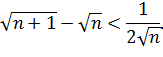
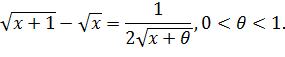
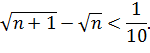
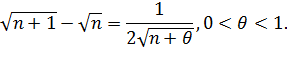
Получаем, что:
Покажем, что корни квадратные из двух последовательных
натуральных чисел, превышающих 25, отличаются между собой менее чем на
.
Возьмём натуральное число
и запишем для него полученное
равенство:
Из того что
, получим:
Рассмотрим неравенство:
Получаем, что если
, то выполняется неравенство:
Задача 5. Показать, что разность между синусами синусами двух углов не превышает по абсолютной величине разности между этими углами, взятыми в радиальной мере.
Рассмотрим функцию
Проверим выполнение условий теоремы Лагранжа на
отрезке
1)
непрерывна на отрезке
2)
дифференцируема на отрезке
Выполняются условия теоремы Лагранжа, следовательно,
существует такая точка
Найдём производную функции:
Подставим
Получаем, что:
Так как
может принимать значения только от
-1 до 1, то получаем, что:
![]()
Задача
6.Найти условный экстремум функции
при
условии
Решение:
Составим функцию Лагранжа
Имеем
Система
имеет два решения
![]()

Далее
![]()
![]()
![]()
При
![]()
поэтому
функция
в точке
имеет
условный минимум, а при![]()
следовательно,
функция
имеет в точке
условный
максимум.
Задача
7.Найти условные экстремумы функции
при
наличии ограничения
Решение:
Построим функцию Лагранжа
Стационарные
точки определим из системы
Умножим
первое уравнение на
, а второе - на
. После
вычитания получим
Если
, то из первых двух уравнений системы
. Но такие значения переменных
и
не
удовлетворяют уравнению связи. Значит
и так
как
то из (27) имеем
.
Подставляя это в уравнение связи, получаем:
откуда
. Таким образом, из (1.27)
.
Итак,
единственная стационарная точка функции Лагранжа
Далее,
Тогда
для
при
![]()
Получаем
Из
уравнения связи при
находим соотношение для дифференциалов
и
,
.
Подставляя
в (1.28), получаем равенство
Поэтому,
при
в точке
функция
имеет условный максимум, а при
-
условный минимум. Экстремальное значение равно
.
Заключение
Настоящая работа даёт учащимся новый подход к многим преобразованиям в математике, которые стандартным путём трудно разрешимы или разрешимы, но громоздкими способами. Рассмотренные подходы нестандартного характера для учащихся покажутся новыми и необыкновенными, что расширит их кругозор и повысит интерес к производной.
Итак, геометрический смысл производной: производная функции в точке x0 равна угловому коэффициенту касательной к графику функции, проведенной в точке с абсциссой x0.
В результате написания курсовой работы мною были изучены теоремы о среднем значении дифференцируемых функции. Для достижения поставленной цели я решила следующие задачи: 1. Дала понятие производных и экстремумов и исследовала общие сведения о нем. 2. Рассмотрела теоремы Ферма, Ролля, Коши, Лагранжа. 3. Изучила методы решений задач с доказательствами на данную тему.
Подводя итоги курсовой работы, можно сделать следующие выводы.
Теорема Ролля
Пусть функция f: [a, b] → R непрерывна на сегменте [a, b], и имеет конечную или бесконечную производную внутри этого сегмента. Пусть, кроме того, f(a) = f(b). Тогда внутри сегмента [a, b] найдется точка ξ такая, что f'(ξ) = 0.
Теорема Лагранжа
Если функция f: [a, b] → R непрерывна на
сегменте [a, b] и имеет конечную или бесконечную производную во внутренних
точках этого сегмента, то ![]()
такое, что f(b) - f(a) = f'(ξ)(b - a).
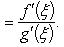
Теорема Коши
Если каждая из функций f и g непрерывна на [a, b] и
имеет конечную или бесконечную производную на ]a, b[ и если, кроме того,
производная g'(x) ≠ 0 на ]a, b[, то ![]()
такое, что справедлива формула
![]()
Если дополнительно потребовать, чтобы g(a) ≠
g(b), то условие g'(x) ≠ 0 можно заменить менее жестким:
![]()
![]()
Список использованной литературы
1 Берман Г.Н. Сборник задач по курсу математического анализа; учебное пособие - М., 1969. - 440с.
Давыдов Н.А., Коровкин П.П., Никольский В.Н. Сборник задач по математическому анализу: учебное пособие - М., 1973. - 256 с.
Зайцев И.А. Высшая математика. ДРОФА, 2005. - 400 с.
Краснов М. Вся высшая математика т. 1 изд. 2. Едиториал УРСС, 2003. - 328 с.
Краснов М.Л., Макаренко Г.И., Киселев А.И., Шикин Е.В. Вся высшая математика Интегральное исчисление. Дифференциальное исчисление функций нескольких переменных. Дифференциальная геометрия Том 2.: Учебник - 3-е изд. ЛКИ, 2007.
Мироненко Е.С. Высшая математика. М: Высшая школа, 2002. - 109 с.
Юнусов А.А. Курс лекции по высшей математике: учебное пособие - Шымкент, 2003. - 129 с.
Юнусов А.А. Конспект лекции по математическому анализу: учебное пособие - Шымкент, 2012. - 113 с.