Материал: Теорема о среднем значении дифференцируемых функции и их приложения

Внимание! Если размещение файла нарушает Ваши авторские права, то обязательно сообщите нам

Следовательно, равенство (24) можно записать в виде

, (26)

где 0<Ө<1.

Формулу (26) называют формулой конечных риращений Лагранжа. Она дает точно выражение для приращения функции в отличие от приближенного равенства


которое иногда называют формулой бесконечно малых приращений.

Пример1. Доказать что

а ) ln (1+x) <х приx>0 (27)

б ) (28)

∆ а) Применяя теорему Лагранжа к функции f (x)=ln (1+x) на отрезке [0, x] где x>0, получаем ln(1+x)=  откуда следует неравенство (27), так как 0<ξ<х.

б) По теореме Лагранжа для функции arctgx на отрезке с концами х1 и х2 находим

arctgx2-arctgx1=

откуда получаемтак как

Полагая в соотношении (28) х2=х, х1=0, получаем

(29)

и, в частности,

(30)

1.6 Некоторые следствия из теоремы Лагранжа

Следствие 1. Если функция f(x) дифференцируема на интервале (a, b) и

f/ (x)=0 для всех x Є (a, b), то

f(x)=C=const, x Є (a, b).

Пусть x0-фиксированная точка интервала (a, b), x- любая точка этого интервала. Применяя теорему Лагранжа к функции f(x) на отрезке с концами х0 и х, получаем


где  откуда

Следствие 2. Если функция f(x) непрерывна на отрезке [a, b], дифференцируема на интервале (a, b) и для всех x Є (a, b) выполняется равенство f/(x)=r, где r-постоянная, то

F(x)=rx+B, x Є [a, b],

т.е f-линейная функция.

Применяя теорему Лагранжа к функции f на отрезке [a, x], где a≤x≤b, получаем f(x)-f(a)=r(x-a), откуда следует, что f(x)=rx+B, где B=f(a)-r.a.

Следствие 3. Пусть функция f(x) дифференцируема на интервале (a, b), за исключением, быть может, точки х0 Є (a, b), и непрерывна в точке х0. Тогда если существует конечный или бесконечный

(31)

то в точке х0 существует левая производная, причем

(32)

Аналогично, если существует

(33)

то

(34)

Пусть приращение ∆х таково, что ∆х≠0 и точке х0+∆х принадлежит интервалу (a, b). Запишем равенство (34). В виде

(35)

Если существует передел (31), т.е.  то правая часть (35) имеет передел, равный А, а поэтому существует предел в левой части (35) и справедливо равенство (32)

Предположим, что функция f(x) дифференцируема в точке х0, тогда

(36)

Если пределы (31) и (33) существуют и конечны, то из соотношений (32), (34) и(36) следует, что


Это означает, что если функция f(x) дифференцируема на интервале (a, b), то ее производная f/(x) не может иметь точек разрыва первого рода. Иначе говоря, каждая точка х0 Є (a, b) является либо точкой непрерывности функции f/(x), либо точкой разрыва второго рода.

Пример 2. Найти и если f(x)=arcsin.

Функция f определена на R, так как 1+х2≥2(х).


Откуда


Применяя следствие 12.3, получаем


Аналогично находим


Пример3. Найти точки разрыва функции f/(x), если


Если х≠0, то если х=0, то по определению производной  Следовательно, функция f/(x) определена на R и непрерывна при х≠0. В точке х=0 эта функция имеет разрыв второго рода, так как не существует предела функции

при

Следствие 4. Если функции φ и ψ дифференцируемы при и удовлетворяют условиям  при х>x0 то φ(x)>ψ(x) при x>x0.

Примения теорему Лагранжа к функции f(x)= φ(x)-ψ(x) на отрезке [x0, x], где x>x0, получаем f(x)=f/(ξ) (х-х0), так как f (х0)=0. Отсюда, учитывая, что

ξ>x0, f/(ξ)=φ/(ξ)-ψ/(ξ)>0,

получаем f(x)>0, т.е. φ(x)>ψ(x) приx>x0.

Пример 4. Доказать, что

при  (37)

Пусть тогда  и при x>0 справедливо неравенство  так как при это неравенство равносильно очевидному неравенству 1>1-x2. Применяя следствие (4) к функциям φ(х) и ψ(х), получаем неравенство (37).

