Материал: Удосконалення технології виробництва кальвадосів з яблучної сировини

Внимание! Если размещение файла нарушает Ваши авторские права, то обязательно сообщите нам

.9.4 Колони з сітчастими тарілками для розділення суміші «етиловий спирт-вода»

Колони з сітчастими тарілками набагато простіше по влаштуванню і дешевше, ніж, наприклад, колони з ковпачковими тарілками. Колони з сітчастими тарілками (рис.2.10) складаються з вертикального циліндричного корпусу 1 з горизонтальними тарілками 2, в яких рівномірно по всій поверхні просвердлено значне число дрібних отворів. Для зливу рідини і регулювання її рівня на тарілці є переливні трубки 3. Нижні кінці трубок занурені у стакани 4, що знаходяться на тарілках, що лежать нижче, і утворюють гідравлічні затвори.

- корпус; 2 - сітчаста тарілка; 3 - переливна трубка; 4 - стакан

Рисунок 2.10 - Схема будови сітчастої колони

Газ (пара) проходить в отвори тарілки (рис.2.11) і розподіляється в рідині у вигляді дрібних струмків; лише на деякій відстані від днища тарілки утворюється шар піни та бризок - основна область масообміну і теплообміну на тарілці.

Рисунок 2.11 - Схема роботи сітчастої тарілки

В певному діапазоні навантажень сітчасті тарілки володіють досить великою ефективністю. Для того, щоб ККД тарілки не різко зменшувався, тиск і швидкість газу (пари), що проходить через отвори тарілки, повинні бути достатніми для того, щоб подолати тиск шару рідини на тарілці і запобігти тим самим стіканню рідини через отвори.

Крім того, протікання рідини через отвори збільшується із збільшенням діаметру тарілки і при відхиленні від строго горизонтального положення. Тому діаметр і число отворів слід підбирати такими, щоб рідина утримувалася на тарілках і не захоплювалася механічно парою. Зазвичай приймають діаметр отворів сітчастих тарілок 0,8 - 3 мм.

Очищення, промивка та ремонт сітчастих тарілок проводяться відносно зручно і легко.

Але є й мінуси. Сітчасті колони ефективно працюють тільки при певних швидкостях ректифікації, і регулювання режиму їх роботи. При значних навантаженнях втрата напору досить велика. Крім того, як зазначалося раніше, тарілки повинні бути розташовані строго горизонтально, тому що інакше газ (пара) буде проходити через частину отворів, не стикаючись з рідиною. А в разі раптового припинення надходження газу (пара) або значного зниження його тиску тарілки сітчастої колони повністю звільняються від рідини, і для досягнення заданого режиму процесу потрібно знову пустити колону.

Чутливість до коливань навантаження, а також забруднень і опадів, які швидко забивають отвори тарілки, обмежують область використання сітчастих колон. Але для ректифікації спирту та рідкого повітря (кисневі установки), головним чином застосовують саме їх.

Для підвищення ефективностісітчастих тарілок збільшують тривалість контакту між рідиною і газом (паром), наприклад, примусовим круговим рухом рідини на тарілці при однаковому напрямку її руху на всіх тарілках колони [31].

.9.5 Вибір допоміжного обладнання і конструкційного матеріалу

Розміри і конструкції перегонного куба, дефлегматора і кінцевого холодильника залежать від продуктивності установки, фізичних властивостей суміші, що переганяється і режиму процесу (періодичний або неперервний).

Дефлегматор зазвичай являє собою кожухотрубний теплообмінник. У ряді випадків в дефлегматорі відбувається конденсація всіх парів, що вийшли з колони. В кінцевому холодильнику дистилят охолоджується до заданої температури.

Іноді в дефлегматорі конденсується лише частина парів для отримання флегми, а повна конденсація і охолодження відбуваються в холодильнику.

Ректифікаційні установки забезпечують також приладами для регулювання і контролю режиму роботи і нерідко апаратами для утилізації тепла.

Етанол і вода не є корозійно-активними речовинами, робоча температура в колоні не вище 100°С, тому в якості конструкційного матеріалу для основних деталей апарату вибираємо сталь Ст3 ГОСТ380-94, яка використовується для виготовлення деталей хімічної апаратури при роботі з неагресивними середовищами при температурах від 10 до 200 °С [32].

