Материал: tsukanova_oa_modeli_i_metody_upravleniia_informatsionnymi_re

Внимание! Если размещение файла нарушает Ваши авторские права, то обязательно сообщите нам

41

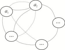
Рисунок 3. Представление информационной структуры сетевого сообщества в виде графа в пространстве состояний по предтекстурному уровню

Таким образом, информационная структура сетевого сообщества (сетевое сообщество, как единый информационный ресурс) представлена совокупностью непустых тематических кластеров и множеством связей между ними.

Представление сетевого сообщества в виде графа является стандартным методом, надежно апробированным в исследованиях российских и зарубежных авторов. Однако схема, представленная в данной работе, особым образом интерпретирует смысловое наполнение элементов графа.

В разработанной статической модели, вершины графа рассматриваются как тематические кластеры информационных ресурсов, а ребра – как связи,

обеспечивающие возможность совместного использования различных тематических подборок.

Понятие кластера, его формирование, процедуры кластеризации довольно часто применяются в теоретических и прикладных исследованиях [24, 51, 54].

Общепризнанным основоположником современной концепции кластеров считается Майкл Портер [98] .

Идея кластеризации является чрезвычайно продуктивной и далеко не исчерпанной. Наиболее часто вопросы формирования кластеров и управления их развитием поднимаются в экономических исследованиях. Но специфические

42

черты кластера информационных ресурсов сетевого сообщества в научной литературе к настоящему времени четко не определены.

В данной работе кластеры используется для консолидации информационных ресурсов с целью систематизации информационных ресурсов одной тематики

(при этом члены сетевого сообщества могут входить в различные кластеры) и

являются своего рода накопителями однородной информации.

Связи между кластерами обеспечивают достижение различных целей,

например:

-возможности использования массива информационных ресурсов,

формирующего единую базу;

- совместного привлечения нескольких тематических кластеров для участия в

заданном проекте.

2.2.2. Модель акторной структуры сетевого сообщества

Обычно, при описании сетевого сообщества, узлы графа интерпретируются как акторы сетевого сообщества, а ребра графа – как коммуникации между

членами сетевого сообщества, установленные с целью обмена ресурсами акторов.

С точки зрения акторного ресурса сети, сетевое сообщество в отдельный момент времени представлено сетью аккаунтов, постоянно порождающих информационные элементы. Представляя эту сеть в виде графовой модели для дальнейшего использования в рамках модели текстурированного пространства

состояний необходимо уточнить стандартные элементы графа.

Пусть акторная структура сетевого сообщества в определённый момент

времени представлена конечным числом аккаунтов . В данном случае узлы

(вершины) графа целесообразно представить множеством аккаунтов акторов сети

(

). Тогда дуги графа будут представлять

собой совокупности

связей различных типов между аккаунтами (

).

43

Таким образом, в рамках теории графов (на основании базовых определений теории графов и дискретной математики [6]), сетевое сообщество как множество аккаунтов будет представляться мультиграфом, или упорядоченной тройкой

,

где

– непустая совокупность аккаунтов акторов сетевого

сообщества;

– множество связей между аккаунтами;

функция инцидентности, т.е. отображение .

Замечание [6]: с точки зрения теории графов, если для различных дуг

все значения равны, то возникает «множественная» или

«кратная» дуга – множество дуг, отображаемых в одну и ту же пару вершин. Если функция инцидентности есть инъекция, мультиграф превращается в обычный ориентированный граф.

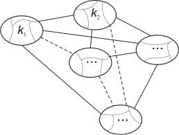
На рис. 4 овалами представлены аккаунты акторов сети, а линиями – связи между различными аккаунтами. Различные типы линий здесь отображают различные виды связей между аккаунтами.

Рисунок 4. Представление арендной структуры сетевого сообщества в виде графа в пространстве состояний по предтекстурному уровню

44

Под аккаунтом в данном случае понимаются учётные записи акторов сетевого сообщества, которые можно представить как индивидуальными, так и коллективными пользователями (или же интеллектуальными акторами или роботами).

Отношения между аккаунтами также могут быть разных типов, например:

-родственные отношения между акторами;

-информационные отношения, отношения «родства» по интересам (т.е. с

точки зрения нахождения в одном информационном кластере (п. 2.2.1)).

Таким образом, акторная структура сетевого сообщества представлена

совокупностью аккаунтов и множеством связей между ними.

2.2.3. Интегрированная информационно-акторная графовая модель сетевого

сообщества

Информационная структура сетевого сообщества тесно взаимосвязана с акторной структурой. Множество аккаунтов постоянно порождает информационные элементы, которые привлекают новые аккаунты в сеть.

Следовательно, имеет смысл говорить об объединённой информационно-

ресурсной модели, полученной методом наложения структур, представленных на рис. 3 и 4.

Сточки зрения акторных элементов, принимающих участие в формировании

ифункционировании различных информационных кластеров, множество аккаунтов схематически представлено на рис. 5.

Если рассматривать модель сообщества (как единого информационного ресурса) с учётом того, что в каждый кластер может входить несколько акторов,

т.е. некоторое подмножество

множества аккаунтов

, то обобщённая

информационно-ресурсная модель примет вид, представленный на рис.6.

45

Рисунок 5. Сеть аккаунтов, включенных в сетевое сообщество

Рисунок 6. Обобщенная информационно-акторная модель сетевого сообщества

На рисунке 6 используются следующие символы:

множество аккаунтов акторов сетевого сообщества;

некоторые подмножества множества акторов, входящие в

различные тематические информационные кластеры.

За каждым элементом стоит фактор времени. Кроме того, должны

выполняться следующие свойства, характеризующие функционирование

сообщества:

.