.7 Обобщенная формула конечных приращения (формула Коши)

Теорема 6. Если функции f (x) и g(x)непрерывны на отрезке [a, b], дифференцируемы на интервале (a, b), причем g/(х)≠0 во всех точках этого интервала, то найдется хотя бы одна точка ξ Є (a, b) такая, что

(38)

Рассмотрим функцию


где число λ выберем таким, чтобы выполнялось равенство φ(а)=φ(b), которое равносильно следующему

f (b)-f (a)+λ(g(b)-g(a))=0. (39)

Заметим, что g(b)≠g(a), так как в противном случае, согласно теореме Роля, существовала бы точка c Є (a, b) такая, что g/(c)=0 вопреки условиям теоремы 4. Итак, g(b)-g(a)≠0, и за равенства (39) следует, что

(40)

Так как функция φ при любом λ непрерывна на отрезке [a, b] и дифференцируема на интервале (a, b), а при значении λ, определяемом формулой (40), принимает равные значения в точках а и b, по теореме Роля существует точка ξ Є (a, b) такая, что φ/ (ξ)=0, т.е. f/ (ξ)+λg/ (ξ)=0, откуда Из этого равенства и формулы (40) следует утверждение (39).

Замечание 8. Теорема Лагранжа- частный случай теоремы Коши (g(x)=x).

Замечание 9. Теорема 4 нельзя получить применением теоремы12.3 к числителю и знаменателю дроби, стоящей в левой части равенства (38). Действительно, это дробь по теореме 3 можно записать в виде  где ξ1 Є (a, b), ξ2 Є (a, b), но вообще говоря ξ1 ≠ξ2.

2. Задачи на применение теорем о среднем значении дифференцируемых функций

Задачи на применение теоремы Ролля.

Задача 1. Доказать теорему: если уравнение

 (1)

имеет положительный корень , то уравнение

 (2)

также имеет положительный корень и притом меньший .

Рассмотрим функцию


Проверим для этой функции условия теоремы Ролля на отрезке

1)       как многочлен;

2)       .

 так как  - корень

Условия теоремы Ролля выполняются, отсюда следует

.

Найдём

.

Используя условие (3) получили, что

,

что значит что  - корень уравнения (2). Так как , то следовательно .

Получаем что уравнение (1) имеет положительный корень , который больше чем корень уравнения (2).

Задача 2. Показать, что уравнение не может иметь двух различных корней в интервале (0,1).

Доказательство будем проводить методом от противного.

Рассмотрим функцию


Пусть имеет два различных корня  в интервале (0,1). Проверим выполнение условий теоремы Ролля на отрезке [:

1)       как многочлен;

2)       - корни , то

Условия Теоремы Ролля выполняются, а это значит, что существует такая точка

.

Рассмотрим равенство , оно равносильно .


Точки  не принадлежат отрезку [, следовательно и интервалу !!!

Не выполняется заключение теоремы Ролля, а это означает, что функция не может иметь двух различных корней в интервале .

Задачи на применение теоремы Лагранжа

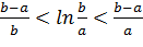
Задача 3. Доказать неравенство

, (

Рассмотрим функцию  и применим для неё теорему Лагранжа на отрезке

1)      f непрерывна на отрезке

2)      f дифференцируема на отрезке

условия теоремы Лагранжа выполняются, отсюда следует, что существует такая точка , что:

.

Рассмотрим

:

по свойствам логарифма

.

Производная

, подставим :

.

Получаем что

, где .

Так как по условию теоремы Лагранжа , отсюда следует неравенство


Учитывая (1) получаем, что

(2).

Аналогично при  получаем, что

 (3)

Из неравенств (2) и (3) следует, что

.

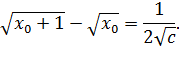
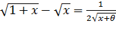
Задача 4. Показать, что

, где

Пользуясь этим, убедиться в том, что корни квадратные из двух последовательных натуральных чисел, превышающих 25, отличаются между собой менее чем на .

Рассмотрим функцию


Проверим выполнение условий теоремы Лагранжа на отрезке

1)       непрерывна на отрезке ;

2)       дифференцируема на отрезке

Выполняются условия теоремы Лагранжа, следовательно, существует такая точка , что:

.

Найдём производную: . Подставим с, получим:


Получаем, что:


Из того, что число  больше числа на единицу и , следует, что , где для числа выполняется условие