2.9.6 Конструктивний та тепловий розрахунок ректифікаційної колони

1.  Апарат призначений для розділення суміші етиловий спирт - вода концентрацією 5% мас.;

2.       Концентрація етанолу в дистиляті 80% мас.;

.         Концентрація етанолу в кубовому залишку 1 % мас.;

4.  Виробнича потужність по дистиляту:                    0,017 кг/с;

5.       Тиск у колоні:                                                               0,1 МПа;

6.   Температура середовища:

·    вихідної суміші:                                                      86,50 0С;

·        дистиляту:                                                           78,40 0С;

·        кубового залишку:                                                       97,40 0С;

7.   Середовище в апараті:     нетоксичне;

8.       Тип тарілок:                                                                  сітчасті.

 

2.9.6.1 Матеріальний розрахунок колони

Температури кипіння та молекулярні маси компонентів, що розділяються, наведені в табл. 2.11 [33].

Таблиця 2.11 - Параметри компонентів, що розділяються

Речовина

Параметр


tк, °С

М, кг/кмоль

етанол

78,30

46,10

вода

100,00

18,00


Матеріальний баланс ректифікаційної колони неперервної дії описується за допомогою рівнянь:


які можна об’єднати у систему.

В даних рівняннях GF, GD, GW - масові витрати суміші при надходженні, дистиляту та кубовому залишку; хF, xD, xW - вміст низькокиплячого компоненту (етилового спирту) у суміші при надходженні, дистиляті та кубовому залишку.

Отже, витрата по кубовому залишку GW, кг/с:

 

Переведемо масові долі компонентів суміші в мольні.

Мольна концентрація вихідної суміші,


де  - масова концентрація вихідної суміші;

 - молярна маса етанолу;

 - молярна маса води.

Мольна концентрація дистиляту,


де  - масова концентрація дистиляту.

Мольна концентрація кубового залишку,


де  - масова концентрація кубового залишку.

Молекулярна маса вихідної суміші , кг/моль:

 

Молекулярна маса дистиляту MD, кг/моль:


Молекулярна маса кубового залишку MW, кг/моль:


.9.6.2 Розрахунок оптимального флегмового числа та числа теоретичних тарілок

Будуємо діаграму рівноваги між парою та рідиною в системі етиловий спирт-вода (рис.2.12), використовуючи данні по рівновазі (табл.2.12).

Таблиця 2.12 - Рівноважні дані системи етиловий спирт-вода

х, % мол.

0,00

1,90

9,66

16,61

26,08

39,65

50,79

57,32

67,63

74,72

89,43

у, % мол.

0,00

43,75

50,69

55,80

61,22

65,64

68,41

73,85

78,15

89,43

T, ºС

100,0

95,50

86,70

84,10

82,30

80,70

79,80

79,3

78,64

78,41

78,15


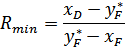
Знаходимо значення

Тоді мінімальне флегмове число :


Робоче число флегми R:

 

Побудуємо за отриманим значенням R робочі лінії та ступені зміни концентрацій (кількість тарілок на ній). Для цього згідно до методики відкладемо на осі у значення В:


Отримане значення з’єднаємо із точкою А, яка відповідає концентрації хD. Із точки перетину даної лінії із значенням концентрації вихідної суміші (С) опустимо лінію до точки (D), яка відповідає значенню концентрації кубового залишку. По отриманим робочим лініями визначимо число теоретично необхідних тарілок.

Рисунок 2.12 - Х-Y-діаграма. Залежність між рівноважними та робочими складами фаз для суміші етиловий спирт-вода

Виконавши на діаграмі (рис.2.12) побудову ламаної лінії, знаходимо необхідне число ступенів зміни концентрації: в верхній частині воно складає ~ 3, в нижній ~ 3; всього - 6.

Розрахунок витрат пари у верхній та нижній частині колони.

Знайдемо рівняння робочих ліній:

а) для верхньої частини колони:


б) для нижньої частини колони:


де f - відносна мольна витрата живлення.


Середні молярні маси пари у верхній та нижній частинах, кг/кмоль:


Витрата пари у верхній та нижній частинах, кг/год:


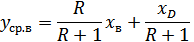
Середні мольні концентрації рідини у верхній та нижній частинах:


Середні молярні маси водно-спиртових розчинів у верхній та нижній частинах, кг/кмоль: