частини колони для пари становить, :

Таблиця 2.13 - Залежність температури від рівноважних складів пари та рідини

х, %

y, %

t, °С

x, %

y, %

t, °С

0,00

0,00

100,0

32,73

58,26

81,5

1,90

17,00

95,5

39,65

61,22

80,7

7,21

38,91

89,0

50,79

65,64

79,8

9,66

43,75

86,7

51,98

65,99

79,7

12,38

47,04

85,3

57,32

68,41

79,3

16,61

50,89

84,1

67,63

73,85

78,74

23,37

54,45

82,7

74,72

78,15

78,41

26,08

55,80

82,3

89,43

89,43

78,15


Знайдемо середні густини пари у верхній та нижній частинах колони, кг/м3:

 

де ,  і - середні температури пари, що знаходяться по значенням уср.в та уср.н.

Густини рідини у верхній  і нижній  частинах колони знаходять за формулою, кг/м3:


де ,  - густини легколетючого та важколетючого компонентів при відповідних температурах, кг/м3.

Розрахунок швидкості пари в колоні. Швидкість пари у верхній частині колони , м/с:


де С = 0,059 (при відстані між тарілками 250 мм) - коефіцієнт, що залежить від конструкції тарілок, відстані між ними, робочого тиску в колоні, навантаження колони по рідині.

Швидкість пари в нижній частині колони , м/с:


Розрахунок діаметру колони.         Так як швидкості  и  мало відрізняються одна від одної, в розрахунках використовуємо середню швидкість парів , м/с:

 

Приймаємо середній потік пари в колоні G, кг/с:

Середня густина в колоні , кг/м3:


Орієнтовний діаметр колони  визначаємо з рівняння витрат, м:

 

Приймаємо стандартний апарат з діаметром 400 мм.

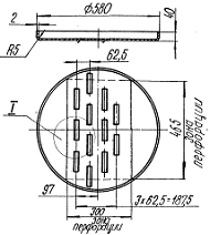
По каталогу [34] для колони діаметром 400 мм обираємо сітчасті тарілки типу ТС (рисунок 2.13):

Виконання I - нерозбірне;

Діаметр тарілки - 290,00 мм (рисунок 2.14);

Висота тарілки - 20 мм;

Вільний перетин колони - 0,13 м2;

Робочий перетин тарілки - 0,054 м2;

Вільний перетин тарілки - 0,25 м2;

Відносний вільний перетин тарілки (при dотворів=5 мм) - 7,11%;

Крок між отворами приймаємо 11 мм;

Периметр зливу - 0,36 м;

Перетин переливу - 0,0044 м2;

Відносна площа переливу - 3,37%;

Маса - 9,8 кг.

Рисунок 2.13 - Сітчаста тарілка типу ТС

Рисунок 2.14 - Основа тарілки

.9.6.4 Розрахунок числа тарілок

В’язкість рідини на тарілці.

 

де  - в’язкість етанолу;

 - в’язкість води.

Звідси в’язкість рідини буде , мПа·с:

Коефіцієнт відносної летючості α:


де = 1120 мм рт.ст. - тиск насиченої пари етанолу;

 = 525 мм рт.ст. - тиск насиченої пари води.

Добуток.

По діаграмі для наближеного визначення ККД тарілки (рис.2.15) знаходимо значення η = 0,51.

Рисунок 2.15 - Діаграма для наближеного визначення ККД тарілки

Тоді число тарілок:

·        в верхній частині колони

·       
в нижній частині колони


.9.6.5 Розрахунок висоти колони

Приймаємо відстань між тарілками Нт = 250 мм, тоді висота верхньої  та нижньої  частини складає, м:

Товщина тарілки - 0,02 м;

Висота сепараційного простору- 0,7 м;

Висота кубового простору - 2,3 м;

Висота опори - 1 м.

Загальна висота колони H, м:


.9.6.6 Тепловий розрахунок колони

Витрата теплоти, що віддається воді в дефлегматорі , кВт:

 

де rр - теплота конденсації флегми, кДж/кг.


де rВ = 2500 кДж/кг -теплота конденсації води;А = 882 кДж/кг - теплота конденсації етанолу.

В якості холодоагента приймаємо воду, з початковою температурою 20°С, і кінцевою 30°С. Тоді середня різниця температур Dt складе (температуру дистиляту tD =79,10°C знаходимо з таблиці), °С:

Dtб =79,1 - 20,0 = 59,1 °С

Dtм = 79,1 - 30,0 = 49,1°С

Dt = (59,1+49,1)/2 = 54,1 °С

Орієнтовне значення коефіцієнта теплопередачі: К = 400 Вт/(м2×К).

Тоді необхідна поверхня теплообміну F, м2:

= QД/(KDtср)= 97,97 ×103/(400×54,1) = 4,53 м2

Приймаємо стандартний кожухотрубний конденсатор з діаметром кожуха 200 мм і довжиною труб 1,5 м, для якого поверхня теплообміну дорівнює 6 м2.

Витрата охолоджуючої води , кг/с:


Витрата теплоти в кубі випарнику , кВт.

де сD - теплоємність дистилляту, кДж/(кг×К);

сw- теплоємність кубового залишку, кДж/(кг×К);

сF- теплоємність вихідної суміші, кДж/(кг×К);

,03 - коефіцієнт, що враховує втрати в навколишнє середовище.

Теплоємність дистиляту , кДж/(кг·К):


де сА - теплоємність етилового спирту, кДж/(кг·°C);

сВ - теплоємність води, кДж/(кг·°C).

Аналогічно розраховуємо теплоємності вихідної суміші  та кубового залишку , кДж/(кг·К):


Тоді витрата теплоти у кубі випарнику буде становити:


Приймаємо пару з тиском 0,3МПа, для якого теплота конденсації = 2171 кДж/кг. Витрата гріючого пару Gп, кг/с:п = Qк/rп = 362,25/2171 = 0,167 кг/c

Середня різниця температур у випарнику Dtср, °C: